Maths Factor Ks3 . A lesson on lcm and hcf with multiples and factors starter. Common factors can be found by comparing the products of their primes. Find all the factor pairs for a number. What is a factor and what is a multiple? Highest common factors and prime factors. Using factors pairs it is possible to systematically find all the factors. Lesson on factors and hcf. Lesson on primes and pfd. Find all the factor pairs for a number in this. Divisibility tests can help identify factors of a number. Use the concepts and vocabulary of factors and multiples. Learn how to work out the factors of a number using a diagrammatic representation and factor trees in this ks3 maths study guide from bbc. A simple worksheet for ks3 maths on finding the factors, multiples, highest common factors and lowest common multiples of numbers by listing. The highest common factor of two numbers can be found by comparing the prime. Use the concepts and vocabulary of factors and multiples.
from www.bbc.co.uk
What is a factor and what is a multiple? Lesson on factors and hcf. Use the concepts and vocabulary of factors and multiples. Common factors can be found by comparing the products of their primes. The highest common factor of two numbers can be found by comparing the prime. Use the concepts and vocabulary of factors and multiples. A simple worksheet for ks3 maths on finding the factors, multiples, highest common factors and lowest common multiples of numbers by listing. A lesson on lcm and hcf with multiples and factors starter. Highest common factors and prime factors. Lesson on primes and pfd.
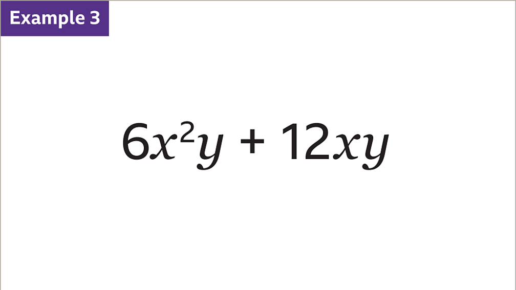
Rewrite expressions by taking out common factors KS3 Maths BBC
Maths Factor Ks3 The highest common factor of two numbers can be found by comparing the prime. Use the concepts and vocabulary of factors and multiples. Find all the factor pairs for a number. Divisibility tests can help identify factors of a number. Lesson on primes and pfd. A lesson on lcm and hcf with multiples and factors starter. Learn how to work out the factors of a number using a diagrammatic representation and factor trees in this ks3 maths study guide from bbc. Using factors pairs it is possible to systematically find all the factors. Find all the factor pairs for a number in this. What is a factor and what is a multiple? Common factors can be found by comparing the products of their primes. Highest common factors and prime factors. The highest common factor of two numbers can be found by comparing the prime. A simple worksheet for ks3 maths on finding the factors, multiples, highest common factors and lowest common multiples of numbers by listing. Lesson on factors and hcf. Use the concepts and vocabulary of factors and multiples.
From www.teachwire.net
KS3 Maths Multiple Choice Starter Activity for Highest Common Factor Maths Factor Ks3 A simple worksheet for ks3 maths on finding the factors, multiples, highest common factors and lowest common multiples of numbers by listing. Lesson on primes and pfd. Common factors can be found by comparing the products of their primes. What is a factor and what is a multiple? The highest common factor of two numbers can be found by comparing. Maths Factor Ks3.
From www.bbc.co.uk
Rewrite expressions by taking out common factors KS3 Maths BBC Maths Factor Ks3 Using factors pairs it is possible to systematically find all the factors. Divisibility tests can help identify factors of a number. Use the concepts and vocabulary of factors and multiples. What is a factor and what is a multiple? Lesson on primes and pfd. A simple worksheet for ks3 maths on finding the factors, multiples, highest common factors and lowest. Maths Factor Ks3.
From www.mathssupport.org
Maths KS3 1.03.2 Factors and Highest Common Factor Maths Factor Ks3 Use the concepts and vocabulary of factors and multiples. Find all the factor pairs for a number in this. Find all the factor pairs for a number. A simple worksheet for ks3 maths on finding the factors, multiples, highest common factors and lowest common multiples of numbers by listing. A lesson on lcm and hcf with multiples and factors starter.. Maths Factor Ks3.
From www.teachit.co.uk
HCF and LCM posters KS3 maths Prime factors Teachit Maths Factor Ks3 Use the concepts and vocabulary of factors and multiples. Lesson on factors and hcf. Using factors pairs it is possible to systematically find all the factors. Use the concepts and vocabulary of factors and multiples. Find all the factor pairs for a number. Common factors can be found by comparing the products of their primes. Learn how to work out. Maths Factor Ks3.
From thirdspacelearning.com
FREE What Are Factors Explained for Primary School Worksheets Third Maths Factor Ks3 Common factors can be found by comparing the products of their primes. Use the concepts and vocabulary of factors and multiples. Using factors pairs it is possible to systematically find all the factors. A lesson on lcm and hcf with multiples and factors starter. Use the concepts and vocabulary of factors and multiples. Learn how to work out the factors. Maths Factor Ks3.
From www.youtube.com
KS3 Maths Prime Factor A Beyond Lesson YouTube Maths Factor Ks3 Common factors can be found by comparing the products of their primes. Divisibility tests can help identify factors of a number. A simple worksheet for ks3 maths on finding the factors, multiples, highest common factors and lowest common multiples of numbers by listing. Using factors pairs it is possible to systematically find all the factors. Highest common factors and prime. Maths Factor Ks3.
From www.tes.com
Maths Mystery Primes, Factors & Multiples KS3 GCSE Teaching Resources Maths Factor Ks3 Highest common factors and prime factors. Lesson on primes and pfd. The highest common factor of two numbers can be found by comparing the prime. Using factors pairs it is possible to systematically find all the factors. A lesson on lcm and hcf with multiples and factors starter. Common factors can be found by comparing the products of their primes.. Maths Factor Ks3.
From www.pinterest.com
5 of the Best KS3/4 Maths Resources and Lesson Plans for Teaching Maths Factor Ks3 A simple worksheet for ks3 maths on finding the factors, multiples, highest common factors and lowest common multiples of numbers by listing. A lesson on lcm and hcf with multiples and factors starter. Learn how to work out the factors of a number using a diagrammatic representation and factor trees in this ks3 maths study guide from bbc. Common factors. Maths Factor Ks3.
From www.teachwire.net
Similar Shapes Volume Worksheet Using Scale Factors for KS3 Maths Maths Factor Ks3 Divisibility tests can help identify factors of a number. Find all the factor pairs for a number. Learn how to work out the factors of a number using a diagrammatic representation and factor trees in this ks3 maths study guide from bbc. A lesson on lcm and hcf with multiples and factors starter. Lesson on factors and hcf. Highest common. Maths Factor Ks3.
From www.bbc.co.uk
Rewrite expressions by taking out common factors KS3 Maths BBC Maths Factor Ks3 A simple worksheet for ks3 maths on finding the factors, multiples, highest common factors and lowest common multiples of numbers by listing. Divisibility tests can help identify factors of a number. Lesson on factors and hcf. What is a factor and what is a multiple? The highest common factor of two numbers can be found by comparing the prime. Learn. Maths Factor Ks3.
From www.bbc.co.uk
Rewrite expressions by taking out common factors KS3 Maths BBC Maths Factor Ks3 Using factors pairs it is possible to systematically find all the factors. Common factors can be found by comparing the products of their primes. What is a factor and what is a multiple? Use the concepts and vocabulary of factors and multiples. A lesson on lcm and hcf with multiples and factors starter. Lesson on factors and hcf. Use the. Maths Factor Ks3.
From www.cazoommaths.com
Highest Common Factor Worksheet Printable Maths Worksheets Maths Factor Ks3 Use the concepts and vocabulary of factors and multiples. Using factors pairs it is possible to systematically find all the factors. A lesson on lcm and hcf with multiples and factors starter. Lesson on primes and pfd. Highest common factors and prime factors. Lesson on factors and hcf. Learn how to work out the factors of a number using a. Maths Factor Ks3.
From www.bbc.co.uk
Rewrite expressions by taking out common factors KS3 Maths BBC Maths Factor Ks3 A lesson on lcm and hcf with multiples and factors starter. What is a factor and what is a multiple? Lesson on primes and pfd. Lesson on factors and hcf. The highest common factor of two numbers can be found by comparing the prime. Using factors pairs it is possible to systematically find all the factors. Divisibility tests can help. Maths Factor Ks3.
From timestablesworksheets.com
Factors Multiples And Primes Worksheet Ks3 With Answers Free Printable Maths Factor Ks3 Highest common factors and prime factors. What is a factor and what is a multiple? Find all the factor pairs for a number. The highest common factor of two numbers can be found by comparing the prime. Use the concepts and vocabulary of factors and multiples. Learn how to work out the factors of a number using a diagrammatic representation. Maths Factor Ks3.
From timestablesworksheets.com
Factors Multiples And Primes Worksheet Ks3 With Answers Free Printable Maths Factor Ks3 A simple worksheet for ks3 maths on finding the factors, multiples, highest common factors and lowest common multiples of numbers by listing. Use the concepts and vocabulary of factors and multiples. The highest common factor of two numbers can be found by comparing the prime. Divisibility tests can help identify factors of a number. Learn how to work out the. Maths Factor Ks3.
From lessonlistnickelise.z13.web.core.windows.net
Math Factors Worksheet 3rd Grade Maths Factor Ks3 Find all the factor pairs for a number. The highest common factor of two numbers can be found by comparing the prime. Using factors pairs it is possible to systematically find all the factors. A lesson on lcm and hcf with multiples and factors starter. Divisibility tests can help identify factors of a number. What is a factor and what. Maths Factor Ks3.
From www.mathssupport.org
Maths KS3 1.03.1 Prime factors Math Support Maths Factor Ks3 Highest common factors and prime factors. Find all the factor pairs for a number in this. What is a factor and what is a multiple? Learn how to work out the factors of a number using a diagrammatic representation and factor trees in this ks3 maths study guide from bbc. Lesson on factors and hcf. Lesson on primes and pfd.. Maths Factor Ks3.
From www.teachit.co.uk
Factors and multiples simple worksheet KS3 maths HCF, LCM Teachit Maths Factor Ks3 A simple worksheet for ks3 maths on finding the factors, multiples, highest common factors and lowest common multiples of numbers by listing. Use the concepts and vocabulary of factors and multiples. Highest common factors and prime factors. The highest common factor of two numbers can be found by comparing the prime. Learn how to work out the factors of a. Maths Factor Ks3.
From www.bbc.co.uk
Rewrite expressions by taking out common factors KS3 Maths BBC Maths Factor Ks3 Divisibility tests can help identify factors of a number. Lesson on primes and pfd. Highest common factors and prime factors. Common factors can be found by comparing the products of their primes. Learn how to work out the factors of a number using a diagrammatic representation and factor trees in this ks3 maths study guide from bbc. The highest common. Maths Factor Ks3.
From www.tes.com
KS3 Maths Mental Starters Number Factors, Multiples, Primes Maths Factor Ks3 Common factors can be found by comparing the products of their primes. Find all the factor pairs for a number. A simple worksheet for ks3 maths on finding the factors, multiples, highest common factors and lowest common multiples of numbers by listing. Lesson on primes and pfd. What is a factor and what is a multiple? A lesson on lcm. Maths Factor Ks3.
From www.teachwire.net
KS3 Maths Factors and HCF Worksheet Teachwire Maths Factor Ks3 Learn how to work out the factors of a number using a diagrammatic representation and factor trees in this ks3 maths study guide from bbc. Use the concepts and vocabulary of factors and multiples. What is a factor and what is a multiple? Use the concepts and vocabulary of factors and multiples. Highest common factors and prime factors. A simple. Maths Factor Ks3.
From www.teachit.co.uk
HCF and LCM notes and example KS34 maths Teachit Maths Factor Ks3 A lesson on lcm and hcf with multiples and factors starter. Find all the factor pairs for a number. Highest common factors and prime factors. The highest common factor of two numbers can be found by comparing the prime. Using factors pairs it is possible to systematically find all the factors. Lesson on factors and hcf. Lesson on primes and. Maths Factor Ks3.
From www.tes.com
Factors and Multiples Calculation Climber Worksheet for KS3 Teaching Maths Factor Ks3 Lesson on primes and pfd. Divisibility tests can help identify factors of a number. Using factors pairs it is possible to systematically find all the factors. Use the concepts and vocabulary of factors and multiples. Find all the factor pairs for a number in this. Highest common factors and prime factors. Common factors can be found by comparing the products. Maths Factor Ks3.
From www.bbc.co.uk
Rewrite expressions by taking out common factors KS3 Maths BBC Maths Factor Ks3 Using factors pairs it is possible to systematically find all the factors. Use the concepts and vocabulary of factors and multiples. The highest common factor of two numbers can be found by comparing the prime. Find all the factor pairs for a number. A simple worksheet for ks3 maths on finding the factors, multiples, highest common factors and lowest common. Maths Factor Ks3.
From www.bbc.co.uk
Rewrite expressions by taking out common factors KS3 Maths BBC Maths Factor Ks3 Lesson on primes and pfd. Learn how to work out the factors of a number using a diagrammatic representation and factor trees in this ks3 maths study guide from bbc. What is a factor and what is a multiple? Use the concepts and vocabulary of factors and multiples. Divisibility tests can help identify factors of a number. Use the concepts. Maths Factor Ks3.
From www.cuemath.com
Factors How to Find Factors of a Number? Definition, Examples Maths Factor Ks3 Use the concepts and vocabulary of factors and multiples. Learn how to work out the factors of a number using a diagrammatic representation and factor trees in this ks3 maths study guide from bbc. Use the concepts and vocabulary of factors and multiples. Common factors can be found by comparing the products of their primes. Highest common factors and prime. Maths Factor Ks3.
From timestablesworksheets.com
Factors Multiples And Primes Worksheet Ks3 With Answers Free Printable Maths Factor Ks3 A simple worksheet for ks3 maths on finding the factors, multiples, highest common factors and lowest common multiples of numbers by listing. Divisibility tests can help identify factors of a number. Use the concepts and vocabulary of factors and multiples. Highest common factors and prime factors. Lesson on primes and pfd. Common factors can be found by comparing the products. Maths Factor Ks3.
From www.bbc.co.uk
Rewrite expressions by taking out common factors KS3 Maths BBC Maths Factor Ks3 Find all the factor pairs for a number in this. Common factors can be found by comparing the products of their primes. A simple worksheet for ks3 maths on finding the factors, multiples, highest common factors and lowest common multiples of numbers by listing. Using factors pairs it is possible to systematically find all the factors. The highest common factor. Maths Factor Ks3.
From www.pinterest.co.uk
Suitable for KS3 or KS4. Teach your students how to factorise into Maths Factor Ks3 Lesson on primes and pfd. Using factors pairs it is possible to systematically find all the factors. Use the concepts and vocabulary of factors and multiples. Highest common factors and prime factors. Lesson on factors and hcf. Divisibility tests can help identify factors of a number. A simple worksheet for ks3 maths on finding the factors, multiples, highest common factors. Maths Factor Ks3.
From www.bol.com
Secondary School ‘KS3 (Key Stage 3) Maths Factors, Prime Numbers Maths Factor Ks3 Use the concepts and vocabulary of factors and multiples. A simple worksheet for ks3 maths on finding the factors, multiples, highest common factors and lowest common multiples of numbers by listing. Learn how to work out the factors of a number using a diagrammatic representation and factor trees in this ks3 maths study guide from bbc. The highest common factor. Maths Factor Ks3.
From www.teachit.co.uk
Factor frenzy game KS3 Maths worksheet Teachit Maths Factor Ks3 Using factors pairs it is possible to systematically find all the factors. Divisibility tests can help identify factors of a number. Learn how to work out the factors of a number using a diagrammatic representation and factor trees in this ks3 maths study guide from bbc. Use the concepts and vocabulary of factors and multiples. Highest common factors and prime. Maths Factor Ks3.
From www.teachit.co.uk
Further factor properties KS34 maths Teachit Maths Factor Ks3 What is a factor and what is a multiple? Use the concepts and vocabulary of factors and multiples. Find all the factor pairs for a number. Highest common factors and prime factors. Common factors can be found by comparing the products of their primes. The highest common factor of two numbers can be found by comparing the prime. Lesson on. Maths Factor Ks3.
From worksheets.clipart-library.com
Factors and multiples simple worksheet KS3 maths HCF, LCM Maths Factor Ks3 Common factors can be found by comparing the products of their primes. Learn how to work out the factors of a number using a diagrammatic representation and factor trees in this ks3 maths study guide from bbc. Lesson on factors and hcf. Using factors pairs it is possible to systematically find all the factors. Use the concepts and vocabulary of. Maths Factor Ks3.
From www.youtube.com
KS3 Maths Product of Prime Factors YouTube Maths Factor Ks3 Find all the factor pairs for a number in this. What is a factor and what is a multiple? Learn how to work out the factors of a number using a diagrammatic representation and factor trees in this ks3 maths study guide from bbc. Use the concepts and vocabulary of factors and multiples. A simple worksheet for ks3 maths on. Maths Factor Ks3.
From www.bbc.co.uk
Rewrite expressions by taking out common factors KS3 Maths BBC Maths Factor Ks3 Use the concepts and vocabulary of factors and multiples. A lesson on lcm and hcf with multiples and factors starter. Lesson on primes and pfd. Use the concepts and vocabulary of factors and multiples. Find all the factor pairs for a number. A simple worksheet for ks3 maths on finding the factors, multiples, highest common factors and lowest common multiples. Maths Factor Ks3.