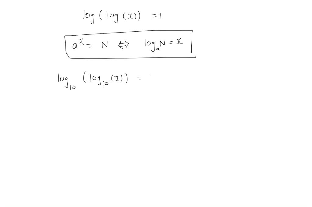
Logarithmic Statement . Understanding this basic idea helps. In this section we will introduce logarithm functions. We give the basic properties and graphs of logarithm functions. The definition of a logarithm says:. [latex] {\log _b}\left ( { {x \cdot y}} \right) = {\log _b}x + {\log _b}y [/latex] Prove the four (4) properties of logarithms. But in this lesson, we are going to provide justifications or simple proofs why they are true. Discover the link between exponential function bⁿ = m and logₐm = n in this article about logarithms explained. The fundamental idea of logarithmic notation is that it is simply a restatement of an exponential relationship. In addition, we discuss how to evaluate some basic.
from www.youtube.com
In this section we will introduce logarithm functions. Discover the link between exponential function bⁿ = m and logₐm = n in this article about logarithms explained. But in this lesson, we are going to provide justifications or simple proofs why they are true. We give the basic properties and graphs of logarithm functions. [latex] {\log _b}\left ( { {x \cdot y}} \right) = {\log _b}x + {\log _b}y [/latex] The definition of a logarithm says:. Prove the four (4) properties of logarithms. In addition, we discuss how to evaluate some basic. The fundamental idea of logarithmic notation is that it is simply a restatement of an exponential relationship. Understanding this basic idea helps.
logarithms basics video YouTube
Logarithmic Statement Understanding this basic idea helps. The fundamental idea of logarithmic notation is that it is simply a restatement of an exponential relationship. Understanding this basic idea helps. We give the basic properties and graphs of logarithm functions. The definition of a logarithm says:. Discover the link between exponential function bⁿ = m and logₐm = n in this article about logarithms explained. But in this lesson, we are going to provide justifications or simple proofs why they are true. In addition, we discuss how to evaluate some basic. Prove the four (4) properties of logarithms. In this section we will introduce logarithm functions. [latex] {\log _b}\left ( { {x \cdot y}} \right) = {\log _b}x + {\log _b}y [/latex]
From www.youtube.com
Ex 1 Evaluate a Logarithmic Expression Using the Properties of Logarithmic Statement In this section we will introduce logarithm functions. [latex] {\log _b}\left ( { {x \cdot y}} \right) = {\log _b}x + {\log _b}y [/latex] Understanding this basic idea helps. In addition, we discuss how to evaluate some basic. Prove the four (4) properties of logarithms. The fundamental idea of logarithmic notation is that it is simply a restatement of an. Logarithmic Statement.
From mathsathome.com
How to Write in Logarithmic Form Logarithmic Statement Understanding this basic idea helps. [latex] {\log _b}\left ( { {x \cdot y}} \right) = {\log _b}x + {\log _b}y [/latex] In addition, we discuss how to evaluate some basic. But in this lesson, we are going to provide justifications or simple proofs why they are true. Discover the link between exponential function bⁿ = m and logₐm = n. Logarithmic Statement.
From kunduz.com
[ANSWERED] Consider the logarithmic statement below Ident... Math Logarithmic Statement Understanding this basic idea helps. The fundamental idea of logarithmic notation is that it is simply a restatement of an exponential relationship. But in this lesson, we are going to provide justifications or simple proofs why they are true. Prove the four (4) properties of logarithms. In this section we will introduce logarithm functions. We give the basic properties and. Logarithmic Statement.
From www.youtube.com
Change Each Logarithmic Expression To Equivalent Expression Involving Logarithmic Statement We give the basic properties and graphs of logarithm functions. Discover the link between exponential function bⁿ = m and logₐm = n in this article about logarithms explained. The fundamental idea of logarithmic notation is that it is simply a restatement of an exponential relationship. Understanding this basic idea helps. But in this lesson, we are going to provide. Logarithmic Statement.
From www.numerade.com
SOLVED Change the exponential statement l0 an equivalent statement Logarithmic Statement We give the basic properties and graphs of logarithm functions. [latex] {\log _b}\left ( { {x \cdot y}} \right) = {\log _b}x + {\log _b}y [/latex] In addition, we discuss how to evaluate some basic. The fundamental idea of logarithmic notation is that it is simply a restatement of an exponential relationship. The definition of a logarithm says:. Discover the. Logarithmic Statement.
From www.coursehero.com
[Solved] Change the logarithmic statement to an equivalent statement Logarithmic Statement Discover the link between exponential function bⁿ = m and logₐm = n in this article about logarithms explained. But in this lesson, we are going to provide justifications or simple proofs why they are true. In addition, we discuss how to evaluate some basic. We give the basic properties and graphs of logarithm functions. The fundamental idea of logarithmic. Logarithmic Statement.
From www.coursehero.com
[Solved] . 2. Translate the logarithmic statement into an equivalent Logarithmic Statement In this section we will introduce logarithm functions. Discover the link between exponential function bⁿ = m and logₐm = n in this article about logarithms explained. The definition of a logarithm says:. But in this lesson, we are going to provide justifications or simple proofs why they are true. Understanding this basic idea helps. [latex] {\log _b}\left ( {. Logarithmic Statement.
From www.coursehero.com
[Solved] . 2. Translate the logarithmic statement into an equivalent Logarithmic Statement The definition of a logarithm says:. [latex] {\log _b}\left ( { {x \cdot y}} \right) = {\log _b}x + {\log _b}y [/latex] We give the basic properties and graphs of logarithm functions. But in this lesson, we are going to provide justifications or simple proofs why they are true. Understanding this basic idea helps. In this section we will introduce. Logarithmic Statement.
From calconcalculator.com
Condense Logarithms Calculator Solution with steps🥇 Logarithmic Statement Understanding this basic idea helps. The fundamental idea of logarithmic notation is that it is simply a restatement of an exponential relationship. In this section we will introduce logarithm functions. Discover the link between exponential function bⁿ = m and logₐm = n in this article about logarithms explained. But in this lesson, we are going to provide justifications or. Logarithmic Statement.
From www.cuemath.com
Properties of Log What are Logarithmic Properties? Logarithmic Statement Understanding this basic idea helps. Discover the link between exponential function bⁿ = m and logₐm = n in this article about logarithms explained. The fundamental idea of logarithmic notation is that it is simply a restatement of an exponential relationship. [latex] {\log _b}\left ( { {x \cdot y}} \right) = {\log _b}x + {\log _b}y [/latex] Prove the four. Logarithmic Statement.
From www.youtube.com
logarithms basics video YouTube Logarithmic Statement We give the basic properties and graphs of logarithm functions. In this section we will introduce logarithm functions. Understanding this basic idea helps. Discover the link between exponential function bⁿ = m and logₐm = n in this article about logarithms explained. Prove the four (4) properties of logarithms. But in this lesson, we are going to provide justifications or. Logarithmic Statement.
From www.coursehero.com
[Solved] Change the logarithmic statement to an equivalent statement Logarithmic Statement Discover the link between exponential function bⁿ = m and logₐm = n in this article about logarithms explained. In addition, we discuss how to evaluate some basic. Understanding this basic idea helps. [latex] {\log _b}\left ( { {x \cdot y}} \right) = {\log _b}x + {\log _b}y [/latex] In this section we will introduce logarithm functions. The definition of. Logarithmic Statement.
From www.slideserve.com
PPT EXPONENTS AND LOGARITHMS PowerPoint Presentation, free download Logarithmic Statement In addition, we discuss how to evaluate some basic. [latex] {\log _b}\left ( { {x \cdot y}} \right) = {\log _b}x + {\log _b}y [/latex] We give the basic properties and graphs of logarithm functions. The definition of a logarithm says:. The fundamental idea of logarithmic notation is that it is simply a restatement of an exponential relationship. In this. Logarithmic Statement.
From mathsstudy123.blogspot.com
Logarithm Maths Study Logarithmic Statement Discover the link between exponential function bⁿ = m and logₐm = n in this article about logarithms explained. The definition of a logarithm says:. In this section we will introduce logarithm functions. [latex] {\log _b}\left ( { {x \cdot y}} \right) = {\log _b}x + {\log _b}y [/latex] Understanding this basic idea helps. In addition, we discuss how to. Logarithmic Statement.
From www.youtube.com
Changing Exponential Statements to Logarithmic Statements (and Vice Logarithmic Statement We give the basic properties and graphs of logarithm functions. Discover the link between exponential function bⁿ = m and logₐm = n in this article about logarithms explained. [latex] {\log _b}\left ( { {x \cdot y}} \right) = {\log _b}x + {\log _b}y [/latex] Understanding this basic idea helps. In addition, we discuss how to evaluate some basic. The. Logarithmic Statement.
From www.chegg.com
Solved Translate the logarithmic statement into an Logarithmic Statement [latex] {\log _b}\left ( { {x \cdot y}} \right) = {\log _b}x + {\log _b}y [/latex] Prove the four (4) properties of logarithms. In this section we will introduce logarithm functions. Understanding this basic idea helps. The definition of a logarithm says:. Discover the link between exponential function bⁿ = m and logₐm = n in this article about logarithms. Logarithmic Statement.
From mathsathome.com
Logarithm Laws Made Easy A Complete Guide with Examples Logarithmic Statement Prove the four (4) properties of logarithms. In this section we will introduce logarithm functions. Understanding this basic idea helps. Discover the link between exponential function bⁿ = m and logₐm = n in this article about logarithms explained. [latex] {\log _b}\left ( { {x \cdot y}} \right) = {\log _b}x + {\log _b}y [/latex] We give the basic properties. Logarithmic Statement.
From www.coursehero.com
[Solved] Change the logarithmic statement to an equivalent statement Logarithmic Statement Prove the four (4) properties of logarithms. [latex] {\log _b}\left ( { {x \cdot y}} \right) = {\log _b}x + {\log _b}y [/latex] We give the basic properties and graphs of logarithm functions. In this section we will introduce logarithm functions. The fundamental idea of logarithmic notation is that it is simply a restatement of an exponential relationship. In addition,. Logarithmic Statement.
From www.youtube.com
Change Exponential Statements to Logarithmic Statements and Viceversa Logarithmic Statement Discover the link between exponential function bⁿ = m and logₐm = n in this article about logarithms explained. The fundamental idea of logarithmic notation is that it is simply a restatement of an exponential relationship. We give the basic properties and graphs of logarithm functions. In this section we will introduce logarithm functions. The definition of a logarithm says:.. Logarithmic Statement.
From www.coursehero.com
[Solved] . 2. Translate the logarithmic statement into an equivalent Logarithmic Statement In addition, we discuss how to evaluate some basic. Prove the four (4) properties of logarithms. Discover the link between exponential function bⁿ = m and logₐm = n in this article about logarithms explained. [latex] {\log _b}\left ( { {x \cdot y}} \right) = {\log _b}x + {\log _b}y [/latex] The fundamental idea of logarithmic notation is that it. Logarithmic Statement.
From www.easysevens.com
Laws of Exponents and Logarithms Easy Sevens Education Logarithmic Statement [latex] {\log _b}\left ( { {x \cdot y}} \right) = {\log _b}x + {\log _b}y [/latex] We give the basic properties and graphs of logarithm functions. But in this lesson, we are going to provide justifications or simple proofs why they are true. Understanding this basic idea helps. The fundamental idea of logarithmic notation is that it is simply a. Logarithmic Statement.
From www.youtube.com
LOGARITHMS Prove The Logarithm Statement YouTube Logarithmic Statement The definition of a logarithm says:. The fundamental idea of logarithmic notation is that it is simply a restatement of an exponential relationship. Discover the link between exponential function bⁿ = m and logₐm = n in this article about logarithms explained. [latex] {\log _b}\left ( { {x \cdot y}} \right) = {\log _b}x + {\log _b}y [/latex] We give. Logarithmic Statement.
From www.chegg.com
Solved Section 5 Translate each logarithmic statement into Logarithmic Statement In this section we will introduce logarithm functions. Discover the link between exponential function bⁿ = m and logₐm = n in this article about logarithms explained. But in this lesson, we are going to provide justifications or simple proofs why they are true. [latex] {\log _b}\left ( { {x \cdot y}} \right) = {\log _b}x + {\log _b}y [/latex]. Logarithmic Statement.
From www.youtube.com
Solving Logarithmic Equations YouTube Logarithmic Statement In addition, we discuss how to evaluate some basic. But in this lesson, we are going to provide justifications or simple proofs why they are true. In this section we will introduce logarithm functions. Prove the four (4) properties of logarithms. Discover the link between exponential function bⁿ = m and logₐm = n in this article about logarithms explained.. Logarithmic Statement.
From www.chegg.com
Solved Change the logarithmic statement to an equivalent Logarithmic Statement Prove the four (4) properties of logarithms. But in this lesson, we are going to provide justifications or simple proofs why they are true. The fundamental idea of logarithmic notation is that it is simply a restatement of an exponential relationship. We give the basic properties and graphs of logarithm functions. In this section we will introduce logarithm functions. In. Logarithmic Statement.
From www.chegg.com
Solved Change the logarithmic statement to an equivalent Logarithmic Statement In this section we will introduce logarithm functions. Prove the four (4) properties of logarithms. The fundamental idea of logarithmic notation is that it is simply a restatement of an exponential relationship. Discover the link between exponential function bⁿ = m and logₐm = n in this article about logarithms explained. But in this lesson, we are going to provide. Logarithmic Statement.
From www.chegg.com
Solved Translate each logarithmic statement into an Logarithmic Statement The fundamental idea of logarithmic notation is that it is simply a restatement of an exponential relationship. [latex] {\log _b}\left ( { {x \cdot y}} \right) = {\log _b}x + {\log _b}y [/latex] The definition of a logarithm says:. In this section we will introduce logarithm functions. We give the basic properties and graphs of logarithm functions. Prove the four. Logarithmic Statement.
From www.numerade.com
Translate the given logarithmic statement into an equivalent Logarithmic Statement The fundamental idea of logarithmic notation is that it is simply a restatement of an exponential relationship. Prove the four (4) properties of logarithms. The definition of a logarithm says:. But in this lesson, we are going to provide justifications or simple proofs why they are true. We give the basic properties and graphs of logarithm functions. Understanding this basic. Logarithmic Statement.
From www.coursehero.com
[Solved] . 2. Translate the logarithmic statement into an equivalent Logarithmic Statement [latex] {\log _b}\left ( { {x \cdot y}} \right) = {\log _b}x + {\log _b}y [/latex] The definition of a logarithm says:. Understanding this basic idea helps. But in this lesson, we are going to provide justifications or simple proofs why they are true. We give the basic properties and graphs of logarithm functions. Prove the four (4) properties of. Logarithmic Statement.
From www.slideserve.com
PPT Logs Theory of Logarithms s PowerPoint Presentation ID5190178 Logarithmic Statement The definition of a logarithm says:. In addition, we discuss how to evaluate some basic. In this section we will introduce logarithm functions. The fundamental idea of logarithmic notation is that it is simply a restatement of an exponential relationship. Prove the four (4) properties of logarithms. Understanding this basic idea helps. [latex] {\log _b}\left ( { {x \cdot y}}. Logarithmic Statement.
From www.coursehero.com
[Solved] Change the logarithmic statement to an equivalent statement Logarithmic Statement But in this lesson, we are going to provide justifications or simple proofs why they are true. Understanding this basic idea helps. The fundamental idea of logarithmic notation is that it is simply a restatement of an exponential relationship. The definition of a logarithm says:. In addition, we discuss how to evaluate some basic. We give the basic properties and. Logarithmic Statement.
From mathsathome.com
How to Write in Logarithmic Form Logarithmic Statement In this section we will introduce logarithm functions. But in this lesson, we are going to provide justifications or simple proofs why they are true. In addition, we discuss how to evaluate some basic. We give the basic properties and graphs of logarithm functions. Prove the four (4) properties of logarithms. [latex] {\log _b}\left ( { {x \cdot y}} \right). Logarithmic Statement.
From www.chegg.com
Solved Change the logarithmic statement to an equivalent Logarithmic Statement Discover the link between exponential function bⁿ = m and logₐm = n in this article about logarithms explained. But in this lesson, we are going to provide justifications or simple proofs why they are true. In addition, we discuss how to evaluate some basic. Prove the four (4) properties of logarithms. We give the basic properties and graphs of. Logarithmic Statement.
From www.gauthmath.com
Solved Change the logarithmic statement to an equivalent statement Logarithmic Statement Discover the link between exponential function bⁿ = m and logₐm = n in this article about logarithms explained. Understanding this basic idea helps. We give the basic properties and graphs of logarithm functions. The fundamental idea of logarithmic notation is that it is simply a restatement of an exponential relationship. The definition of a logarithm says:. Prove the four. Logarithmic Statement.
From www.numerade.com
SOLVEDTranslate the given logarithmic statement into an equivalent Logarithmic Statement In this section we will introduce logarithm functions. The fundamental idea of logarithmic notation is that it is simply a restatement of an exponential relationship. Discover the link between exponential function bⁿ = m and logₐm = n in this article about logarithms explained. Understanding this basic idea helps. [latex] {\log _b}\left ( { {x \cdot y}} \right) = {\log. Logarithmic Statement.