Which Gas Is More Ideal At Stp . Suppose we know the van der waals coefficients $a$ and $b$ for a set of gases in the real gas equation, then which is the correct method to predict which gas shows most ideal behavior at. Then the gas with the lowest values for the van der waals coefficients $a$ and $b$ would be the closest to ideal. The electrical charge is spread across two atoms. State the value of standard pressure for gas law experiments. The ideal gas composed of more than one atom is hydrogen gas. Avogadro law states that equal volumes of all gases under the same conditions of temperature and pressure contain equal number of molecules. With the ideal gas law, we can use the relationship between the amounts of gases (in moles) and their volumes (in liters) to calculate the stoichiometry of reactions involving gases, if the pressure. Like a helium atom, a hydrogen molecule also has two electrons, and its intermolecular forces are small. We can use the ideal gas equation to find the pressure: At stp, the temperature is 273.15 k, and the pressure is 1 atm. The ideal gas law describes the behavior of an ideal gas, a hypothetical substance whose behavior can be explained quantitatively by the ideal gas law. State the value of standard temperature for gas law experiments. P = (n × r × t) / v.
from www.slideserve.com
Avogadro law states that equal volumes of all gases under the same conditions of temperature and pressure contain equal number of molecules. State the value of standard pressure for gas law experiments. The ideal gas composed of more than one atom is hydrogen gas. Suppose we know the van der waals coefficients $a$ and $b$ for a set of gases in the real gas equation, then which is the correct method to predict which gas shows most ideal behavior at. With the ideal gas law, we can use the relationship between the amounts of gases (in moles) and their volumes (in liters) to calculate the stoichiometry of reactions involving gases, if the pressure. P = (n × r × t) / v. State the value of standard temperature for gas law experiments. The electrical charge is spread across two atoms. Then the gas with the lowest values for the van der waals coefficients $a$ and $b$ would be the closest to ideal. Like a helium atom, a hydrogen molecule also has two electrons, and its intermolecular forces are small.
PPT The Ideal Gas Law 01 PowerPoint Presentation, free download ID
Which Gas Is More Ideal At Stp Avogadro law states that equal volumes of all gases under the same conditions of temperature and pressure contain equal number of molecules. Like a helium atom, a hydrogen molecule also has two electrons, and its intermolecular forces are small. State the value of standard temperature for gas law experiments. State the value of standard pressure for gas law experiments. Then the gas with the lowest values for the van der waals coefficients $a$ and $b$ would be the closest to ideal. Avogadro law states that equal volumes of all gases under the same conditions of temperature and pressure contain equal number of molecules. With the ideal gas law, we can use the relationship between the amounts of gases (in moles) and their volumes (in liters) to calculate the stoichiometry of reactions involving gases, if the pressure. The electrical charge is spread across two atoms. At stp, the temperature is 273.15 k, and the pressure is 1 atm. The ideal gas composed of more than one atom is hydrogen gas. We can use the ideal gas equation to find the pressure: The ideal gas law describes the behavior of an ideal gas, a hypothetical substance whose behavior can be explained quantitatively by the ideal gas law. P = (n × r × t) / v. Suppose we know the van der waals coefficients $a$ and $b$ for a set of gases in the real gas equation, then which is the correct method to predict which gas shows most ideal behavior at.
From www.slideserve.com
PPT Ideal Gas Law PowerPoint Presentation, free download ID7067134 Which Gas Is More Ideal At Stp Suppose we know the van der waals coefficients $a$ and $b$ for a set of gases in the real gas equation, then which is the correct method to predict which gas shows most ideal behavior at. The ideal gas composed of more than one atom is hydrogen gas. Then the gas with the lowest values for the van der waals. Which Gas Is More Ideal At Stp.
From slideplayer.com
Chapter 9 Gases Their Properties and Behavior ppt download Which Gas Is More Ideal At Stp Like a helium atom, a hydrogen molecule also has two electrons, and its intermolecular forces are small. With the ideal gas law, we can use the relationship between the amounts of gases (in moles) and their volumes (in liters) to calculate the stoichiometry of reactions involving gases, if the pressure. Suppose we know the van der waals coefficients $a$ and. Which Gas Is More Ideal At Stp.
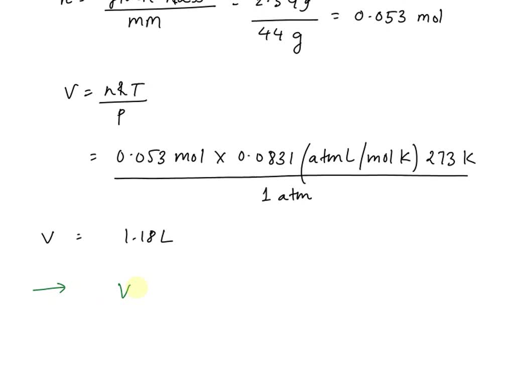
From www.numerade.com
SOLVED 'A_ Ideal Gas Laws 1 Determine the volume of occupied by 2.34 Which Gas Is More Ideal At Stp Avogadro law states that equal volumes of all gases under the same conditions of temperature and pressure contain equal number of molecules. P = (n × r × t) / v. At stp, the temperature is 273.15 k, and the pressure is 1 atm. The ideal gas composed of more than one atom is hydrogen gas. Suppose we know the. Which Gas Is More Ideal At Stp.
From www.youtube.com
Ideal Gas Equation Molar Volume at Standard Pressure and Temperature Which Gas Is More Ideal At Stp The electrical charge is spread across two atoms. Like a helium atom, a hydrogen molecule also has two electrons, and its intermolecular forces are small. Then the gas with the lowest values for the van der waals coefficients $a$ and $b$ would be the closest to ideal. We can use the ideal gas equation to find the pressure: State the. Which Gas Is More Ideal At Stp.
From www.youtube.com
Ideal Gas Stoichiometry at STP Practice 1 YouTube Which Gas Is More Ideal At Stp The ideal gas law describes the behavior of an ideal gas, a hypothetical substance whose behavior can be explained quantitatively by the ideal gas law. Avogadro law states that equal volumes of all gases under the same conditions of temperature and pressure contain equal number of molecules. P = (n × r × t) / v. With the ideal gas. Which Gas Is More Ideal At Stp.
From slideplayer.com
What volume will 1 mole of a gas occupy at STP? STP = 273K, 1.013x10 5 Which Gas Is More Ideal At Stp The ideal gas composed of more than one atom is hydrogen gas. Avogadro law states that equal volumes of all gases under the same conditions of temperature and pressure contain equal number of molecules. The electrical charge is spread across two atoms. State the value of standard temperature for gas law experiments. P = (n × r × t) /. Which Gas Is More Ideal At Stp.
From www.youtube.com
Volume of 1 mole of any gas at STP using the ideal gas equation YouTube Which Gas Is More Ideal At Stp Then the gas with the lowest values for the van der waals coefficients $a$ and $b$ would be the closest to ideal. With the ideal gas law, we can use the relationship between the amounts of gases (in moles) and their volumes (in liters) to calculate the stoichiometry of reactions involving gases, if the pressure. The electrical charge is spread. Which Gas Is More Ideal At Stp.
From www.numerade.com
SOLVED Assuming it behaves as an ideal gas, calculate the density of Which Gas Is More Ideal At Stp Suppose we know the van der waals coefficients $a$ and $b$ for a set of gases in the real gas equation, then which is the correct method to predict which gas shows most ideal behavior at. The ideal gas law describes the behavior of an ideal gas, a hypothetical substance whose behavior can be explained quantitatively by the ideal gas. Which Gas Is More Ideal At Stp.
From www.toppr.com
4.48L of an ideal gas at STP requires 12.0 calories to raise its Which Gas Is More Ideal At Stp P = (n × r × t) / v. The electrical charge is spread across two atoms. At stp, the temperature is 273.15 k, and the pressure is 1 atm. Suppose we know the van der waals coefficients $a$ and $b$ for a set of gases in the real gas equation, then which is the correct method to predict which. Which Gas Is More Ideal At Stp.
From www.youtube.com
How to Use the Ideal Gas Law at STP YouTube Which Gas Is More Ideal At Stp With the ideal gas law, we can use the relationship between the amounts of gases (in moles) and their volumes (in liters) to calculate the stoichiometry of reactions involving gases, if the pressure. Then the gas with the lowest values for the van der waals coefficients $a$ and $b$ would be the closest to ideal. Avogadro law states that equal. Which Gas Is More Ideal At Stp.
From es.slideshare.net
5. Gases Which Gas Is More Ideal At Stp Suppose we know the van der waals coefficients $a$ and $b$ for a set of gases in the real gas equation, then which is the correct method to predict which gas shows most ideal behavior at. Avogadro law states that equal volumes of all gases under the same conditions of temperature and pressure contain equal number of molecules. State the. Which Gas Is More Ideal At Stp.
From www.youtube.com
Molar Mass of a Gas at STP Equations & Formulas, Chemistry Practice Which Gas Is More Ideal At Stp Avogadro law states that equal volumes of all gases under the same conditions of temperature and pressure contain equal number of molecules. Like a helium atom, a hydrogen molecule also has two electrons, and its intermolecular forces are small. State the value of standard pressure for gas law experiments. We can use the ideal gas equation to find the pressure:. Which Gas Is More Ideal At Stp.
From www.numerade.com
SOLVED Consider the following gases, all at STP Ne, SF6, N2 CH4. (a Which Gas Is More Ideal At Stp Avogadro law states that equal volumes of all gases under the same conditions of temperature and pressure contain equal number of molecules. The ideal gas law describes the behavior of an ideal gas, a hypothetical substance whose behavior can be explained quantitatively by the ideal gas law. The electrical charge is spread across two atoms. The ideal gas composed of. Which Gas Is More Ideal At Stp.
From www.youtube.com
10.3 Partial Pressures, Density, and the Volume of Ideal Gases at STP Which Gas Is More Ideal At Stp P = (n × r × t) / v. Like a helium atom, a hydrogen molecule also has two electrons, and its intermolecular forces are small. The ideal gas law describes the behavior of an ideal gas, a hypothetical substance whose behavior can be explained quantitatively by the ideal gas law. State the value of standard pressure for gas law. Which Gas Is More Ideal At Stp.
From www.youtube.com
Calculate the volume of 1 mole of an ideal gas at STP. YouTube Which Gas Is More Ideal At Stp The electrical charge is spread across two atoms. Like a helium atom, a hydrogen molecule also has two electrons, and its intermolecular forces are small. With the ideal gas law, we can use the relationship between the amounts of gases (in moles) and their volumes (in liters) to calculate the stoichiometry of reactions involving gases, if the pressure. At stp,. Which Gas Is More Ideal At Stp.
From solvedlib.com
[Ch 6] An ideal gas at STP is placed in a rigid, stai… SolvedLib Which Gas Is More Ideal At Stp State the value of standard pressure for gas law experiments. At stp, the temperature is 273.15 k, and the pressure is 1 atm. Then the gas with the lowest values for the van der waals coefficients $a$ and $b$ would be the closest to ideal. The electrical charge is spread across two atoms. Avogadro law states that equal volumes of. Which Gas Is More Ideal At Stp.
From slideplayer.com
Use of the Ideal Gas Equation ppt download Which Gas Is More Ideal At Stp Suppose we know the van der waals coefficients $a$ and $b$ for a set of gases in the real gas equation, then which is the correct method to predict which gas shows most ideal behavior at. The electrical charge is spread across two atoms. State the value of standard temperature for gas law experiments. With the ideal gas law, we. Which Gas Is More Ideal At Stp.
From www.numerade.com
SOLVED calculate the number of moles in 11.2ml Nitrogen gase at stp Which Gas Is More Ideal At Stp The ideal gas law describes the behavior of an ideal gas, a hypothetical substance whose behavior can be explained quantitatively by the ideal gas law. We can use the ideal gas equation to find the pressure: The electrical charge is spread across two atoms. State the value of standard temperature for gas law experiments. The ideal gas composed of more. Which Gas Is More Ideal At Stp.
From es.slideshare.net
The gas laws complete Which Gas Is More Ideal At Stp The ideal gas composed of more than one atom is hydrogen gas. At stp, the temperature is 273.15 k, and the pressure is 1 atm. Avogadro law states that equal volumes of all gases under the same conditions of temperature and pressure contain equal number of molecules. State the value of standard temperature for gas law experiments. Suppose we know. Which Gas Is More Ideal At Stp.
From www.youtube.com
Chapter 5.2 How to Calculate Volume of Ideal Gas at STP (Principle of Which Gas Is More Ideal At Stp Avogadro law states that equal volumes of all gases under the same conditions of temperature and pressure contain equal number of molecules. State the value of standard pressure for gas law experiments. With the ideal gas law, we can use the relationship between the amounts of gases (in moles) and their volumes (in liters) to calculate the stoichiometry of reactions. Which Gas Is More Ideal At Stp.
From www.numerade.com
⏩SOLVED4.48 L of an ideal gas at STP requires 12 cal to raise the Which Gas Is More Ideal At Stp Like a helium atom, a hydrogen molecule also has two electrons, and its intermolecular forces are small. With the ideal gas law, we can use the relationship between the amounts of gases (in moles) and their volumes (in liters) to calculate the stoichiometry of reactions involving gases, if the pressure. At stp, the temperature is 273.15 k, and the pressure. Which Gas Is More Ideal At Stp.
From www.toppr.com
One mole of an ideal gas at STP is heated in an insulated closed Which Gas Is More Ideal At Stp State the value of standard pressure for gas law experiments. The ideal gas composed of more than one atom is hydrogen gas. P = (n × r × t) / v. At stp, the temperature is 273.15 k, and the pressure is 1 atm. Suppose we know the van der waals coefficients $a$ and $b$ for a set of gases. Which Gas Is More Ideal At Stp.
From www.numerade.com
SOLVEDWhat is the volume occupied by 1 mol of an ideal gas at STP? Which Gas Is More Ideal At Stp The ideal gas composed of more than one atom is hydrogen gas. Like a helium atom, a hydrogen molecule also has two electrons, and its intermolecular forces are small. With the ideal gas law, we can use the relationship between the amounts of gases (in moles) and their volumes (in liters) to calculate the stoichiometry of reactions involving gases, if. Which Gas Is More Ideal At Stp.
From www.chegg.com
Solved For an ideal gas at STP (T_0=273.15 K, P_0=101.3 Which Gas Is More Ideal At Stp Suppose we know the van der waals coefficients $a$ and $b$ for a set of gases in the real gas equation, then which is the correct method to predict which gas shows most ideal behavior at. State the value of standard temperature for gas law experiments. Avogadro law states that equal volumes of all gases under the same conditions of. Which Gas Is More Ideal At Stp.
From www.numerade.com
SOLVED What is meant by standard temperature and pressure (STP)? What Which Gas Is More Ideal At Stp The ideal gas law describes the behavior of an ideal gas, a hypothetical substance whose behavior can be explained quantitatively by the ideal gas law. P = (n × r × t) / v. State the value of standard pressure for gas law experiments. The electrical charge is spread across two atoms. The ideal gas composed of more than one. Which Gas Is More Ideal At Stp.
From www.slideserve.com
PPT The Ideal Gas Law 01 PowerPoint Presentation, free download ID Which Gas Is More Ideal At Stp State the value of standard pressure for gas law experiments. The ideal gas composed of more than one atom is hydrogen gas. P = (n × r × t) / v. State the value of standard temperature for gas law experiments. We can use the ideal gas equation to find the pressure: Suppose we know the van der waals coefficients. Which Gas Is More Ideal At Stp.
From www.slideserve.com
PPT Diffusion, STP, and Ideal Gas Law PowerPoint Presentation, free Which Gas Is More Ideal At Stp Like a helium atom, a hydrogen molecule also has two electrons, and its intermolecular forces are small. The ideal gas composed of more than one atom is hydrogen gas. We can use the ideal gas equation to find the pressure: State the value of standard pressure for gas law experiments. The ideal gas law describes the behavior of an ideal. Which Gas Is More Ideal At Stp.
From www.slideserve.com
PPT Diffusion, STP, and Ideal Gas Law PowerPoint Presentation, free Which Gas Is More Ideal At Stp At stp, the temperature is 273.15 k, and the pressure is 1 atm. State the value of standard pressure for gas law experiments. Avogadro law states that equal volumes of all gases under the same conditions of temperature and pressure contain equal number of molecules. With the ideal gas law, we can use the relationship between the amounts of gases. Which Gas Is More Ideal At Stp.
From www.youtube.com
Applications of The Ideal Gas Laws (Molar Volume, STP & More) YouTube Which Gas Is More Ideal At Stp The ideal gas law describes the behavior of an ideal gas, a hypothetical substance whose behavior can be explained quantitatively by the ideal gas law. Avogadro law states that equal volumes of all gases under the same conditions of temperature and pressure contain equal number of molecules. State the value of standard temperature for gas law experiments. State the value. Which Gas Is More Ideal At Stp.
From www.pearson.com
If a certain amount of ideal gas occupies a volume V at STP on ea Which Gas Is More Ideal At Stp State the value of standard pressure for gas law experiments. The ideal gas composed of more than one atom is hydrogen gas. State the value of standard temperature for gas law experiments. At stp, the temperature is 273.15 k, and the pressure is 1 atm. We can use the ideal gas equation to find the pressure: Like a helium atom,. Which Gas Is More Ideal At Stp.
From www.slideserve.com
PPT Ideal Gas Law PowerPoint Presentation, free download ID6591194 Which Gas Is More Ideal At Stp Suppose we know the van der waals coefficients $a$ and $b$ for a set of gases in the real gas equation, then which is the correct method to predict which gas shows most ideal behavior at. P = (n × r × t) / v. The electrical charge is spread across two atoms. Avogadro law states that equal volumes of. Which Gas Is More Ideal At Stp.
From www.slideserve.com
PPT Gases PowerPoint Presentation, free download ID5772171 Which Gas Is More Ideal At Stp State the value of standard pressure for gas law experiments. Like a helium atom, a hydrogen molecule also has two electrons, and its intermolecular forces are small. At stp, the temperature is 273.15 k, and the pressure is 1 atm. The ideal gas law describes the behavior of an ideal gas, a hypothetical substance whose behavior can be explained quantitatively. Which Gas Is More Ideal At Stp.
From www.slideserve.com
PPT Ideal Gas Law PowerPoint Presentation, free download ID6595169 Which Gas Is More Ideal At Stp With the ideal gas law, we can use the relationship between the amounts of gases (in moles) and their volumes (in liters) to calculate the stoichiometry of reactions involving gases, if the pressure. The ideal gas composed of more than one atom is hydrogen gas. At stp, the temperature is 273.15 k, and the pressure is 1 atm. State the. Which Gas Is More Ideal At Stp.
From ecurrencythailand.com
Which Element Is A Gas At Stp? Quick Answer Which Gas Is More Ideal At Stp With the ideal gas law, we can use the relationship between the amounts of gases (in moles) and their volumes (in liters) to calculate the stoichiometry of reactions involving gases, if the pressure. The ideal gas law describes the behavior of an ideal gas, a hypothetical substance whose behavior can be explained quantitatively by the ideal gas law. P =. Which Gas Is More Ideal At Stp.
From slideplayer.com
Chapter 14 The Behavior of Gases. ppt download Which Gas Is More Ideal At Stp At stp, the temperature is 273.15 k, and the pressure is 1 atm. The electrical charge is spread across two atoms. The ideal gas composed of more than one atom is hydrogen gas. Suppose we know the van der waals coefficients $a$ and $b$ for a set of gases in the real gas equation, then which is the correct method. Which Gas Is More Ideal At Stp.