Induction Motor Drives Questions . Induction motors are the commonest type of motor and account for a very large proportion of heavy duty motors. This article lists 100 induction motor mcqs for engineering students. Order of the circuit is. (a) the rotating stator field bs induces a voltage in the rotor bars; Control of induction motor drives for variable speed applications is explained. All the induction motor questions & answers given below include a. The control schemes available for the induction motor drives are the. Class lecture notes chapter 14:
from www.mechanical-knowledge.com
Order of the circuit is. All the induction motor questions & answers given below include a. The control schemes available for the induction motor drives are the. (a) the rotating stator field bs induces a voltage in the rotor bars; Control of induction motor drives for variable speed applications is explained. Class lecture notes chapter 14: Induction motors are the commonest type of motor and account for a very large proportion of heavy duty motors. This article lists 100 induction motor mcqs for engineering students.
Induction Motors Applications, Control and Fault Diagnostics
Induction Motor Drives Questions Induction motors are the commonest type of motor and account for a very large proportion of heavy duty motors. All the induction motor questions & answers given below include a. (a) the rotating stator field bs induces a voltage in the rotor bars; The control schemes available for the induction motor drives are the. Order of the circuit is. Class lecture notes chapter 14: Induction motors are the commonest type of motor and account for a very large proportion of heavy duty motors. This article lists 100 induction motor mcqs for engineering students. Control of induction motor drives for variable speed applications is explained.
From howelectrical.blogspot.com
INDUCTION MOTOR QUESTIONS FOR PRACTICES HOW ELECTRICAL Induction Motor Drives Questions This article lists 100 induction motor mcqs for engineering students. Induction motors are the commonest type of motor and account for a very large proportion of heavy duty motors. Control of induction motor drives for variable speed applications is explained. The control schemes available for the induction motor drives are the. Order of the circuit is. (a) the rotating stator. Induction Motor Drives Questions.
From www.numerade.com
SOLVED Text Question 3 Induction Motors a) (5 marks) Explain how torque is induced in an Induction Motor Drives Questions Class lecture notes chapter 14: The control schemes available for the induction motor drives are the. This article lists 100 induction motor mcqs for engineering students. All the induction motor questions & answers given below include a. (a) the rotating stator field bs induces a voltage in the rotor bars; Induction motors are the commonest type of motor and account. Induction Motor Drives Questions.
From encyclopedia.pub
Three Phase Induction Motor Drive Encyclopedia MDPI Induction Motor Drives Questions Control of induction motor drives for variable speed applications is explained. Class lecture notes chapter 14: All the induction motor questions & answers given below include a. This article lists 100 induction motor mcqs for engineering students. Induction motors are the commonest type of motor and account for a very large proportion of heavy duty motors. The control schemes available. Induction Motor Drives Questions.
From www.studypool.com
SOLUTION Induction motor drives cycloconverter control closed loop speed control and converter Induction Motor Drives Questions Class lecture notes chapter 14: The control schemes available for the induction motor drives are the. Order of the circuit is. All the induction motor questions & answers given below include a. (a) the rotating stator field bs induces a voltage in the rotor bars; Control of induction motor drives for variable speed applications is explained. This article lists 100. Induction Motor Drives Questions.
From www.studypool.com
SOLUTION Speed control of induction motor drive Studypool Induction Motor Drives Questions The control schemes available for the induction motor drives are the. This article lists 100 induction motor mcqs for engineering students. Class lecture notes chapter 14: Induction motors are the commonest type of motor and account for a very large proportion of heavy duty motors. (a) the rotating stator field bs induces a voltage in the rotor bars; Order of. Induction Motor Drives Questions.
From www.chegg.com
Solved Induction Motor Drives Example Performance Induction Motor Drives Questions All the induction motor questions & answers given below include a. (a) the rotating stator field bs induces a voltage in the rotor bars; Order of the circuit is. Control of induction motor drives for variable speed applications is explained. Induction motors are the commonest type of motor and account for a very large proportion of heavy duty motors. Class. Induction Motor Drives Questions.
From www.electrical4u.net
100+ Electrical MCQ Questions in Induction Motor Electrical4u Induction Motor Drives Questions The control schemes available for the induction motor drives are the. Order of the circuit is. All the induction motor questions & answers given below include a. (a) the rotating stator field bs induces a voltage in the rotor bars; Control of induction motor drives for variable speed applications is explained. This article lists 100 induction motor mcqs for engineering. Induction Motor Drives Questions.
From www.studypool.com
SOLUTION Induction motor drives notes and numericals Studypool Induction Motor Drives Questions All the induction motor questions & answers given below include a. Control of induction motor drives for variable speed applications is explained. Induction motors are the commonest type of motor and account for a very large proportion of heavy duty motors. The control schemes available for the induction motor drives are the. (a) the rotating stator field bs induces a. Induction Motor Drives Questions.
From www.numerade.com
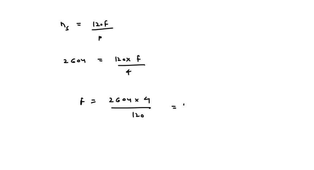
A fourpole induction motor drives a load at 2500 rpm. This is to be by using an Induction Motor Drives Questions Order of the circuit is. (a) the rotating stator field bs induces a voltage in the rotor bars; The control schemes available for the induction motor drives are the. All the induction motor questions & answers given below include a. Class lecture notes chapter 14: Induction motors are the commonest type of motor and account for a very large proportion. Induction Motor Drives Questions.
From www.chegg.com
Solved Q7 The setup shown below can be used to control an Induction Motor Drives Questions Class lecture notes chapter 14: Control of induction motor drives for variable speed applications is explained. Order of the circuit is. (a) the rotating stator field bs induces a voltage in the rotor bars; The control schemes available for the induction motor drives are the. This article lists 100 induction motor mcqs for engineering students. All the induction motor questions. Induction Motor Drives Questions.
From www.studypool.com
SOLUTION Induction motor drives notes and numericals Studypool Induction Motor Drives Questions All the induction motor questions & answers given below include a. Class lecture notes chapter 14: (a) the rotating stator field bs induces a voltage in the rotor bars; The control schemes available for the induction motor drives are the. Induction motors are the commonest type of motor and account for a very large proportion of heavy duty motors. Control. Induction Motor Drives Questions.
From www.chegg.com
Solved QUESTION 1 A three phase induction motor is supplied Induction Motor Drives Questions Induction motors are the commonest type of motor and account for a very large proportion of heavy duty motors. (a) the rotating stator field bs induces a voltage in the rotor bars; Class lecture notes chapter 14: All the induction motor questions & answers given below include a. The control schemes available for the induction motor drives are the. Control. Induction Motor Drives Questions.
From www.youtube.com
Induction Motor Quiz Questions (20 Questions With Fully Answers) YouTube Induction Motor Drives Questions All the induction motor questions & answers given below include a. Control of induction motor drives for variable speed applications is explained. (a) the rotating stator field bs induces a voltage in the rotor bars; Order of the circuit is. Induction motors are the commonest type of motor and account for a very large proportion of heavy duty motors. The. Induction Motor Drives Questions.
From novapublishers.com
Power Electronic Converters and Induction Motor Drives Nova Science Publishers Induction Motor Drives Questions The control schemes available for the induction motor drives are the. This article lists 100 induction motor mcqs for engineering students. Control of induction motor drives for variable speed applications is explained. All the induction motor questions & answers given below include a. Induction motors are the commonest type of motor and account for a very large proportion of heavy. Induction Motor Drives Questions.
From www.studypool.com
SOLUTION Induction motor drives Studypool Induction Motor Drives Questions Order of the circuit is. Class lecture notes chapter 14: Induction motors are the commonest type of motor and account for a very large proportion of heavy duty motors. All the induction motor questions & answers given below include a. This article lists 100 induction motor mcqs for engineering students. Control of induction motor drives for variable speed applications is. Induction Motor Drives Questions.
From www.youtube.com
Ac drive Induction motor drive/speed torque characteristics/motoring/plugging YouTube Induction Motor Drives Questions Induction motors are the commonest type of motor and account for a very large proportion of heavy duty motors. This article lists 100 induction motor mcqs for engineering students. All the induction motor questions & answers given below include a. Class lecture notes chapter 14: Order of the circuit is. Control of induction motor drives for variable speed applications is. Induction Motor Drives Questions.
From electriceasy.blogspot.com
Problems on Induction Motor drives Electric easy Induction Motor Drives Questions Class lecture notes chapter 14: Order of the circuit is. Induction motors are the commonest type of motor and account for a very large proportion of heavy duty motors. This article lists 100 induction motor mcqs for engineering students. All the induction motor questions & answers given below include a. (a) the rotating stator field bs induces a voltage in. Induction Motor Drives Questions.
From www.scribd.com
Induction Motor Drives PDF Power Inverter Rectifier Induction Motor Drives Questions Induction motors are the commonest type of motor and account for a very large proportion of heavy duty motors. The control schemes available for the induction motor drives are the. Order of the circuit is. All the induction motor questions & answers given below include a. Class lecture notes chapter 14: This article lists 100 induction motor mcqs for engineering. Induction Motor Drives Questions.
From www.semanticscholar.org
Figure 1 from HighSpeed MegawattScale InductionMotor Drives Efficiency Maps and Drivetrains Induction Motor Drives Questions Induction motors are the commonest type of motor and account for a very large proportion of heavy duty motors. Order of the circuit is. All the induction motor questions & answers given below include a. The control schemes available for the induction motor drives are the. Class lecture notes chapter 14: (a) the rotating stator field bs induces a voltage. Induction Motor Drives Questions.
From www.mechanical-knowledge.com
Induction Motors Applications, Control and Fault Diagnostics Induction Motor Drives Questions Class lecture notes chapter 14: Order of the circuit is. Induction motors are the commonest type of motor and account for a very large proportion of heavy duty motors. The control schemes available for the induction motor drives are the. This article lists 100 induction motor mcqs for engineering students. Control of induction motor drives for variable speed applications is. Induction Motor Drives Questions.
From engineeringlearn.com
Operation of Induction Motor Engineering Learn Induction Motor Drives Questions The control schemes available for the induction motor drives are the. Control of induction motor drives for variable speed applications is explained. All the induction motor questions & answers given below include a. Induction motors are the commonest type of motor and account for a very large proportion of heavy duty motors. (a) the rotating stator field bs induces a. Induction Motor Drives Questions.
From www.scribd.com
Induction Motor Drives Ws Ned Mohan PDF Electric Motor Electrical Equipment Induction Motor Drives Questions The control schemes available for the induction motor drives are the. Induction motors are the commonest type of motor and account for a very large proportion of heavy duty motors. Order of the circuit is. Class lecture notes chapter 14: This article lists 100 induction motor mcqs for engineering students. Control of induction motor drives for variable speed applications is. Induction Motor Drives Questions.
From www.slideshare.net
CSI and vSI fed induction motor drives Induction Motor Drives Questions This article lists 100 induction motor mcqs for engineering students. Control of induction motor drives for variable speed applications is explained. Order of the circuit is. (a) the rotating stator field bs induces a voltage in the rotor bars; All the induction motor questions & answers given below include a. Class lecture notes chapter 14: Induction motors are the commonest. Induction Motor Drives Questions.
From www.youtube.com
Numerical on 3 phase Induction Motor YouTube Induction Motor Drives Questions All the induction motor questions & answers given below include a. Class lecture notes chapter 14: (a) the rotating stator field bs induces a voltage in the rotor bars; Order of the circuit is. Induction motors are the commonest type of motor and account for a very large proportion of heavy duty motors. The control schemes available for the induction. Induction Motor Drives Questions.
From www.studypool.com
SOLUTION Induction motor drives Studypool Induction Motor Drives Questions Induction motors are the commonest type of motor and account for a very large proportion of heavy duty motors. Class lecture notes chapter 14: (a) the rotating stator field bs induces a voltage in the rotor bars; Control of induction motor drives for variable speed applications is explained. The control schemes available for the induction motor drives are the. All. Induction Motor Drives Questions.
From www.researchgate.net
Configuration of parallelconnected induction motor drives. Download Scientific Diagram Induction Motor Drives Questions This article lists 100 induction motor mcqs for engineering students. The control schemes available for the induction motor drives are the. Control of induction motor drives for variable speed applications is explained. Induction motors are the commonest type of motor and account for a very large proportion of heavy duty motors. All the induction motor questions & answers given below. Induction Motor Drives Questions.
From studylib.net
Induction Motor Drive Induction Motor Drives Questions Control of induction motor drives for variable speed applications is explained. Class lecture notes chapter 14: Order of the circuit is. Induction motors are the commonest type of motor and account for a very large proportion of heavy duty motors. All the induction motor questions & answers given below include a. The control schemes available for the induction motor drives. Induction Motor Drives Questions.
From www.studypool.com
SOLUTION Speed control of induction motor drive Studypool Induction Motor Drives Questions This article lists 100 induction motor mcqs for engineering students. The control schemes available for the induction motor drives are the. Induction motors are the commonest type of motor and account for a very large proportion of heavy duty motors. (a) the rotating stator field bs induces a voltage in the rotor bars; All the induction motor questions & answers. Induction Motor Drives Questions.
From www.morningexam.com
300 Important Three Phase Induction Motor MCQ Question and Answer PDF Free Download Morning Exam Induction Motor Drives Questions Order of the circuit is. (a) the rotating stator field bs induces a voltage in the rotor bars; Class lecture notes chapter 14: Induction motors are the commonest type of motor and account for a very large proportion of heavy duty motors. All the induction motor questions & answers given below include a. The control schemes available for the induction. Induction Motor Drives Questions.
From www.scribd.com
Induction Motor Questions PDF Induction Motor Drives Questions (a) the rotating stator field bs induces a voltage in the rotor bars; Induction motors are the commonest type of motor and account for a very large proportion of heavy duty motors. This article lists 100 induction motor mcqs for engineering students. Class lecture notes chapter 14: Control of induction motor drives for variable speed applications is explained. The control. Induction Motor Drives Questions.
From www.youtube.com
INDUCTION MOTOR DRIVES(PART1) LEC9 ELECTRIC DRIVES ELECTRICAL ENGINEERING YouTube Induction Motor Drives Questions Induction motors are the commonest type of motor and account for a very large proportion of heavy duty motors. This article lists 100 induction motor mcqs for engineering students. Control of induction motor drives for variable speed applications is explained. (a) the rotating stator field bs induces a voltage in the rotor bars; Order of the circuit is. The control. Induction Motor Drives Questions.
From slidetodoc.com
Induction Motor Vector Control or Field Oriented Control Induction Motor Drives Questions Control of induction motor drives for variable speed applications is explained. Induction motors are the commonest type of motor and account for a very large proportion of heavy duty motors. All the induction motor questions & answers given below include a. (a) the rotating stator field bs induces a voltage in the rotor bars; This article lists 100 induction motor. Induction Motor Drives Questions.
From www.youtube.com
Voltage source fed Induction Motor Drive Industrial Drives and Control YouTube Induction Motor Drives Questions Induction motors are the commonest type of motor and account for a very large proportion of heavy duty motors. This article lists 100 induction motor mcqs for engineering students. The control schemes available for the induction motor drives are the. Control of induction motor drives for variable speed applications is explained. Order of the circuit is. All the induction motor. Induction Motor Drives Questions.
From www.slideshare.net
CSI and vSI fed induction motor drives Induction Motor Drives Questions (a) the rotating stator field bs induces a voltage in the rotor bars; This article lists 100 induction motor mcqs for engineering students. Induction motors are the commonest type of motor and account for a very large proportion of heavy duty motors. The control schemes available for the induction motor drives are the. Order of the circuit is. All the. Induction Motor Drives Questions.
From www.academia.edu
(PDF) [pdf] Applied Intelligent Control of Induction Motor Drives Guru Vokasi Academia.edu Induction Motor Drives Questions Control of induction motor drives for variable speed applications is explained. This article lists 100 induction motor mcqs for engineering students. Order of the circuit is. The control schemes available for the induction motor drives are the. Class lecture notes chapter 14: Induction motors are the commonest type of motor and account for a very large proportion of heavy duty. Induction Motor Drives Questions.