Magnetic Energy Derivation . The first coil has n1 turns and carries a current i1 which gives rise to a magnetic field b1 g. Since the two coils are close to each other, some of the magnetic field lines through coil 1 will. Energy should be expressed as a function of the external magnetic field and temperature so that the derivative with respect to b (at constant t) gives the magnetization, m = −. 00:08 how to derive magnetic field energy02:05 what is magnetic field energy. Here we’ll look at the derivation. Magnetic energy is the energy associated with a magnetic field. We’ve seen that the energy stored in an electric field is w e = 0 2 e2d3r (1) where the integral is over all space. Magnetic fields are generated by permanent magnets, electromagnets, and changing electric fields. Derive the equation for energy stored in a coaxial cable given the magnetic energy density Since electric currents generate a magnetic field, magnetic energy is due to electric charges in motion. Explain how energy can be stored in a magnetic field;
from dmr-physicsnotes.blogspot.com
The first coil has n1 turns and carries a current i1 which gives rise to a magnetic field b1 g. Magnetic energy is the energy associated with a magnetic field. We’ve seen that the energy stored in an electric field is w e = 0 2 e2d3r (1) where the integral is over all space. Derive the equation for energy stored in a coaxial cable given the magnetic energy density Since the two coils are close to each other, some of the magnetic field lines through coil 1 will. Explain how energy can be stored in a magnetic field; Magnetic fields are generated by permanent magnets, electromagnets, and changing electric fields. Here we’ll look at the derivation. 00:08 how to derive magnetic field energy02:05 what is magnetic field energy. Energy should be expressed as a function of the external magnetic field and temperature so that the derivative with respect to b (at constant t) gives the magnetization, m = −.
DMR'S PHYSICS NOTES Potential Energy of a Dipole in a Field
Magnetic Energy Derivation Since electric currents generate a magnetic field, magnetic energy is due to electric charges in motion. Derive the equation for energy stored in a coaxial cable given the magnetic energy density The first coil has n1 turns and carries a current i1 which gives rise to a magnetic field b1 g. Here we’ll look at the derivation. Since the two coils are close to each other, some of the magnetic field lines through coil 1 will. Energy should be expressed as a function of the external magnetic field and temperature so that the derivative with respect to b (at constant t) gives the magnetization, m = −. Explain how energy can be stored in a magnetic field; Magnetic energy is the energy associated with a magnetic field. Magnetic fields are generated by permanent magnets, electromagnets, and changing electric fields. Since electric currents generate a magnetic field, magnetic energy is due to electric charges in motion. 00:08 how to derive magnetic field energy02:05 what is magnetic field energy. We’ve seen that the energy stored in an electric field is w e = 0 2 e2d3r (1) where the integral is over all space.
From www.slideserve.com
PPT Faraday’s Law PowerPoint Presentation, free download ID3607741 Magnetic Energy Derivation 00:08 how to derive magnetic field energy02:05 what is magnetic field energy. Here we’ll look at the derivation. Since the two coils are close to each other, some of the magnetic field lines through coil 1 will. Magnetic fields are generated by permanent magnets, electromagnets, and changing electric fields. Derive the equation for energy stored in a coaxial cable given. Magnetic Energy Derivation.
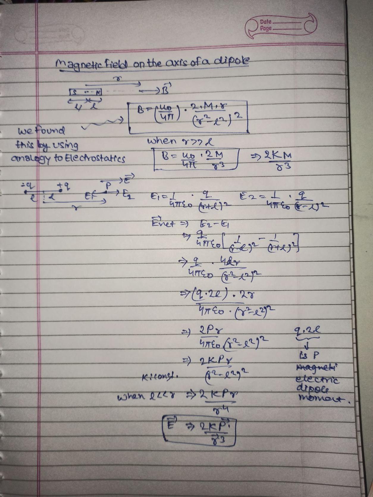
From physics.stackexchange.com
homework and exercises Deriving the field due to a dipole Physics Stack Exchange Magnetic Energy Derivation Magnetic fields are generated by permanent magnets, electromagnets, and changing electric fields. Here we’ll look at the derivation. Derive the equation for energy stored in a coaxial cable given the magnetic energy density Since the two coils are close to each other, some of the magnetic field lines through coil 1 will. 00:08 how to derive magnetic field energy02:05 what. Magnetic Energy Derivation.
From www.youtube.com
Faraday's Laws of Induction Derivation of EMF YouTube Magnetic Energy Derivation Since electric currents generate a magnetic field, magnetic energy is due to electric charges in motion. We’ve seen that the energy stored in an electric field is w e = 0 2 e2d3r (1) where the integral is over all space. Magnetic fields are generated by permanent magnets, electromagnets, and changing electric fields. Explain how energy can be stored in. Magnetic Energy Derivation.
From www.toppr.com
The energy stored in a long solenoid of area of cross section A in a small region of Magnetic Energy Derivation The first coil has n1 turns and carries a current i1 which gives rise to a magnetic field b1 g. Since the two coils are close to each other, some of the magnetic field lines through coil 1 will. Energy should be expressed as a function of the external magnetic field and temperature so that the derivative with respect to. Magnetic Energy Derivation.
From www.youtube.com
Derivation of the Force on Wires Equation YouTube Magnetic Energy Derivation Magnetic fields are generated by permanent magnets, electromagnets, and changing electric fields. Since electric currents generate a magnetic field, magnetic energy is due to electric charges in motion. The first coil has n1 turns and carries a current i1 which gives rise to a magnetic field b1 g. Here we’ll look at the derivation. Derive the equation for energy stored. Magnetic Energy Derivation.
From www.slideserve.com
PPT Maxwell’s Equations and Waves PowerPoint Presentation ID5469864 Magnetic Energy Derivation 00:08 how to derive magnetic field energy02:05 what is magnetic field energy. Energy should be expressed as a function of the external magnetic field and temperature so that the derivative with respect to b (at constant t) gives the magnetization, m = −. We’ve seen that the energy stored in an electric field is w e = 0 2 e2d3r. Magnetic Energy Derivation.
From www.youtube.com
10.03 Field Energy and Energy Density Derivation Basic Tutorial for Magnetic Energy Derivation Derive the equation for energy stored in a coaxial cable given the magnetic energy density We’ve seen that the energy stored in an electric field is w e = 0 2 e2d3r (1) where the integral is over all space. Energy should be expressed as a function of the external magnetic field and temperature so that the derivative with respect. Magnetic Energy Derivation.
From www.youtube.com
Derivation of field due to a solenoid from Ampere's circuital law • HERO OF THE Magnetic Energy Derivation Derive the equation for energy stored in a coaxial cable given the magnetic energy density Explain how energy can be stored in a magnetic field; Since the two coils are close to each other, some of the magnetic field lines through coil 1 will. Here we’ll look at the derivation. 00:08 how to derive magnetic field energy02:05 what is magnetic. Magnetic Energy Derivation.
From www.slideserve.com
PPT waves PowerPoint Presentation, free download ID1322408 Magnetic Energy Derivation Here we’ll look at the derivation. The first coil has n1 turns and carries a current i1 which gives rise to a magnetic field b1 g. Magnetic fields are generated by permanent magnets, electromagnets, and changing electric fields. Derive the equation for energy stored in a coaxial cable given the magnetic energy density Since the two coils are close to. Magnetic Energy Derivation.
From www.tessshebaylo.com
Wave Equation Derivation Ppt Tessshebaylo Magnetic Energy Derivation Here we’ll look at the derivation. Since electric currents generate a magnetic field, magnetic energy is due to electric charges in motion. Magnetic fields are generated by permanent magnets, electromagnets, and changing electric fields. 00:08 how to derive magnetic field energy02:05 what is magnetic field energy. Magnetic energy is the energy associated with a magnetic field. Explain how energy can. Magnetic Energy Derivation.
From www.tessshebaylo.com
Field Wave Equation Derivation Tessshebaylo Magnetic Energy Derivation 00:08 how to derive magnetic field energy02:05 what is magnetic field energy. Since the two coils are close to each other, some of the magnetic field lines through coil 1 will. Energy should be expressed as a function of the external magnetic field and temperature so that the derivative with respect to b (at constant t) gives the magnetization, m. Magnetic Energy Derivation.
From www.youtube.com
Energy Stored In an Inductor Field Energy Density YouTube Magnetic Energy Derivation The first coil has n1 turns and carries a current i1 which gives rise to a magnetic field b1 g. Magnetic energy is the energy associated with a magnetic field. Energy should be expressed as a function of the external magnetic field and temperature so that the derivative with respect to b (at constant t) gives the magnetization, m =. Magnetic Energy Derivation.
From www.slideserve.com
PPT Inductance and Energy PowerPoint Presentation, free download ID1707095 Magnetic Energy Derivation Here we’ll look at the derivation. Magnetic energy is the energy associated with a magnetic field. Derive the equation for energy stored in a coaxial cable given the magnetic energy density The first coil has n1 turns and carries a current i1 which gives rise to a magnetic field b1 g. Since electric currents generate a magnetic field, magnetic energy. Magnetic Energy Derivation.
From www.toppr.com
The energy stored in a long solenoid of area of cross section A in a small region of Magnetic Energy Derivation Magnetic energy is the energy associated with a magnetic field. Since the two coils are close to each other, some of the magnetic field lines through coil 1 will. Energy should be expressed as a function of the external magnetic field and temperature so that the derivative with respect to b (at constant t) gives the magnetization, m = −.. Magnetic Energy Derivation.
From www.tessshebaylo.com
Field Equation Derivation Tessshebaylo Magnetic Energy Derivation Since the two coils are close to each other, some of the magnetic field lines through coil 1 will. Magnetic fields are generated by permanent magnets, electromagnets, and changing electric fields. 00:08 how to derive magnetic field energy02:05 what is magnetic field energy. Energy should be expressed as a function of the external magnetic field and temperature so that the. Magnetic Energy Derivation.
From www.energyvanguard.com
Maxwell's equations for Energy Vanguard Magnetic Energy Derivation Energy should be expressed as a function of the external magnetic field and temperature so that the derivative with respect to b (at constant t) gives the magnetization, m = −. Since the two coils are close to each other, some of the magnetic field lines through coil 1 will. The first coil has n1 turns and carries a current. Magnetic Energy Derivation.
From www.slideshare.net
Chapter1 part1 Magnetic Energy Derivation Here we’ll look at the derivation. Derive the equation for energy stored in a coaxial cable given the magnetic energy density Magnetic energy is the energy associated with a magnetic field. Since the two coils are close to each other, some of the magnetic field lines through coil 1 will. We’ve seen that the energy stored in an electric field. Magnetic Energy Derivation.
From www.youtube.com
field on the axis of a Circular current loop derivation class 12 Physics YouTube Magnetic Energy Derivation Since the two coils are close to each other, some of the magnetic field lines through coil 1 will. Magnetic fields are generated by permanent magnets, electromagnets, and changing electric fields. Since electric currents generate a magnetic field, magnetic energy is due to electric charges in motion. We’ve seen that the energy stored in an electric field is w e. Magnetic Energy Derivation.
From www.slideserve.com
PPT CH6 Static Field PowerPoint Presentation, free download ID3432923 Magnetic Energy Derivation Magnetic fields are generated by permanent magnets, electromagnets, and changing electric fields. Since the two coils are close to each other, some of the magnetic field lines through coil 1 will. Explain how energy can be stored in a magnetic field; 00:08 how to derive magnetic field energy02:05 what is magnetic field energy. We’ve seen that the energy stored in. Magnetic Energy Derivation.
From www.tessshebaylo.com
Field Equation Derivation Tessshebaylo Magnetic Energy Derivation Explain how energy can be stored in a magnetic field; Derive the equation for energy stored in a coaxial cable given the magnetic energy density 00:08 how to derive magnetic field energy02:05 what is magnetic field energy. Magnetic energy is the energy associated with a magnetic field. Energy should be expressed as a function of the external magnetic field and. Magnetic Energy Derivation.
From www.youtube.com
dipole moment derivation class 12 and matter YouTube Magnetic Energy Derivation Energy should be expressed as a function of the external magnetic field and temperature so that the derivative with respect to b (at constant t) gives the magnetization, m = −. Explain how energy can be stored in a magnetic field; Here we’ll look at the derivation. Since the two coils are close to each other, some of the magnetic. Magnetic Energy Derivation.
From www.youtube.com
PHY1520 Chapter 30 Part 7 Energy Stored in a Field YouTube Magnetic Energy Derivation Magnetic fields are generated by permanent magnets, electromagnets, and changing electric fields. Since electric currents generate a magnetic field, magnetic energy is due to electric charges in motion. We’ve seen that the energy stored in an electric field is w e = 0 2 e2d3r (1) where the integral is over all space. Since the two coils are close to. Magnetic Energy Derivation.
From www.tessshebaylo.com
Wave Equation Derivation Ppt Tessshebaylo Magnetic Energy Derivation Energy should be expressed as a function of the external magnetic field and temperature so that the derivative with respect to b (at constant t) gives the magnetization, m = −. Here we’ll look at the derivation. Derive the equation for energy stored in a coaxial cable given the magnetic energy density 00:08 how to derive magnetic field energy02:05 what. Magnetic Energy Derivation.
From www.slideserve.com
PPT waves PowerPoint Presentation, free download ID1322408 Magnetic Energy Derivation Explain how energy can be stored in a magnetic field; 00:08 how to derive magnetic field energy02:05 what is magnetic field energy. Magnetic fields are generated by permanent magnets, electromagnets, and changing electric fields. Here we’ll look at the derivation. The first coil has n1 turns and carries a current i1 which gives rise to a magnetic field b1 g.. Magnetic Energy Derivation.
From www.slideserve.com
PPT New Measurement of the Electron Moment and the Fine Structure Constant PowerPoint Magnetic Energy Derivation Since electric currents generate a magnetic field, magnetic energy is due to electric charges in motion. Magnetic fields are generated by permanent magnets, electromagnets, and changing electric fields. We’ve seen that the energy stored in an electric field is w e = 0 2 e2d3r (1) where the integral is over all space. 00:08 how to derive magnetic field energy02:05. Magnetic Energy Derivation.
From byjus.com
Derivation of field due to a straight current carrying wire Magnetic Energy Derivation Energy should be expressed as a function of the external magnetic field and temperature so that the derivative with respect to b (at constant t) gives the magnetization, m = −. Magnetic energy is the energy associated with a magnetic field. Derive the equation for energy stored in a coaxial cable given the magnetic energy density Magnetic fields are generated. Magnetic Energy Derivation.
From www.slideserve.com
PPT Waves PowerPoint Presentation, free download ID5926961 Magnetic Energy Derivation Magnetic energy is the energy associated with a magnetic field. Magnetic fields are generated by permanent magnets, electromagnets, and changing electric fields. Derive the equation for energy stored in a coaxial cable given the magnetic energy density We’ve seen that the energy stored in an electric field is w e = 0 2 e2d3r (1) where the integral is over. Magnetic Energy Derivation.
From studylib.net
Energy Stored in Field ε μ Magnetic Energy Derivation The first coil has n1 turns and carries a current i1 which gives rise to a magnetic field b1 g. Magnetic energy is the energy associated with a magnetic field. 00:08 how to derive magnetic field energy02:05 what is magnetic field energy. Explain how energy can be stored in a magnetic field; Since the two coils are close to each. Magnetic Energy Derivation.
From www.youtube.com
Derivation of Waves from Maxwell's Equations YouTube Magnetic Energy Derivation Here we’ll look at the derivation. We’ve seen that the energy stored in an electric field is w e = 0 2 e2d3r (1) where the integral is over all space. Explain how energy can be stored in a magnetic field; Magnetic fields are generated by permanent magnets, electromagnets, and changing electric fields. The first coil has n1 turns and. Magnetic Energy Derivation.
From dmr-physicsnotes.blogspot.com
DMR'S PHYSICS NOTES Potential Energy of a Dipole in a Field Magnetic Energy Derivation 00:08 how to derive magnetic field energy02:05 what is magnetic field energy. Since the two coils are close to each other, some of the magnetic field lines through coil 1 will. The first coil has n1 turns and carries a current i1 which gives rise to a magnetic field b1 g. Energy should be expressed as a function of the. Magnetic Energy Derivation.
From physics.stackexchange.com
homework and exercises Deriving the field due to a dipole Physics Stack Exchange Magnetic Energy Derivation Magnetic fields are generated by permanent magnets, electromagnets, and changing electric fields. The first coil has n1 turns and carries a current i1 which gives rise to a magnetic field b1 g. Derive the equation for energy stored in a coaxial cable given the magnetic energy density Magnetic energy is the energy associated with a magnetic field. Energy should be. Magnetic Energy Derivation.
From www.youtube.com
Energy stored in Field lec no. 5 YouTube Magnetic Energy Derivation Here we’ll look at the derivation. The first coil has n1 turns and carries a current i1 which gives rise to a magnetic field b1 g. Magnetic fields are generated by permanent magnets, electromagnets, and changing electric fields. Derive the equation for energy stored in a coaxial cable given the magnetic energy density Magnetic energy is the energy associated with. Magnetic Energy Derivation.
From www.coursehero.com
[Solved] Use the energy density equation, find the internal... Course Hero Magnetic Energy Derivation Derive the equation for energy stored in a coaxial cable given the magnetic energy density Since electric currents generate a magnetic field, magnetic energy is due to electric charges in motion. The first coil has n1 turns and carries a current i1 which gives rise to a magnetic field b1 g. 00:08 how to derive magnetic field energy02:05 what is. Magnetic Energy Derivation.
From www.tessshebaylo.com
Field Equation Derivation Tessshebaylo Magnetic Energy Derivation Here we’ll look at the derivation. Since electric currents generate a magnetic field, magnetic energy is due to electric charges in motion. Magnetic energy is the energy associated with a magnetic field. 00:08 how to derive magnetic field energy02:05 what is magnetic field energy. Magnetic fields are generated by permanent magnets, electromagnets, and changing electric fields. Explain how energy can. Magnetic Energy Derivation.
From www.youtube.com
Energy Stored in Fields YouTube Magnetic Energy Derivation Energy should be expressed as a function of the external magnetic field and temperature so that the derivative with respect to b (at constant t) gives the magnetization, m = −. Magnetic energy is the energy associated with a magnetic field. Here we’ll look at the derivation. 00:08 how to derive magnetic field energy02:05 what is magnetic field energy. Since. Magnetic Energy Derivation.