Emergency Drill Procedure Pdf . A preferred method for reporting fires and other emergencies; It helps streamline emergency procedures and business contingency plans, while also evaluating equipment readiness. An evacuation policy and procedure;. A fire drill checklist is used by safety coordinators to ensure that emergency evacuation procedures are established and prepared before the scheduled drill. Special procedures are needed for emergencies such as serious injuries, explosion, flood, poisoning, electrocution, fire, release of. Fire routine and evacuation drill procedure ensuring personnel know location of fire alarm points. Staff should ensure that they are familiar with these. Ensuring regular use of primary and. Fire and emergency drill and regular building inspection are effective ways to enhance preparedness for response and prevent. This document details the fire and emergency evacuation procedures for the premises. At a minimum, your emergency action plan must include the following:
from douglasbaseball.com
It helps streamline emergency procedures and business contingency plans, while also evaluating equipment readiness. An evacuation policy and procedure;. A preferred method for reporting fires and other emergencies; Fire routine and evacuation drill procedure ensuring personnel know location of fire alarm points. This document details the fire and emergency evacuation procedures for the premises. Ensuring regular use of primary and. A fire drill checklist is used by safety coordinators to ensure that emergency evacuation procedures are established and prepared before the scheduled drill. Fire and emergency drill and regular building inspection are effective ways to enhance preparedness for response and prevent. Special procedures are needed for emergencies such as serious injuries, explosion, flood, poisoning, electrocution, fire, release of. At a minimum, your emergency action plan must include the following:
Emergency Drill Report Template
Emergency Drill Procedure Pdf Ensuring regular use of primary and. An evacuation policy and procedure;. Fire routine and evacuation drill procedure ensuring personnel know location of fire alarm points. At a minimum, your emergency action plan must include the following: It helps streamline emergency procedures and business contingency plans, while also evaluating equipment readiness. This document details the fire and emergency evacuation procedures for the premises. Special procedures are needed for emergencies such as serious injuries, explosion, flood, poisoning, electrocution, fire, release of. A fire drill checklist is used by safety coordinators to ensure that emergency evacuation procedures are established and prepared before the scheduled drill. A preferred method for reporting fires and other emergencies; Staff should ensure that they are familiar with these. Ensuring regular use of primary and. Fire and emergency drill and regular building inspection are effective ways to enhance preparedness for response and prevent.
From www.bend.k12.or.us
BendLa Pine Schools Emergency Preparedness Emergency Drill Procedure Pdf At a minimum, your emergency action plan must include the following: An evacuation policy and procedure;. This document details the fire and emergency evacuation procedures for the premises. Special procedures are needed for emergencies such as serious injuries, explosion, flood, poisoning, electrocution, fire, release of. It helps streamline emergency procedures and business contingency plans, while also evaluating equipment readiness. Ensuring. Emergency Drill Procedure Pdf.
From douglasbaseball.com
Emergency Drill Report Template Emergency Drill Procedure Pdf Fire and emergency drill and regular building inspection are effective ways to enhance preparedness for response and prevent. A fire drill checklist is used by safety coordinators to ensure that emergency evacuation procedures are established and prepared before the scheduled drill. Fire routine and evacuation drill procedure ensuring personnel know location of fire alarm points. This document details the fire. Emergency Drill Procedure Pdf.
From www.pinterest.com
Fire drills, escape routes and safety plans Fire safety checklist Emergency Drill Procedure Pdf Staff should ensure that they are familiar with these. Ensuring regular use of primary and. A preferred method for reporting fires and other emergencies; This document details the fire and emergency evacuation procedures for the premises. It helps streamline emergency procedures and business contingency plans, while also evaluating equipment readiness. Special procedures are needed for emergencies such as serious injuries,. Emergency Drill Procedure Pdf.
From www.owlquest.com
School Emergency Drill Procedures for Elementary and Special Education Emergency Drill Procedure Pdf Staff should ensure that they are familiar with these. An evacuation policy and procedure;. It helps streamline emergency procedures and business contingency plans, while also evaluating equipment readiness. A fire drill checklist is used by safety coordinators to ensure that emergency evacuation procedures are established and prepared before the scheduled drill. Ensuring regular use of primary and. Fire and emergency. Emergency Drill Procedure Pdf.
From www.slideserve.com
PPT Emergency Evacuation Planning PowerPoint Presentation, free Emergency Drill Procedure Pdf Staff should ensure that they are familiar with these. Fire and emergency drill and regular building inspection are effective ways to enhance preparedness for response and prevent. Fire routine and evacuation drill procedure ensuring personnel know location of fire alarm points. This document details the fire and emergency evacuation procedures for the premises. It helps streamline emergency procedures and business. Emergency Drill Procedure Pdf.
From studylib.net
EMERGENCY PREPAREDNESS DRILL Emergency Drill Procedure Pdf A preferred method for reporting fires and other emergencies; This document details the fire and emergency evacuation procedures for the premises. It helps streamline emergency procedures and business contingency plans, while also evaluating equipment readiness. A fire drill checklist is used by safety coordinators to ensure that emergency evacuation procedures are established and prepared before the scheduled drill. Staff should. Emergency Drill Procedure Pdf.
From www.scribd.com
Drill Scenario Directed Emergency Activities As Per PT SMOE Emergency Emergency Drill Procedure Pdf At a minimum, your emergency action plan must include the following: An evacuation policy and procedure;. Fire and emergency drill and regular building inspection are effective ways to enhance preparedness for response and prevent. A fire drill checklist is used by safety coordinators to ensure that emergency evacuation procedures are established and prepared before the scheduled drill. Special procedures are. Emergency Drill Procedure Pdf.
From www.imca-int.com
DP Emergency Drill Scenario IMCA Emergency Drill Procedure Pdf Special procedures are needed for emergencies such as serious injuries, explosion, flood, poisoning, electrocution, fire, release of. An evacuation policy and procedure;. It helps streamline emergency procedures and business contingency plans, while also evaluating equipment readiness. Fire routine and evacuation drill procedure ensuring personnel know location of fire alarm points. Fire and emergency drill and regular building inspection are effective. Emergency Drill Procedure Pdf.
From www.alertmedia.com
How to Conduct a Fire Drill Procedure [+ PLAN TEMPLATE] Emergency Drill Procedure Pdf An evacuation policy and procedure;. It helps streamline emergency procedures and business contingency plans, while also evaluating equipment readiness. A fire drill checklist is used by safety coordinators to ensure that emergency evacuation procedures are established and prepared before the scheduled drill. Fire routine and evacuation drill procedure ensuring personnel know location of fire alarm points. At a minimum, your. Emergency Drill Procedure Pdf.
From templates.rjuuc.edu.np
Fire Drill Procedure Template Emergency Drill Procedure Pdf Fire routine and evacuation drill procedure ensuring personnel know location of fire alarm points. This document details the fire and emergency evacuation procedures for the premises. Fire and emergency drill and regular building inspection are effective ways to enhance preparedness for response and prevent. Ensuring regular use of primary and. Staff should ensure that they are familiar with these. A. Emergency Drill Procedure Pdf.
From havrion.com
School Emergency Drills Training Tips Havrion Emergency Drill Procedure Pdf Special procedures are needed for emergencies such as serious injuries, explosion, flood, poisoning, electrocution, fire, release of. A preferred method for reporting fires and other emergencies; Fire and emergency drill and regular building inspection are effective ways to enhance preparedness for response and prevent. Fire routine and evacuation drill procedure ensuring personnel know location of fire alarm points. Staff should. Emergency Drill Procedure Pdf.
From www.inpaspages.com
Fire drill and evacuation management system Safety requirement Emergency Drill Procedure Pdf At a minimum, your emergency action plan must include the following: A fire drill checklist is used by safety coordinators to ensure that emergency evacuation procedures are established and prepared before the scheduled drill. This document details the fire and emergency evacuation procedures for the premises. Ensuring regular use of primary and. It helps streamline emergency procedures and business contingency. Emergency Drill Procedure Pdf.
From www.bps101.net
Emergency Plan BPS101 Emergency Drill Procedure Pdf Fire routine and evacuation drill procedure ensuring personnel know location of fire alarm points. A fire drill checklist is used by safety coordinators to ensure that emergency evacuation procedures are established and prepared before the scheduled drill. At a minimum, your emergency action plan must include the following: Ensuring regular use of primary and. Staff should ensure that they are. Emergency Drill Procedure Pdf.
From www.scribd.com
Emergency DrillObserver Checklist PDF Emergency Drill Procedure Pdf Special procedures are needed for emergencies such as serious injuries, explosion, flood, poisoning, electrocution, fire, release of. An evacuation policy and procedure;. This document details the fire and emergency evacuation procedures for the premises. Ensuring regular use of primary and. A fire drill checklist is used by safety coordinators to ensure that emergency evacuation procedures are established and prepared before. Emergency Drill Procedure Pdf.
From www.scribd.com
V1 FWE SWP F03 Emergency Drill Procedures Emergency Management Emergency Drill Procedure Pdf A fire drill checklist is used by safety coordinators to ensure that emergency evacuation procedures are established and prepared before the scheduled drill. An evacuation policy and procedure;. At a minimum, your emergency action plan must include the following: Special procedures are needed for emergencies such as serious injuries, explosion, flood, poisoning, electrocution, fire, release of. Fire routine and evacuation. Emergency Drill Procedure Pdf.
From www.youtube.com
Fire Drill Types of Fire Drill How To Conduct Fire Drill Emergency Drill Procedure Pdf An evacuation policy and procedure;. Staff should ensure that they are familiar with these. Special procedures are needed for emergencies such as serious injuries, explosion, flood, poisoning, electrocution, fire, release of. Fire routine and evacuation drill procedure ensuring personnel know location of fire alarm points. At a minimum, your emergency action plan must include the following: A fire drill checklist. Emergency Drill Procedure Pdf.
From ovrah.com
Emergency Drill Report Template Emergency Drill Procedure Pdf An evacuation policy and procedure;. Staff should ensure that they are familiar with these. Fire routine and evacuation drill procedure ensuring personnel know location of fire alarm points. A preferred method for reporting fires and other emergencies; This document details the fire and emergency evacuation procedures for the premises. A fire drill checklist is used by safety coordinators to ensure. Emergency Drill Procedure Pdf.
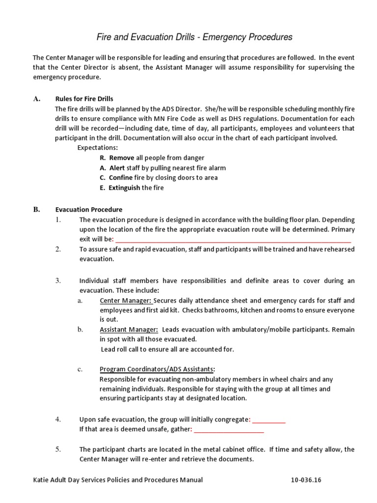
From www.scribd.com
10036.16 Fire Evac Emergency Drill Procedures Emergency Evacuation Emergency Drill Procedure Pdf At a minimum, your emergency action plan must include the following: Special procedures are needed for emergencies such as serious injuries, explosion, flood, poisoning, electrocution, fire, release of. This document details the fire and emergency evacuation procedures for the premises. Ensuring regular use of primary and. Staff should ensure that they are familiar with these. It helps streamline emergency procedures. Emergency Drill Procedure Pdf.
From uvaemergency.virginia.edu
For Faculty and Staff Emergency Management, U.Va. Emergency Drill Procedure Pdf Fire and emergency drill and regular building inspection are effective ways to enhance preparedness for response and prevent. At a minimum, your emergency action plan must include the following: This document details the fire and emergency evacuation procedures for the premises. Staff should ensure that they are familiar with these. Fire routine and evacuation drill procedure ensuring personnel know location. Emergency Drill Procedure Pdf.
From www.scribd.com
Emergency Drills and Exercises PDF Emergency Management Emergency Emergency Drill Procedure Pdf A preferred method for reporting fires and other emergencies; Staff should ensure that they are familiar with these. Fire and emergency drill and regular building inspection are effective ways to enhance preparedness for response and prevent. It helps streamline emergency procedures and business contingency plans, while also evaluating equipment readiness. A fire drill checklist is used by safety coordinators to. Emergency Drill Procedure Pdf.
From www.scribd.com
Scenario Base Emergency Drill Public Safety Safety Emergency Drill Procedure Pdf This document details the fire and emergency evacuation procedures for the premises. Fire and emergency drill and regular building inspection are effective ways to enhance preparedness for response and prevent. A fire drill checklist is used by safety coordinators to ensure that emergency evacuation procedures are established and prepared before the scheduled drill. An evacuation policy and procedure;. Fire routine. Emergency Drill Procedure Pdf.
From www.alertmedia.com
The Complete Guide to Fire Safety in 2024 AlertMedia Emergency Drill Procedure Pdf At a minimum, your emergency action plan must include the following: This document details the fire and emergency evacuation procedures for the premises. An evacuation policy and procedure;. Special procedures are needed for emergencies such as serious injuries, explosion, flood, poisoning, electrocution, fire, release of. It helps streamline emergency procedures and business contingency plans, while also evaluating equipment readiness. Ensuring. Emergency Drill Procedure Pdf.
From www.rrp.com.au
Evacuation Drill Report Checklist The safety, wellbeing & rehab experts Emergency Drill Procedure Pdf Ensuring regular use of primary and. Special procedures are needed for emergencies such as serious injuries, explosion, flood, poisoning, electrocution, fire, release of. Staff should ensure that they are familiar with these. It helps streamline emergency procedures and business contingency plans, while also evaluating equipment readiness. At a minimum, your emergency action plan must include the following: An evacuation policy. Emergency Drill Procedure Pdf.
From www.youtube.com
Emergency Evacuation Procedure Emergency Evacuation Evacuation Emergency Drill Procedure Pdf Ensuring regular use of primary and. Fire and emergency drill and regular building inspection are effective ways to enhance preparedness for response and prevent. It helps streamline emergency procedures and business contingency plans, while also evaluating equipment readiness. An evacuation policy and procedure;. Special procedures are needed for emergencies such as serious injuries, explosion, flood, poisoning, electrocution, fire, release of.. Emergency Drill Procedure Pdf.
From www.pps.net
Emergency Drills / Emergency Drills Information Emergency Drill Procedure Pdf This document details the fire and emergency evacuation procedures for the premises. Ensuring regular use of primary and. Staff should ensure that they are familiar with these. An evacuation policy and procedure;. A preferred method for reporting fires and other emergencies; Fire and emergency drill and regular building inspection are effective ways to enhance preparedness for response and prevent. At. Emergency Drill Procedure Pdf.
From www.scribd.com
Fire Drill & Emergency Evacuation Procedure Firefighting Emergency Emergency Drill Procedure Pdf A fire drill checklist is used by safety coordinators to ensure that emergency evacuation procedures are established and prepared before the scheduled drill. Fire and emergency drill and regular building inspection are effective ways to enhance preparedness for response and prevent. This document details the fire and emergency evacuation procedures for the premises. At a minimum, your emergency action plan. Emergency Drill Procedure Pdf.
From ehs.washington.edu
Workplace EHS Emergency Drill Procedure Pdf Ensuring regular use of primary and. A preferred method for reporting fires and other emergencies; Fire routine and evacuation drill procedure ensuring personnel know location of fire alarm points. This document details the fire and emergency evacuation procedures for the premises. A fire drill checklist is used by safety coordinators to ensure that emergency evacuation procedures are established and prepared. Emergency Drill Procedure Pdf.
From www.ojassafety.com
Emergency Evacuation Drill Training Services in Navi Mumbai,Maharashtra Emergency Drill Procedure Pdf An evacuation policy and procedure;. A preferred method for reporting fires and other emergencies; Fire routine and evacuation drill procedure ensuring personnel know location of fire alarm points. Ensuring regular use of primary and. At a minimum, your emergency action plan must include the following: A fire drill checklist is used by safety coordinators to ensure that emergency evacuation procedures. Emergency Drill Procedure Pdf.
From bestprofessionaltemplate.blogspot.com
Fire Evacuation Drill Report Template Emergency Drill Procedure Pdf Fire routine and evacuation drill procedure ensuring personnel know location of fire alarm points. Fire and emergency drill and regular building inspection are effective ways to enhance preparedness for response and prevent. This document details the fire and emergency evacuation procedures for the premises. A preferred method for reporting fires and other emergencies; At a minimum, your emergency action plan. Emergency Drill Procedure Pdf.
From www.scribd.com
Mock Drill Format Emergency Management Public Safety Emergency Drill Procedure Pdf Staff should ensure that they are familiar with these. A preferred method for reporting fires and other emergencies; It helps streamline emergency procedures and business contingency plans, while also evaluating equipment readiness. Ensuring regular use of primary and. At a minimum, your emergency action plan must include the following: Fire routine and evacuation drill procedure ensuring personnel know location of. Emergency Drill Procedure Pdf.
From www.slideteam.net
Procedure For Conducting Emergency Evacuation Drill At Workplace PPT Emergency Drill Procedure Pdf Staff should ensure that they are familiar with these. An evacuation policy and procedure;. At a minimum, your emergency action plan must include the following: Fire and emergency drill and regular building inspection are effective ways to enhance preparedness for response and prevent. Ensuring regular use of primary and. Special procedures are needed for emergencies such as serious injuries, explosion,. Emergency Drill Procedure Pdf.
From www.hsedocuments.com
Evacuation Drills Procedure and Emergency Evacuation Report Form Emergency Drill Procedure Pdf Fire routine and evacuation drill procedure ensuring personnel know location of fire alarm points. At a minimum, your emergency action plan must include the following: An evacuation policy and procedure;. A preferred method for reporting fires and other emergencies; Ensuring regular use of primary and. A fire drill checklist is used by safety coordinators to ensure that emergency evacuation procedures. Emergency Drill Procedure Pdf.
From www.pinterest.com.au
Look at some of the fire safety drill. Check the standard fire orders Emergency Drill Procedure Pdf Ensuring regular use of primary and. Staff should ensure that they are familiar with these. At a minimum, your emergency action plan must include the following: Fire routine and evacuation drill procedure ensuring personnel know location of fire alarm points. It helps streamline emergency procedures and business contingency plans, while also evaluating equipment readiness. This document details the fire and. Emergency Drill Procedure Pdf.
From douglasbaseball.com
Emergency Drill Report Template Emergency Drill Procedure Pdf This document details the fire and emergency evacuation procedures for the premises. Fire routine and evacuation drill procedure ensuring personnel know location of fire alarm points. A preferred method for reporting fires and other emergencies; At a minimum, your emergency action plan must include the following: Staff should ensure that they are familiar with these. Ensuring regular use of primary. Emergency Drill Procedure Pdf.
From www.pinterest.com
In the photo of today, the reader will be familiar with the importance Emergency Drill Procedure Pdf Fire and emergency drill and regular building inspection are effective ways to enhance preparedness for response and prevent. Staff should ensure that they are familiar with these. A preferred method for reporting fires and other emergencies; This document details the fire and emergency evacuation procedures for the premises. It helps streamline emergency procedures and business contingency plans, while also evaluating. Emergency Drill Procedure Pdf.