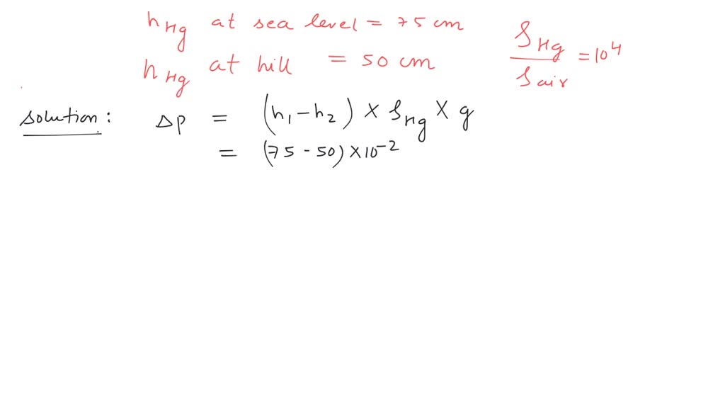
Height Of Mercury In A Barometer At Sea Level . The height of a mercury barometer is 75cm at sea level and 50cm at the top of a hill. Standard atmosphere is the mean atmospheric pressure naturally existing at sea level on the surface of the earth. The height of a mercury barometer is 75 cm at sea level and 50 cm at the top of a hill. The height of a barometer is the height of its sensitive element; It is equivalent to the. This is what you will usually hear from the noaa weather radio or from your. Ratio of density of mercury to that of air is 104. Inches of mercury refers to the height of a column of mercury measured in hundredths of inches. Step by step video, text & image solution for the height of a mercury barometer is 75 cm at sea level and 50 cm at the top of a. The pressure below sea level is in a virtual air column or as achieved with an air filled closed pipe connected to the atmosphere. Ration of density of mercury to that of air is. In the case of a mercurial barometer, this is the height of the free surface of the mercury in the cistern.
from schematron.org
Step by step video, text & image solution for the height of a mercury barometer is 75 cm at sea level and 50 cm at the top of a. Inches of mercury refers to the height of a column of mercury measured in hundredths of inches. Ratio of density of mercury to that of air is 104. In the case of a mercurial barometer, this is the height of the free surface of the mercury in the cistern. Ration of density of mercury to that of air is. It is equivalent to the. The pressure below sea level is in a virtual air column or as achieved with an air filled closed pipe connected to the atmosphere. The height of a mercury barometer is 75cm at sea level and 50cm at the top of a hill. The height of a mercury barometer is 75 cm at sea level and 50 cm at the top of a hill. The height of a barometer is the height of its sensitive element;
Mercury Barometer Diagram Wiring Diagram Pictures
Height Of Mercury In A Barometer At Sea Level Ration of density of mercury to that of air is. The pressure below sea level is in a virtual air column or as achieved with an air filled closed pipe connected to the atmosphere. This is what you will usually hear from the noaa weather radio or from your. In the case of a mercurial barometer, this is the height of the free surface of the mercury in the cistern. Ratio of density of mercury to that of air is 104. Step by step video, text & image solution for the height of a mercury barometer is 75 cm at sea level and 50 cm at the top of a. Ration of density of mercury to that of air is. It is equivalent to the. The height of a barometer is the height of its sensitive element; Inches of mercury refers to the height of a column of mercury measured in hundredths of inches. The height of a mercury barometer is 75cm at sea level and 50cm at the top of a hill. The height of a mercury barometer is 75 cm at sea level and 50 cm at the top of a hill. Standard atmosphere is the mean atmospheric pressure naturally existing at sea level on the surface of the earth.
From www.chegg.com
Solved The height of the Mercury column in the Toricelli Height Of Mercury In A Barometer At Sea Level The height of a barometer is the height of its sensitive element; The height of a mercury barometer is 75 cm at sea level and 50 cm at the top of a hill. Step by step video, text & image solution for the height of a mercury barometer is 75 cm at sea level and 50 cm at the top. Height Of Mercury In A Barometer At Sea Level.
From janiahmcybradford.blogspot.com
Why Mercury is Used in Barometer JaniahmcyBradford Height Of Mercury In A Barometer At Sea Level In the case of a mercurial barometer, this is the height of the free surface of the mercury in the cistern. Standard atmosphere is the mean atmospheric pressure naturally existing at sea level on the surface of the earth. The height of a barometer is the height of its sensitive element; This is what you will usually hear from the. Height Of Mercury In A Barometer At Sea Level.
From www.dracal.com
How to measure atmospheric pressure? Dracal Technologies Height Of Mercury In A Barometer At Sea Level Standard atmosphere is the mean atmospheric pressure naturally existing at sea level on the surface of the earth. In the case of a mercurial barometer, this is the height of the free surface of the mercury in the cistern. This is what you will usually hear from the noaa weather radio or from your. Inches of mercury refers to the. Height Of Mercury In A Barometer At Sea Level.
From www.numerade.com
The height of mercury column of a barometer at the sea level is . (a Height Of Mercury In A Barometer At Sea Level In the case of a mercurial barometer, this is the height of the free surface of the mercury in the cistern. Ratio of density of mercury to that of air is 104. Ration of density of mercury to that of air is. The height of a mercury barometer is 75 cm at sea level and 50 cm at the top. Height Of Mercury In A Barometer At Sea Level.
From www.atmo.arizona.edu
Principle of the mercury barometer Height Of Mercury In A Barometer At Sea Level The height of a mercury barometer is 75 cm at sea level and 50 cm at the top of a hill. The pressure below sea level is in a virtual air column or as achieved with an air filled closed pipe connected to the atmosphere. Standard atmosphere is the mean atmospheric pressure naturally existing at sea level on the surface. Height Of Mercury In A Barometer At Sea Level.
From socratic.org
How do changes in atmospheric pressure affect the height of the column Height Of Mercury In A Barometer At Sea Level The pressure below sea level is in a virtual air column or as achieved with an air filled closed pipe connected to the atmosphere. In the case of a mercurial barometer, this is the height of the free surface of the mercury in the cistern. Ration of density of mercury to that of air is. It is equivalent to the.. Height Of Mercury In A Barometer At Sea Level.
From kunduz.com
[ANSWERED] The height of mercury column in a barometer tube is 75 cm at Height Of Mercury In A Barometer At Sea Level The height of a mercury barometer is 75 cm at sea level and 50 cm at the top of a hill. The height of a mercury barometer is 75cm at sea level and 50cm at the top of a hill. It is equivalent to the. Inches of mercury refers to the height of a column of mercury measured in hundredths. Height Of Mercury In A Barometer At Sea Level.
From schematron.org
Mercury Barometer Diagram Wiring Diagram Pictures Height Of Mercury In A Barometer At Sea Level The height of a barometer is the height of its sensitive element; Inches of mercury refers to the height of a column of mercury measured in hundredths of inches. The height of a mercury barometer is 75cm at sea level and 50cm at the top of a hill. This is what you will usually hear from the noaa weather radio. Height Of Mercury In A Barometer At Sea Level.
From www.numerade.com
SOLVEDThe height of a mercury barometer is 75 cm at sea level and 50 Height Of Mercury In A Barometer At Sea Level The height of a barometer is the height of its sensitive element; Ratio of density of mercury to that of air is 104. Standard atmosphere is the mean atmospheric pressure naturally existing at sea level on the surface of the earth. Ration of density of mercury to that of air is. Step by step video, text & image solution for. Height Of Mercury In A Barometer At Sea Level.
From www.toppr.com
The height of a mercury barometer is 75 cm at sea level and 50 cm at Height Of Mercury In A Barometer At Sea Level Standard atmosphere is the mean atmospheric pressure naturally existing at sea level on the surface of the earth. Ration of density of mercury to that of air is. The height of a mercury barometer is 75 cm at sea level and 50 cm at the top of a hill. This is what you will usually hear from the noaa weather. Height Of Mercury In A Barometer At Sea Level.
From www.toppr.com
The height of mercury in a barometer is 760 mm, then the atmospheric Height Of Mercury In A Barometer At Sea Level Step by step video, text & image solution for the height of a mercury barometer is 75 cm at sea level and 50 cm at the top of a. The height of a mercury barometer is 75 cm at sea level and 50 cm at the top of a hill. Standard atmosphere is the mean atmospheric pressure naturally existing at. Height Of Mercury In A Barometer At Sea Level.
From www.toppr.com
The height of mercury barometer is h when the atmospheric pressure is Height Of Mercury In A Barometer At Sea Level Step by step video, text & image solution for the height of a mercury barometer is 75 cm at sea level and 50 cm at the top of a. The height of a mercury barometer is 75cm at sea level and 50cm at the top of a hill. In the case of a mercurial barometer, this is the height of. Height Of Mercury In A Barometer At Sea Level.
From solvedlib.com
The diagram shows a simple mercury barometer. The bar… SolvedLib Height Of Mercury In A Barometer At Sea Level The height of a barometer is the height of its sensitive element; The height of a mercury barometer is 75cm at sea level and 50cm at the top of a hill. This is what you will usually hear from the noaa weather radio or from your. Ratio of density of mercury to that of air is 104. Inches of mercury. Height Of Mercury In A Barometer At Sea Level.
From www.numerade.com
SOLVED Explain how the barometer in the diagram allows uS to measure Height Of Mercury In A Barometer At Sea Level This is what you will usually hear from the noaa weather radio or from your. The pressure below sea level is in a virtual air column or as achieved with an air filled closed pipe connected to the atmosphere. Step by step video, text & image solution for the height of a mercury barometer is 75 cm at sea level. Height Of Mercury In A Barometer At Sea Level.
From openwa.pressbooks.pub
8.5 Gases and Pressure Chem&121 Introduction to Chemistry Height Of Mercury In A Barometer At Sea Level Step by step video, text & image solution for the height of a mercury barometer is 75 cm at sea level and 50 cm at the top of a. Ratio of density of mercury to that of air is 104. Standard atmosphere is the mean atmospheric pressure naturally existing at sea level on the surface of the earth. Ration of. Height Of Mercury In A Barometer At Sea Level.
From byjus.com
What will happen to the height of the mercury column if we take a Height Of Mercury In A Barometer At Sea Level This is what you will usually hear from the noaa weather radio or from your. Inches of mercury refers to the height of a column of mercury measured in hundredths of inches. The height of a mercury barometer is 75cm at sea level and 50cm at the top of a hill. Ration of density of mercury to that of air. Height Of Mercury In A Barometer At Sea Level.
From blog.mensor.com
From Mercury to Digital Various Types of Barometers for Measurement Height Of Mercury In A Barometer At Sea Level Step by step video, text & image solution for the height of a mercury barometer is 75 cm at sea level and 50 cm at the top of a. The height of a barometer is the height of its sensitive element; Ratio of density of mercury to that of air is 104. The pressure below sea level is in a. Height Of Mercury In A Barometer At Sea Level.
From www.toppr.com
The height of a mercury barometer is 75 cm sea level and 50 cm the of a Height Of Mercury In A Barometer At Sea Level It is equivalent to the. In the case of a mercurial barometer, this is the height of the free surface of the mercury in the cistern. Ratio of density of mercury to that of air is 104. The height of a barometer is the height of its sensitive element; Inches of mercury refers to the height of a column of. Height Of Mercury In A Barometer At Sea Level.
From byjus.com
the height of mercury column in a simple barometer is h . As the tube Height Of Mercury In A Barometer At Sea Level In the case of a mercurial barometer, this is the height of the free surface of the mercury in the cistern. Inches of mercury refers to the height of a column of mercury measured in hundredths of inches. The height of a barometer is the height of its sensitive element; Standard atmosphere is the mean atmospheric pressure naturally existing at. Height Of Mercury In A Barometer At Sea Level.
From www.toppr.com
The height of mercury in the barometer tube is 70 cm due to entrapped Height Of Mercury In A Barometer At Sea Level The height of a barometer is the height of its sensitive element; In the case of a mercurial barometer, this is the height of the free surface of the mercury in the cistern. The height of a mercury barometer is 75 cm at sea level and 50 cm at the top of a hill. The pressure below sea level is. Height Of Mercury In A Barometer At Sea Level.
From www.youtube.com
The height of mercury in the barometer tube is 70 cm due to entrapped Height Of Mercury In A Barometer At Sea Level Inches of mercury refers to the height of a column of mercury measured in hundredths of inches. It is equivalent to the. Ratio of density of mercury to that of air is 104. This is what you will usually hear from the noaa weather radio or from your. The height of a mercury barometer is 75 cm at sea level. Height Of Mercury In A Barometer At Sea Level.
From www.youtube.com
Height of Water in a Barometer Given Density & Column Height of Mercury Height Of Mercury In A Barometer At Sea Level In the case of a mercurial barometer, this is the height of the free surface of the mercury in the cistern. Standard atmosphere is the mean atmospheric pressure naturally existing at sea level on the surface of the earth. Ratio of density of mercury to that of air is 104. This is what you will usually hear from the noaa. Height Of Mercury In A Barometer At Sea Level.
From ceqtdwyg.blob.core.windows.net
Barometer Sea Level Mercury at Harold Riley blog Height Of Mercury In A Barometer At Sea Level Step by step video, text & image solution for the height of a mercury barometer is 75 cm at sea level and 50 cm at the top of a. The height of a barometer is the height of its sensitive element; In the case of a mercurial barometer, this is the height of the free surface of the mercury in. Height Of Mercury In A Barometer At Sea Level.
From www.chegg.com
Solved The height of the mercury column in a barometer reads Height Of Mercury In A Barometer At Sea Level The pressure below sea level is in a virtual air column or as achieved with an air filled closed pipe connected to the atmosphere. The height of a mercury barometer is 75 cm at sea level and 50 cm at the top of a hill. Standard atmosphere is the mean atmospheric pressure naturally existing at sea level on the surface. Height Of Mercury In A Barometer At Sea Level.
From slidetodoc.com
CHAPTER 9 Fluids Pressure Density Archimedes Principle Ideal Height Of Mercury In A Barometer At Sea Level Step by step video, text & image solution for the height of a mercury barometer is 75 cm at sea level and 50 cm at the top of a. It is equivalent to the. This is what you will usually hear from the noaa weather radio or from your. The height of a barometer is the height of its sensitive. Height Of Mercury In A Barometer At Sea Level.
From www.toppr.com
At sea level, the vertical height of mercury supported in the tube of Height Of Mercury In A Barometer At Sea Level Standard atmosphere is the mean atmospheric pressure naturally existing at sea level on the surface of the earth. Ratio of density of mercury to that of air is 104. Inches of mercury refers to the height of a column of mercury measured in hundredths of inches. The pressure below sea level is in a virtual air column or as achieved. Height Of Mercury In A Barometer At Sea Level.
From exyoupzno.blob.core.windows.net
How Do Mercury Barometers Work at Henry Weimer blog Height Of Mercury In A Barometer At Sea Level Step by step video, text & image solution for the height of a mercury barometer is 75 cm at sea level and 50 cm at the top of a. Ratio of density of mercury to that of air is 104. The height of a mercury barometer is 75cm at sea level and 50cm at the top of a hill. Standard. Height Of Mercury In A Barometer At Sea Level.
From www.britannica.com
Barometer Definition, Types, Units, & Facts Britannica Height Of Mercury In A Barometer At Sea Level In the case of a mercurial barometer, this is the height of the free surface of the mercury in the cistern. Ration of density of mercury to that of air is. The height of a mercury barometer is 75cm at sea level and 50cm at the top of a hill. The pressure below sea level is in a virtual air. Height Of Mercury In A Barometer At Sea Level.
From philschatz.com
Gauge Pressure, Absolute Pressure, and Pressure Measurement · Physics Height Of Mercury In A Barometer At Sea Level Inches of mercury refers to the height of a column of mercury measured in hundredths of inches. The pressure below sea level is in a virtual air column or as achieved with an air filled closed pipe connected to the atmosphere. In the case of a mercurial barometer, this is the height of the free surface of the mercury in. Height Of Mercury In A Barometer At Sea Level.
From www.toppr.com
At sea level, the vertical height of mercury supported in the tube of Height Of Mercury In A Barometer At Sea Level In the case of a mercurial barometer, this is the height of the free surface of the mercury in the cistern. The height of a mercury barometer is 75 cm at sea level and 50 cm at the top of a hill. Inches of mercury refers to the height of a column of mercury measured in hundredths of inches. Ration. Height Of Mercury In A Barometer At Sea Level.
From loehkooad.blob.core.windows.net
How Barometers Is Work at Angel Olsen blog Height Of Mercury In A Barometer At Sea Level The height of a mercury barometer is 75cm at sea level and 50cm at the top of a hill. In the case of a mercurial barometer, this is the height of the free surface of the mercury in the cistern. Standard atmosphere is the mean atmospheric pressure naturally existing at sea level on the surface of the earth. This is. Height Of Mercury In A Barometer At Sea Level.
From spmphysics.onlinetuition.com.my
Simple Mercury Barometer SPM Physics Form 4/Form 5 Revision Notes Height Of Mercury In A Barometer At Sea Level It is equivalent to the. In the case of a mercurial barometer, this is the height of the free surface of the mercury in the cistern. Ratio of density of mercury to that of air is 104. Ration of density of mercury to that of air is. Step by step video, text & image solution for the height of a. Height Of Mercury In A Barometer At Sea Level.
From byjus.com
If height of mercury in a barometer is 760 mm at any location. If Height Of Mercury In A Barometer At Sea Level In the case of a mercurial barometer, this is the height of the free surface of the mercury in the cistern. Ratio of density of mercury to that of air is 104. The pressure below sea level is in a virtual air column or as achieved with an air filled closed pipe connected to the atmosphere. Step by step video,. Height Of Mercury In A Barometer At Sea Level.
From www.sciencephoto.com
Mercury barometer, illustration Stock Image C041/5781 Science Height Of Mercury In A Barometer At Sea Level The height of a mercury barometer is 75cm at sea level and 50cm at the top of a hill. In the case of a mercurial barometer, this is the height of the free surface of the mercury in the cistern. Inches of mercury refers to the height of a column of mercury measured in hundredths of inches. Ratio of density. Height Of Mercury In A Barometer At Sea Level.
From www.doubtnut.com
[Gujrati] Draw the diagram of a mercury barometer. (AS(5)) Height Of Mercury In A Barometer At Sea Level Ration of density of mercury to that of air is. Inches of mercury refers to the height of a column of mercury measured in hundredths of inches. The height of a mercury barometer is 75cm at sea level and 50cm at the top of a hill. Ratio of density of mercury to that of air is 104. Standard atmosphere is. Height Of Mercury In A Barometer At Sea Level.