Alcohol Beverage License South Carolina . This page will help you find the abl licenses and permits you need to lawfully manufacture and produce, import, distribute, sell, and serve. If your business will be selling or providing alcohol, you will need to secure an alcohol beverage license. Learn about the alcohol beverage licensing (abl) structure in south carolina and how to apply. Find information and resources for specific. The south carolina alcoholic beverage control commission (abc) regulates the sale, service, and promotion of alcoholic beverages in the state. The normal process time for alcohol beverage licensing (abl) applications takes about six to eight weeks. You must be a resident for. The liquor license process can take anywhere from 40 days to six months — learn about the types of liquor licenses in south carolina and. Use any of the resources below to look up abl licensed locations, active licenses, south carolina abl law and policy, and more.
from mer.org.za
This page will help you find the abl licenses and permits you need to lawfully manufacture and produce, import, distribute, sell, and serve. Learn about the alcohol beverage licensing (abl) structure in south carolina and how to apply. If your business will be selling or providing alcohol, you will need to secure an alcohol beverage license. Use any of the resources below to look up abl licensed locations, active licenses, south carolina abl law and policy, and more. The liquor license process can take anywhere from 40 days to six months — learn about the types of liquor licenses in south carolina and. The south carolina alcoholic beverage control commission (abc) regulates the sale, service, and promotion of alcoholic beverages in the state. You must be a resident for. Find information and resources for specific. The normal process time for alcohol beverage licensing (abl) applications takes about six to eight weeks.
Liquor Licence Mpumalanga Economic Regulator
Alcohol Beverage License South Carolina The normal process time for alcohol beverage licensing (abl) applications takes about six to eight weeks. The south carolina alcoholic beverage control commission (abc) regulates the sale, service, and promotion of alcoholic beverages in the state. Learn about the alcohol beverage licensing (abl) structure in south carolina and how to apply. This page will help you find the abl licenses and permits you need to lawfully manufacture and produce, import, distribute, sell, and serve. The normal process time for alcohol beverage licensing (abl) applications takes about six to eight weeks. You must be a resident for. The liquor license process can take anywhere from 40 days to six months — learn about the types of liquor licenses in south carolina and. Find information and resources for specific. If your business will be selling or providing alcohol, you will need to secure an alcohol beverage license. Use any of the resources below to look up abl licensed locations, active licenses, south carolina abl law and policy, and more.
From scattorneysatlaw.com
South Carolina alcohol laws South Carolina Attorneys at Law Alcohol Beverage License South Carolina Find information and resources for specific. Use any of the resources below to look up abl licensed locations, active licenses, south carolina abl law and policy, and more. The normal process time for alcohol beverage licensing (abl) applications takes about six to eight weeks. The liquor license process can take anywhere from 40 days to six months — learn about. Alcohol Beverage License South Carolina.
From www.formsbank.com
Liquor License Application Form printable pdf download Alcohol Beverage License South Carolina If your business will be selling or providing alcohol, you will need to secure an alcohol beverage license. Find information and resources for specific. This page will help you find the abl licenses and permits you need to lawfully manufacture and produce, import, distribute, sell, and serve. The south carolina alcoholic beverage control commission (abc) regulates the sale, service, and. Alcohol Beverage License South Carolina.
From washington.licenselookup.org
Washington Pharmacy License License Lookup Alcohol Beverage License South Carolina Use any of the resources below to look up abl licensed locations, active licenses, south carolina abl law and policy, and more. The south carolina alcoholic beverage control commission (abc) regulates the sale, service, and promotion of alcoholic beverages in the state. Find information and resources for specific. The liquor license process can take anywhere from 40 days to six. Alcohol Beverage License South Carolina.
From talkitoutclevelandcounty.com
Retailers Substance Abuse Prevention Coalition Alcohol Beverage License South Carolina The liquor license process can take anywhere from 40 days to six months — learn about the types of liquor licenses in south carolina and. The south carolina alcoholic beverage control commission (abc) regulates the sale, service, and promotion of alcoholic beverages in the state. You must be a resident for. The normal process time for alcohol beverage licensing (abl). Alcohol Beverage License South Carolina.
From sainsider.co.za
How To Apply For Liquor License South Africa Insider Alcohol Beverage License South Carolina This page will help you find the abl licenses and permits you need to lawfully manufacture and produce, import, distribute, sell, and serve. If your business will be selling or providing alcohol, you will need to secure an alcohol beverage license. The normal process time for alcohol beverage licensing (abl) applications takes about six to eight weeks. Use any of. Alcohol Beverage License South Carolina.
From www.pinterest.com
Map Shows Every State's Most Popular Liquor work info Popular beers Alcohol Beverage License South Carolina The south carolina alcoholic beverage control commission (abc) regulates the sale, service, and promotion of alcoholic beverages in the state. Find information and resources for specific. The liquor license process can take anywhere from 40 days to six months — learn about the types of liquor licenses in south carolina and. You must be a resident for. The normal process. Alcohol Beverage License South Carolina.
From www.efoodhandlers.com
eFoodHandlers® Alcohol Server Training for your Alcohol Server Training Alcohol Beverage License South Carolina If your business will be selling or providing alcohol, you will need to secure an alcohol beverage license. The liquor license process can take anywhere from 40 days to six months — learn about the types of liquor licenses in south carolina and. Learn about the alcohol beverage licensing (abl) structure in south carolina and how to apply. Use any. Alcohol Beverage License South Carolina.
From mer.org.za
Liquor Licence Mpumalanga Economic Regulator Alcohol Beverage License South Carolina This page will help you find the abl licenses and permits you need to lawfully manufacture and produce, import, distribute, sell, and serve. The normal process time for alcohol beverage licensing (abl) applications takes about six to eight weeks. The liquor license process can take anywhere from 40 days to six months — learn about the types of liquor licenses. Alcohol Beverage License South Carolina.
From www.signnow.com
Abc in Nc Complete with ease airSlate SignNow Alcohol Beverage License South Carolina The normal process time for alcohol beverage licensing (abl) applications takes about six to eight weeks. If your business will be selling or providing alcohol, you will need to secure an alcohol beverage license. Find information and resources for specific. The liquor license process can take anywhere from 40 days to six months — learn about the types of liquor. Alcohol Beverage License South Carolina.
From www.formsbank.com
Fillable Application For Liquor License Type Or Print With Black Ink Alcohol Beverage License South Carolina This page will help you find the abl licenses and permits you need to lawfully manufacture and produce, import, distribute, sell, and serve. The south carolina alcoholic beverage control commission (abc) regulates the sale, service, and promotion of alcoholic beverages in the state. Find information and resources for specific. The normal process time for alcohol beverage licensing (abl) applications takes. Alcohol Beverage License South Carolina.
From www.k-bid.com
Liquor License Antiques & More KBID Alcohol Beverage License South Carolina The normal process time for alcohol beverage licensing (abl) applications takes about six to eight weeks. You must be a resident for. Learn about the alcohol beverage licensing (abl) structure in south carolina and how to apply. This page will help you find the abl licenses and permits you need to lawfully manufacture and produce, import, distribute, sell, and serve.. Alcohol Beverage License South Carolina.
From www.templateroller.com
Form BC790 Fill Out, Sign Online and Download Fillable PDF, North Alcohol Beverage License South Carolina The liquor license process can take anywhere from 40 days to six months — learn about the types of liquor licenses in south carolina and. Find information and resources for specific. The normal process time for alcohol beverage licensing (abl) applications takes about six to eight weeks. This page will help you find the abl licenses and permits you need. Alcohol Beverage License South Carolina.
From liquorlicense.co.za
Bottle Store Liquor License How to get a Liquor License Gauteng Alcohol Beverage License South Carolina Use any of the resources below to look up abl licensed locations, active licenses, south carolina abl law and policy, and more. You must be a resident for. Learn about the alcohol beverage licensing (abl) structure in south carolina and how to apply. The normal process time for alcohol beverage licensing (abl) applications takes about six to eight weeks. The. Alcohol Beverage License South Carolina.
From www.wcnc.com
Fact checking alcohol laws in North Carolina Alcohol Beverage License South Carolina Find information and resources for specific. The liquor license process can take anywhere from 40 days to six months — learn about the types of liquor licenses in south carolina and. This page will help you find the abl licenses and permits you need to lawfully manufacture and produce, import, distribute, sell, and serve. Learn about the alcohol beverage licensing. Alcohol Beverage License South Carolina.
From www.templateroller.com
Form ABL20 Download Printable PDF or Fill Online Beer, Wine, and/or Alcohol Beverage License South Carolina The south carolina alcoholic beverage control commission (abc) regulates the sale, service, and promotion of alcoholic beverages in the state. Learn about the alcohol beverage licensing (abl) structure in south carolina and how to apply. Find information and resources for specific. You must be a resident for. This page will help you find the abl licenses and permits you need. Alcohol Beverage License South Carolina.
From www.elgintexas.gov
Alcoholic Beverage License Elgin, TX Alcohol Beverage License South Carolina This page will help you find the abl licenses and permits you need to lawfully manufacture and produce, import, distribute, sell, and serve. You must be a resident for. The south carolina alcoholic beverage control commission (abc) regulates the sale, service, and promotion of alcoholic beverages in the state. Use any of the resources below to look up abl licensed. Alcohol Beverage License South Carolina.
From www.dailygamecock.com
As bars lose liquor licenses, fate of Five Points up in the air The Alcohol Beverage License South Carolina Use any of the resources below to look up abl licensed locations, active licenses, south carolina abl law and policy, and more. You must be a resident for. Find information and resources for specific. The normal process time for alcohol beverage licensing (abl) applications takes about six to eight weeks. If your business will be selling or providing alcohol, you. Alcohol Beverage License South Carolina.
From www.uslegalforms.com
Blank Liquor License Form 2020 Fill and Sign Printable Template Alcohol Beverage License South Carolina If your business will be selling or providing alcohol, you will need to secure an alcohol beverage license. This page will help you find the abl licenses and permits you need to lawfully manufacture and produce, import, distribute, sell, and serve. You must be a resident for. Learn about the alcohol beverage licensing (abl) structure in south carolina and how. Alcohol Beverage License South Carolina.
From studylib.net
SOUTH CAROLINA DEPARTMENT OF ALCOHOL AND OTHER Alcohol Beverage License South Carolina The normal process time for alcohol beverage licensing (abl) applications takes about six to eight weeks. Learn about the alcohol beverage licensing (abl) structure in south carolina and how to apply. This page will help you find the abl licenses and permits you need to lawfully manufacture and produce, import, distribute, sell, and serve. Find information and resources for specific.. Alcohol Beverage License South Carolina.
From www.templateroller.com
South Dakota Uniform Alcoholic Beverage License Application Form Fill Alcohol Beverage License South Carolina The normal process time for alcohol beverage licensing (abl) applications takes about six to eight weeks. Learn about the alcohol beverage licensing (abl) structure in south carolina and how to apply. Find information and resources for specific. This page will help you find the abl licenses and permits you need to lawfully manufacture and produce, import, distribute, sell, and serve.. Alcohol Beverage License South Carolina.
From training.passtesting.com
Learn2Serve South Carolina OnPremises Alcohol PASS Training Alcohol Beverage License South Carolina The south carolina alcoholic beverage control commission (abc) regulates the sale, service, and promotion of alcoholic beverages in the state. Find information and resources for specific. The normal process time for alcohol beverage licensing (abl) applications takes about six to eight weeks. Use any of the resources below to look up abl licensed locations, active licenses, south carolina abl law. Alcohol Beverage License South Carolina.
From www.templateroller.com
Wake County, North Carolina Beverage License Application Fill Out Alcohol Beverage License South Carolina You must be a resident for. Use any of the resources below to look up abl licensed locations, active licenses, south carolina abl law and policy, and more. Find information and resources for specific. The south carolina alcoholic beverage control commission (abc) regulates the sale, service, and promotion of alcoholic beverages in the state. Learn about the alcohol beverage licensing. Alcohol Beverage License South Carolina.
From www.wltx.com
Real ID South Carolina What you need to know Alcohol Beverage License South Carolina Learn about the alcohol beverage licensing (abl) structure in south carolina and how to apply. The liquor license process can take anywhere from 40 days to six months — learn about the types of liquor licenses in south carolina and. If your business will be selling or providing alcohol, you will need to secure an alcohol beverage license. This page. Alcohol Beverage License South Carolina.
From www.totalbeveragesolution.com
Total Beverage Solution wins Best Company in South Carolina Award Alcohol Beverage License South Carolina The liquor license process can take anywhere from 40 days to six months — learn about the types of liquor licenses in south carolina and. Use any of the resources below to look up abl licensed locations, active licenses, south carolina abl law and policy, and more. Find information and resources for specific. Learn about the alcohol beverage licensing (abl). Alcohol Beverage License South Carolina.
From pngset.com
South Carolina Gamecocks Logo, Alcohol, Beverage, Drink, Label Alcohol Beverage License South Carolina The normal process time for alcohol beverage licensing (abl) applications takes about six to eight weeks. The liquor license process can take anywhere from 40 days to six months — learn about the types of liquor licenses in south carolina and. Find information and resources for specific. Use any of the resources below to look up abl licensed locations, active. Alcohol Beverage License South Carolina.
From www.templateroller.com
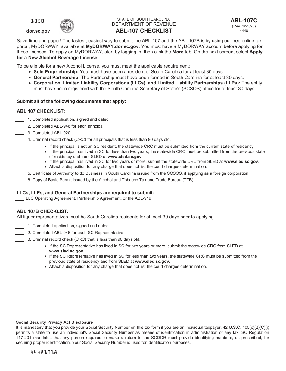
Form ABL107 Download Printable PDF or Fill Online Application for Alcohol Beverage License South Carolina The normal process time for alcohol beverage licensing (abl) applications takes about six to eight weeks. This page will help you find the abl licenses and permits you need to lawfully manufacture and produce, import, distribute, sell, and serve. The south carolina alcoholic beverage control commission (abc) regulates the sale, service, and promotion of alcoholic beverages in the state. Use. Alcohol Beverage License South Carolina.
From www.templateroller.com
Form ABL569 Fill Out, Sign Online and Download Printable PDF, South Alcohol Beverage License South Carolina The liquor license process can take anywhere from 40 days to six months — learn about the types of liquor licenses in south carolina and. If your business will be selling or providing alcohol, you will need to secure an alcohol beverage license. Use any of the resources below to look up abl licensed locations, active licenses, south carolina abl. Alcohol Beverage License South Carolina.
From www.dalesavage.com
Can I get a Temporary Alcohol License in South Carolina after a DUI Alcohol Beverage License South Carolina The south carolina alcoholic beverage control commission (abc) regulates the sale, service, and promotion of alcoholic beverages in the state. If your business will be selling or providing alcohol, you will need to secure an alcohol beverage license. The normal process time for alcohol beverage licensing (abl) applications takes about six to eight weeks. This page will help you find. Alcohol Beverage License South Carolina.
From exoyripfu.blob.core.windows.net
Drinks Liquor Beverages at John Marquez blog Alcohol Beverage License South Carolina If your business will be selling or providing alcohol, you will need to secure an alcohol beverage license. Learn about the alcohol beverage licensing (abl) structure in south carolina and how to apply. This page will help you find the abl licenses and permits you need to lawfully manufacture and produce, import, distribute, sell, and serve. Find information and resources. Alcohol Beverage License South Carolina.
From somaap.org
How long is a bartending license good for Alcohol Beverage License South Carolina The liquor license process can take anywhere from 40 days to six months — learn about the types of liquor licenses in south carolina and. Learn about the alcohol beverage licensing (abl) structure in south carolina and how to apply. The normal process time for alcohol beverage licensing (abl) applications takes about six to eight weeks. This page will help. Alcohol Beverage License South Carolina.
From www.springvalewines.com
Liquor License Alcohol Beverage License South Carolina The normal process time for alcohol beverage licensing (abl) applications takes about six to eight weeks. The south carolina alcoholic beverage control commission (abc) regulates the sale, service, and promotion of alcoholic beverages in the state. If your business will be selling or providing alcohol, you will need to secure an alcohol beverage license. You must be a resident for.. Alcohol Beverage License South Carolina.
From overproof.com
Alcohol Sales South Carolina Liquor Laws & Regulations Overproof Alcohol Beverage License South Carolina Find information and resources for specific. You must be a resident for. The normal process time for alcohol beverage licensing (abl) applications takes about six to eight weeks. Use any of the resources below to look up abl licensed locations, active licenses, south carolina abl law and policy, and more. Learn about the alcohol beverage licensing (abl) structure in south. Alcohol Beverage License South Carolina.
From www.templateroller.com
Form ABL957 Download Printable PDF or Fill Online Purchase of Alcohol Beverage License South Carolina If your business will be selling or providing alcohol, you will need to secure an alcohol beverage license. Find information and resources for specific. Use any of the resources below to look up abl licensed locations, active licenses, south carolina abl law and policy, and more. The normal process time for alcohol beverage licensing (abl) applications takes about six to. Alcohol Beverage License South Carolina.
From fermentationassociation.org
South Carolina Classifies Kombucha as Alcoholic The Fermentation Alcohol Beverage License South Carolina The south carolina alcoholic beverage control commission (abc) regulates the sale, service, and promotion of alcoholic beverages in the state. The liquor license process can take anywhere from 40 days to six months — learn about the types of liquor licenses in south carolina and. This page will help you find the abl licenses and permits you need to lawfully. Alcohol Beverage License South Carolina.
From allsopaiauthor.blogspot.com
How To Write A Relinquishing Rights To Liquor License Letter Allsop Alcohol Beverage License South Carolina The liquor license process can take anywhere from 40 days to six months — learn about the types of liquor licenses in south carolina and. Find information and resources for specific. Learn about the alcohol beverage licensing (abl) structure in south carolina and how to apply. You must be a resident for. The south carolina alcoholic beverage control commission (abc). Alcohol Beverage License South Carolina.