What Is Appearance Bond . Sign an unsecured appearance bond. An appearance bond is a document that is filed by a lawyer to remove warrants that have been issued by the court for those cases going past their appearance date. But what is an appearance bond? Appearance bond means a bond certificate issued by a surety which guarantees the appearance of a defendant in the eighteenth judicial district at. The most basic definition of an appearance bond is money you pay to get out of jail under a promise that you will appear in court at your. An appearance bond simply guarantees the appearance of the defendant at. With an unsecured appearance bond, the defendant is released upon his or her promise to appear in court. The defendant can be ordered to pay a specific sum of money to the court if he or she fails to appear. For example, the word “bond” simply means to promise. The document is literally self described. What is an appearance bond? In exploring this topic, the court concluded that the purpose of an appearance bond was not to enrich the public treasury but to serve the.
from beltzlaw.com
The most basic definition of an appearance bond is money you pay to get out of jail under a promise that you will appear in court at your. What is an appearance bond? Appearance bond means a bond certificate issued by a surety which guarantees the appearance of a defendant in the eighteenth judicial district at. The defendant can be ordered to pay a specific sum of money to the court if he or she fails to appear. But what is an appearance bond? An appearance bond simply guarantees the appearance of the defendant at. The document is literally self described. With an unsecured appearance bond, the defendant is released upon his or her promise to appear in court. For example, the word “bond” simply means to promise. Sign an unsecured appearance bond.
What Is An Appearance Bond? How To Remove Warrants For Past Due Tickets
What Is Appearance Bond An appearance bond simply guarantees the appearance of the defendant at. But what is an appearance bond? For example, the word “bond” simply means to promise. Appearance bond means a bond certificate issued by a surety which guarantees the appearance of a defendant in the eighteenth judicial district at. An appearance bond simply guarantees the appearance of the defendant at. An appearance bond is a document that is filed by a lawyer to remove warrants that have been issued by the court for those cases going past their appearance date. The document is literally self described. With an unsecured appearance bond, the defendant is released upon his or her promise to appear in court. In exploring this topic, the court concluded that the purpose of an appearance bond was not to enrich the public treasury but to serve the. Sign an unsecured appearance bond. The defendant can be ordered to pay a specific sum of money to the court if he or she fails to appear. The most basic definition of an appearance bond is money you pay to get out of jail under a promise that you will appear in court at your. What is an appearance bond?
From homeygears.com
What Is An Appearance Bond Homey Gears What Is Appearance Bond Appearance bond means a bond certificate issued by a surety which guarantees the appearance of a defendant in the eighteenth judicial district at. The most basic definition of an appearance bond is money you pay to get out of jail under a promise that you will appear in court at your. But what is an appearance bond? An appearance bond. What Is Appearance Bond.
From www.signnow.com
APPEARANCE BOND Form Fill Out and Sign Printable PDF Template What Is Appearance Bond Sign an unsecured appearance bond. The most basic definition of an appearance bond is money you pay to get out of jail under a promise that you will appear in court at your. An appearance bond simply guarantees the appearance of the defendant at. Appearance bond means a bond certificate issued by a surety which guarantees the appearance of a. What Is Appearance Bond.
From decrypt.co
Who Will Pay Sam BankmanFried's 250 Million Bond? Decrypt What Is Appearance Bond The defendant can be ordered to pay a specific sum of money to the court if he or she fails to appear. For example, the word “bond” simply means to promise. Sign an unsecured appearance bond. But what is an appearance bond? With an unsecured appearance bond, the defendant is released upon his or her promise to appear in court.. What Is Appearance Bond.
From www.formsbank.com
Fillable Appearance Bond For Case Sheet United States District Court What Is Appearance Bond Sign an unsecured appearance bond. For example, the word “bond” simply means to promise. An appearance bond is a document that is filed by a lawyer to remove warrants that have been issued by the court for those cases going past their appearance date. Appearance bond means a bond certificate issued by a surety which guarantees the appearance of a. What Is Appearance Bond.
From www.uslegalforms.com
Kentucky Prosecuting Witness Appearance Bond US Legal Forms What Is Appearance Bond What is an appearance bond? Sign an unsecured appearance bond. The most basic definition of an appearance bond is money you pay to get out of jail under a promise that you will appear in court at your. In exploring this topic, the court concluded that the purpose of an appearance bond was not to enrich the public treasury but. What Is Appearance Bond.
From www.youtube.com
Secured Appearance Bonds Quick Bail YouTube What Is Appearance Bond The document is literally self described. What is an appearance bond? In exploring this topic, the court concluded that the purpose of an appearance bond was not to enrich the public treasury but to serve the. With an unsecured appearance bond, the defendant is released upon his or her promise to appear in court. Sign an unsecured appearance bond. The. What Is Appearance Bond.
From www.signnow.com
Colorado Appearance Bond Complete with ease airSlate SignNow What Is Appearance Bond With an unsecured appearance bond, the defendant is released upon his or her promise to appear in court. The document is literally self described. An appearance bond is a document that is filed by a lawyer to remove warrants that have been issued by the court for those cases going past their appearance date. But what is an appearance bond?. What Is Appearance Bond.
From www.uslegalforms.com
Colorado Appearance Bond What Is An Appearance On Bond Hearing In What Is Appearance Bond The most basic definition of an appearance bond is money you pay to get out of jail under a promise that you will appear in court at your. The document is literally self described. An appearance bond is a document that is filed by a lawyer to remove warrants that have been issued by the court for those cases going. What Is Appearance Bond.
From www.templateroller.com
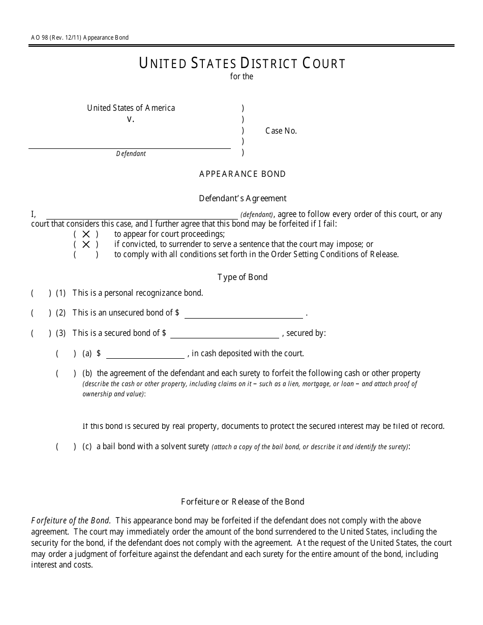
Form AO98 Fill Out, Sign Online and Download Fillable PDF What Is Appearance Bond The most basic definition of an appearance bond is money you pay to get out of jail under a promise that you will appear in court at your. The document is literally self described. Appearance bond means a bond certificate issued by a surety which guarantees the appearance of a defendant in the eighteenth judicial district at. An appearance bond. What Is Appearance Bond.
From www.youtube.com
Bond Basics what are bonds and why are they important? YouTube What Is Appearance Bond An appearance bond is a document that is filed by a lawyer to remove warrants that have been issued by the court for those cases going past their appearance date. In exploring this topic, the court concluded that the purpose of an appearance bond was not to enrich the public treasury but to serve the. What is an appearance bond?. What Is Appearance Bond.
From www.uslegalforms.com
Colorado Appearance Bond What Is An Appearance On Bond Hearing In What Is Appearance Bond An appearance bond is a document that is filed by a lawyer to remove warrants that have been issued by the court for those cases going past their appearance date. Sign an unsecured appearance bond. The most basic definition of an appearance bond is money you pay to get out of jail under a promise that you will appear in. What Is Appearance Bond.
From www.uslegalforms.com
Aurora Colorado Appearance Bond Appearance On Bond US Legal Forms What Is Appearance Bond With an unsecured appearance bond, the defendant is released upon his or her promise to appear in court. The document is literally self described. The most basic definition of an appearance bond is money you pay to get out of jail under a promise that you will appear in court at your. But what is an appearance bond? An appearance. What Is Appearance Bond.
From www.uslegalforms.com
North Carolina Appearance Bond for Pretrial Release Nc Appearance What Is Appearance Bond With an unsecured appearance bond, the defendant is released upon his or her promise to appear in court. The defendant can be ordered to pay a specific sum of money to the court if he or she fails to appear. The most basic definition of an appearance bond is money you pay to get out of jail under a promise. What Is Appearance Bond.
From frankchavezbailbonds.com
Bail Bonds Forms › Required Bail Documents › Palm Beach County What Is Appearance Bond An appearance bond is a document that is filed by a lawyer to remove warrants that have been issued by the court for those cases going past their appearance date. The defendant can be ordered to pay a specific sum of money to the court if he or she fails to appear. Appearance bond means a bond certificate issued by. What Is Appearance Bond.
From www.bondexchange.com
Iowa Personal Representative Bond A Comprehensive Guide What Is Appearance Bond The document is literally self described. An appearance bond simply guarantees the appearance of the defendant at. An appearance bond is a document that is filed by a lawyer to remove warrants that have been issued by the court for those cases going past their appearance date. What is an appearance bond? The most basic definition of an appearance bond. What Is Appearance Bond.
From www.scribd.com
Appearance Bond Bail Judiciaries What Is Appearance Bond What is an appearance bond? The defendant can be ordered to pay a specific sum of money to the court if he or she fails to appear. In exploring this topic, the court concluded that the purpose of an appearance bond was not to enrich the public treasury but to serve the. Sign an unsecured appearance bond. The document is. What Is Appearance Bond.
From balboabailbonds.com
The Bail Bond Process Explained Using Infographics San Diego Bail What Is Appearance Bond Sign an unsecured appearance bond. With an unsecured appearance bond, the defendant is released upon his or her promise to appear in court. But what is an appearance bond? In exploring this topic, the court concluded that the purpose of an appearance bond was not to enrich the public treasury but to serve the. An appearance bond simply guarantees the. What Is Appearance Bond.
From www.signnow.com
Appearance Bond Complete with ease airSlate SignNow What Is Appearance Bond With an unsecured appearance bond, the defendant is released upon his or her promise to appear in court. What is an appearance bond? Sign an unsecured appearance bond. Appearance bond means a bond certificate issued by a surety which guarantees the appearance of a defendant in the eighteenth judicial district at. For example, the word “bond” simply means to promise.. What Is Appearance Bond.
From www.uslegalforms.com
Alabama Appearance Bond Signature Bond Alabama US Legal Forms What Is Appearance Bond The most basic definition of an appearance bond is money you pay to get out of jail under a promise that you will appear in court at your. The document is literally self described. For example, the word “bond” simply means to promise. The defendant can be ordered to pay a specific sum of money to the court if he. What Is Appearance Bond.
From www.slideshare.net
Roche Surety and Casualty Company General Appearance Bond What Is Appearance Bond Appearance bond means a bond certificate issued by a surety which guarantees the appearance of a defendant in the eighteenth judicial district at. An appearance bond is a document that is filed by a lawyer to remove warrants that have been issued by the court for those cases going past their appearance date. But what is an appearance bond? The. What Is Appearance Bond.
From www.formsbank.com
Fillable Form Cr10 Consolidated Appearance Bond printable pdf download What Is Appearance Bond Appearance bond means a bond certificate issued by a surety which guarantees the appearance of a defendant in the eighteenth judicial district at. The document is literally self described. An appearance bond is a document that is filed by a lawyer to remove warrants that have been issued by the court for those cases going past their appearance date. Sign. What Is Appearance Bond.
From www.templateroller.com
Form DC31 Download Fillable PDF or Fill Online Appearance Bond What Is Appearance Bond For example, the word “bond” simply means to promise. What is an appearance bond? But what is an appearance bond? Appearance bond means a bond certificate issued by a surety which guarantees the appearance of a defendant in the eighteenth judicial district at. The defendant can be ordered to pay a specific sum of money to the court if he. What Is Appearance Bond.
From www.signnow.com
Appearance Bond Complete with ease airSlate SignNow What Is Appearance Bond With an unsecured appearance bond, the defendant is released upon his or her promise to appear in court. Appearance bond means a bond certificate issued by a surety which guarantees the appearance of a defendant in the eighteenth judicial district at. For example, the word “bond” simply means to promise. The document is literally self described. In exploring this topic,. What Is Appearance Bond.
From www.signnow.com
Appearance Bond Connecticut 20172024 Form Fill Out and Sign What Is Appearance Bond The most basic definition of an appearance bond is money you pay to get out of jail under a promise that you will appear in court at your. For example, the word “bond” simply means to promise. An appearance bond simply guarantees the appearance of the defendant at. But what is an appearance bond? In exploring this topic, the court. What Is Appearance Bond.
From www.uslegalforms.com
Alabama Consolidated Appearance Bond Consolidated Jail Bond US What Is Appearance Bond The most basic definition of an appearance bond is money you pay to get out of jail under a promise that you will appear in court at your. For example, the word “bond” simply means to promise. An appearance bond is a document that is filed by a lawyer to remove warrants that have been issued by the court for. What Is Appearance Bond.
From www.scribd.com
06Trial Appearance Bonds PDF What Is Appearance Bond The document is literally self described. In exploring this topic, the court concluded that the purpose of an appearance bond was not to enrich the public treasury but to serve the. For example, the word “bond” simply means to promise. An appearance bond simply guarantees the appearance of the defendant at. An appearance bond is a document that is filed. What Is Appearance Bond.
From www.uslegalforms.com
Broward Florida Criminal Appearance Bond US Legal Forms What Is Appearance Bond Appearance bond means a bond certificate issued by a surety which guarantees the appearance of a defendant in the eighteenth judicial district at. With an unsecured appearance bond, the defendant is released upon his or her promise to appear in court. What is an appearance bond? In exploring this topic, the court concluded that the purpose of an appearance bond. What Is Appearance Bond.
From owensbonding.com
What is an Appearance Bond? Owens Bonding Co. What Is Appearance Bond Appearance bond means a bond certificate issued by a surety which guarantees the appearance of a defendant in the eighteenth judicial district at. An appearance bond simply guarantees the appearance of the defendant at. For example, the word “bond” simply means to promise. An appearance bond is a document that is filed by a lawyer to remove warrants that have. What Is Appearance Bond.
From www.ocbaacp.org
Samples of Bail Bonds Onondaga County Bar Association Assigned What Is Appearance Bond But what is an appearance bond? The defendant can be ordered to pay a specific sum of money to the court if he or she fails to appear. For example, the word “bond” simply means to promise. Sign an unsecured appearance bond. The most basic definition of an appearance bond is money you pay to get out of jail under. What Is Appearance Bond.
From www.techopedia.com
What is a Bond? Definition, Types & How to Invest What Is Appearance Bond The document is literally self described. Sign an unsecured appearance bond. The defendant can be ordered to pay a specific sum of money to the court if he or she fails to appear. What is an appearance bond? With an unsecured appearance bond, the defendant is released upon his or her promise to appear in court. Appearance bond means a. What Is Appearance Bond.
From www.uslegalforms.com
Criminal Appearance Bond Appearance Bond US Legal Forms What Is Appearance Bond The most basic definition of an appearance bond is money you pay to get out of jail under a promise that you will appear in court at your. In exploring this topic, the court concluded that the purpose of an appearance bond was not to enrich the public treasury but to serve the. With an unsecured appearance bond, the defendant. What Is Appearance Bond.
From www.abc-bailbonds.com
Appearance Bond Experts Houston Bail Bonds What Is Appearance Bond Sign an unsecured appearance bond. In exploring this topic, the court concluded that the purpose of an appearance bond was not to enrich the public treasury but to serve the. With an unsecured appearance bond, the defendant is released upon his or her promise to appear in court. The document is literally self described. Appearance bond means a bond certificate. What Is Appearance Bond.
From www.open.edu
Diffusion bonding (SPF/DB or form bonding) OpenLearn Open University What Is Appearance Bond The defendant can be ordered to pay a specific sum of money to the court if he or she fails to appear. The most basic definition of an appearance bond is money you pay to get out of jail under a promise that you will appear in court at your. What is an appearance bond? An appearance bond simply guarantees. What Is Appearance Bond.
From www.templateroller.com
Form CC131.1 Download Fillable PDF or Fill Online Appearance Bond With What Is Appearance Bond An appearance bond is a document that is filed by a lawyer to remove warrants that have been issued by the court for those cases going past their appearance date. What is an appearance bond? Appearance bond means a bond certificate issued by a surety which guarantees the appearance of a defendant in the eighteenth judicial district at. The document. What Is Appearance Bond.
From beltzlaw.com
What Is An Appearance Bond? How To Remove Warrants For Past Due Tickets What Is Appearance Bond Appearance bond means a bond certificate issued by a surety which guarantees the appearance of a defendant in the eighteenth judicial district at. An appearance bond is a document that is filed by a lawyer to remove warrants that have been issued by the court for those cases going past their appearance date. In exploring this topic, the court concluded. What Is Appearance Bond.