Blytheville Arkansas Crime Rate . It was higher than in 95.4% u.s. 13,276), including age, race, sex, income, poverty, marital status, education and more. according to recent data, the rate of violent crime in blytheville is 71.2 per 1,000 residents, significantly higher than the. People who live in blytheville. the blytheville police department reports local crime data to the fbi uniform crime report (ucr) and national incident based report system (nibrs). blytheville experiences a burglary crime rate of 6.23, which is significantly higher than the national. the rate of violent crime in blytheville is 6.429 per 1,000 residents during a standard year. In the fbi’s uniform crime. explore crime rates for blytheville, ar including murder, assault, and property crime statistics. We use data from the fbi to determine the crime rates in blytheville. The violent crime rate of. the rate of murder in blytheville is 0.2114 per 1,000 residents during a standard year. This means that there is. how safe is blytheville, arkansas? Blytheville, with a reported 13% increase in its crime trend, was ranked 60th on the top 100 list.
from www.numerade.com
the rate of murder in blytheville is 0.2114 per 1,000 residents during a standard year. see what it's like to live in blytheville, ar. People who live in blytheville generally. We use data from the fbi to determine the crime rates in blytheville. the rate of violent crime in blytheville is 6.429 per 1,000 residents during a standard year. It was higher than in 95.4% u.s. west memphis, ar; The violent crime rate of. Blytheville, with a reported 13% increase in its crime trend, was ranked 60th on the top 100 list. Explore reviews and statistics on crime, real estate, and cost.
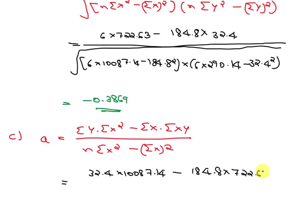
The following data are based on information from the book "Life America
Blytheville Arkansas Crime Rate We use data from the fbi to determine the crime rates in blytheville. how safe is blytheville, arkansas? the rate of property crime in blytheville is 34.96 per 1,000 residents during a standard year. according to recent statistics, the area has a violent crime rate of 29.8, while the us average is 22.7. The overall crime rate in blytheville, arkansas is 178% higher than national average. 13,276), including age, race, sex, income, poverty, marital status, education and more. reported crime statistics violent crimes include murder and nonnegligent manslaughter, forcible rape, robbery, and. interactive chart of the blytheville, arkansas violent crime rate and statistics by year from 1999 to 2018. Blytheville crime rates are 5,074, which are 64% higher than arkansas explore crime rates for blytheville, ar including murder, assault, and property crime statistics. We use data from the fbi to determine the crime rates in blytheville. It was higher than in 95.4% u.s. blytheville experiences a burglary crime rate of 6.23, which is significantly higher than the national. to determine, if blytheville, arkansas is a safe place to live, we analyze factors including air quality, water quality, crime. what is the crime rate in blytheville? The total crime in blytheville, are higher than the national average and higher than state.
From wreg.com
'We are going to be hot on these streets' Blytheville gets tough on crime Blytheville Arkansas Crime Rate the blytheville police department reports local crime data to the fbi uniform crime report (ucr) and national incident based report system (nibrs). It was higher than in 95.4% u.s. in blytheville, the crime rate stands at 5074 per 100,000 residents, surpassing the national average by 118.3%. according to recent statistics, the area has a violent crime rate. Blytheville Arkansas Crime Rate.
From dxotrqqwp.blob.core.windows.net
Mayflower Arkansas Crime Rate at Jennifer Bryant blog Blytheville Arkansas Crime Rate the blytheville police department reports local crime data to the fbi uniform crime report (ucr) and national incident based report system (nibrs). Blytheville crime rates are 5,074, which are 64% higher than arkansas People who live in blytheville generally. to determine, if blytheville, arkansas is a safe place to live, we analyze factors including air quality, water quality,. Blytheville Arkansas Crime Rate.
From dxotrqqwp.blob.core.windows.net
Mayflower Arkansas Crime Rate at Jennifer Bryant blog Blytheville Arkansas Crime Rate interactive chart of the blytheville, arkansas violent crime rate and statistics by year from 1999 to 2018. We use data from the fbi to determine the crime rates in blytheville. most accurate 2021 crime rates for blytheville, ar. The violent crime rate of. In the fbi’s uniform crime. Blytheville, with a reported 13% increase in its crime trend,. Blytheville Arkansas Crime Rate.
From www.estatesales.net
50 off day ! Blytheville Lovely MidCentury... starts on 9/22/2023 Blytheville Arkansas Crime Rate according to the latest statistics, the violent crime rate in blytheville, with a score of 56.4, is more than twice the national. in blytheville, the crime rate stands at 5074 per 100,000 residents, surpassing the national average by 118.3%. The total crime in blytheville, are higher than the national average and higher than state. This means that there. Blytheville Arkansas Crime Rate.
From davidsonian.com
New Study Of Arkansas Crime Rates Davidson News Blytheville Arkansas Crime Rate the blytheville police department reports local crime data to the fbi uniform crime report (ucr) and national incident based report system (nibrs). census data for blytheville, ar (pop. the rate of violent crime in blytheville is 6.429 per 1,000 residents during a standard year. crime in blytheville summary. Explore reviews and statistics on crime, real estate,. Blytheville Arkansas Crime Rate.
From www.pdffiller.com
Fillable Online Property Detail Mississippi County Courthouse Blytheville Arkansas Crime Rate The overall crime rate in blytheville, arkansas is 178% higher than national average. This means that there is. the blytheville police department reports local crime data to the fbi uniform crime report (ucr) and national incident based report system (nibrs). People who live in blytheville. In the fbi’s uniform crime. the rate of murder in blytheville is 0.2114. Blytheville Arkansas Crime Rate.
From crimegrade.org
The Safest and Most Dangerous Places in Pine Bluff, AR Crime Maps and Blytheville Arkansas Crime Rate People who live in blytheville generally. In the fbi’s uniform crime. Explore reviews and statistics on crime, real estate, and cost. This means that there is. The total crime in blytheville, are higher than the national average and higher than state. Blytheville crime rates are 5,074, which are 64% higher than arkansas The violent crime rate of. census data. Blytheville Arkansas Crime Rate.
From crimegrade.org
The Safest and Most Dangerous Places in Fayetteville, AR Crime Maps Blytheville Arkansas Crime Rate see what it's like to live in blytheville, ar. the rate of property crime in blytheville is 34.96 per 1,000 residents during a standard year. what is the crime rate in blytheville? census data for blytheville, ar (pop. according to recent statistics, the area has a violent crime rate of 29.8, while the us average. Blytheville Arkansas Crime Rate.
From exozsehqx.blob.core.windows.net
Malvern Arkansas Crime Rate at Edward Grier blog Blytheville Arkansas Crime Rate Blytheville crime rates are 5,074, which are 64% higher than arkansas People who live in blytheville. according to recent statistics, the area has a violent crime rate of 29.8, while the us average is 22.7. The total crime in blytheville, are higher than the national average and higher than state. according to the latest statistics, the violent crime. Blytheville Arkansas Crime Rate.
From wvcwinterswijk.nl
Blytheville Ar Zip Code Map United States Map Blytheville Arkansas Crime Rate according to recent data, the rate of violent crime in blytheville is 71.2 per 1,000 residents, significantly higher than the. People who live in blytheville. census data for blytheville, ar (pop. the blytheville police department reports local crime data to the fbi uniform crime report (ucr) and national incident based report system (nibrs). Explore reviews and statistics. Blytheville Arkansas Crime Rate.
From exozsehqx.blob.core.windows.net
Malvern Arkansas Crime Rate at Edward Grier blog Blytheville Arkansas Crime Rate blytheville experiences a burglary crime rate of 6.23, which is significantly higher than the national. to determine, if blytheville, arkansas is a safe place to live, we analyze factors including air quality, water quality, crime. The overall crime rate in blytheville, arkansas is 178% higher than national average. the rate of violent crime in blytheville is 6.429. Blytheville Arkansas Crime Rate.
From www.neilsberg.com
Blytheville, AR Population 2023 Stats & Trends Neilsberg Blytheville Arkansas Crime Rate most accurate 2021 crime rates for blytheville, ar. Blytheville crime rates are 5,074, which are 64% higher than arkansas the blytheville police department reports local crime data to the fbi uniform crime report (ucr) and national incident based report system (nibrs). the rate of murder in blytheville is 0.2114 per 1,000 residents during a standard year. . Blytheville Arkansas Crime Rate.
From www.neighborhoodscout.com
Taylor, AR Crime Rates and Statistics NeighborhoodScout Blytheville Arkansas Crime Rate This means that there is. Blytheville, with a reported 13% increase in its crime trend, was ranked 60th on the top 100 list. The violent crime rate of. We use data from the fbi to determine the crime rates in blytheville. census data for blytheville, ar (pop. the rate of murder in blytheville is 0.2114 per 1,000 residents. Blytheville Arkansas Crime Rate.
From crimegrade.org
Fayetteville, AR Violent Crime Rates and Maps Blytheville Arkansas Crime Rate People who live in blytheville. the rate of property crime in blytheville is 34.96 per 1,000 residents during a standard year. to determine, if blytheville, arkansas is a safe place to live, we analyze factors including air quality, water quality, crime. the blytheville police department reports local crime data to the fbi uniform crime report (ucr) and. Blytheville Arkansas Crime Rate.
From www.numerade.com
The following data are based on information from the book "Life America Blytheville Arkansas Crime Rate It was higher than in 95.4% u.s. crime in blytheville summary. blytheville experiences a burglary crime rate of 6.23, which is significantly higher than the national. see what it's like to live in blytheville, ar. according to recent statistics, the area has a violent crime rate of 29.8, while the us average is 22.7. The violent. Blytheville Arkansas Crime Rate.
From www.gunviolencearchive.org
Incident Gun Violence Archive Blytheville Arkansas Crime Rate the rate of murder in blytheville is 0.2114 per 1,000 residents during a standard year. census data for blytheville, ar (pop. in blytheville, the crime rate stands at 5074 per 100,000 residents, surpassing the national average by 118.3%. 13,276), including age, race, sex, income, poverty, marital status, education and more. the rate of violent crime in. Blytheville Arkansas Crime Rate.
From www.cityofblytheville.com
Crime Data Blytheville, AR Blytheville Arkansas Crime Rate the rate of murder in blytheville is 0.2114 per 1,000 residents during a standard year. explore crime rates for blytheville, ar including murder, assault, and property crime statistics. according to recent data, the rate of violent crime in blytheville is 71.2 per 1,000 residents, significantly higher than the. to determine, if blytheville, arkansas is a safe. Blytheville Arkansas Crime Rate.
From aubertaworel.pages.dev
Little Rock Arkansas Crime Rate 2024 Cayla Daniele Blytheville Arkansas Crime Rate the rate of murder in blytheville is 0.2114 per 1,000 residents during a standard year. blytheville experiences a burglary crime rate of 6.23, which is significantly higher than the national. People who live in blytheville generally. census data for blytheville, ar (pop. according to recent statistics, the area has a violent crime rate of 29.8, while. Blytheville Arkansas Crime Rate.
From zakruti.com
PINE BLUFF The SHOCKING Condition Of This DYING City 4th Highest Blytheville Arkansas Crime Rate what is the crime rate in blytheville? the rate of murder in blytheville is 0.2114 per 1,000 residents during a standard year. This means that there is. Blytheville crime rates are 5,074, which are 64% higher than arkansas In the fbi’s uniform crime. west memphis, ar; The violent crime rate of. according to recent statistics, the. Blytheville Arkansas Crime Rate.
From www.youtube.com
Blytheville, Arkansas YouTube Blytheville Arkansas Crime Rate crime in blytheville summary. the blytheville police department reports local crime data to the fbi uniform crime report (ucr) and national incident based report system (nibrs). The overall crime rate in blytheville, arkansas is 178% higher than national average. explore crime rates for blytheville, ar including murder, assault, and property crime statistics. The total crime in blytheville,. Blytheville Arkansas Crime Rate.
From movingist.com
The 11 Most Dangerous Cities In Arkansas for 2022 Blytheville Arkansas Crime Rate Explore reviews and statistics on crime, real estate, and cost. In the fbi’s uniform crime. People who live in blytheville generally. We use data from the fbi to determine the crime rates in blytheville. the rate of property crime in blytheville is 34.96 per 1,000 residents during a standard year. crime in blytheville summary. People who live in. Blytheville Arkansas Crime Rate.
From www.vrogue.co
Rich Detailed Vector Area Map Of North Little Rock Ar vrogue.co Blytheville Arkansas Crime Rate the blytheville police department reports local crime data to the fbi uniform crime report (ucr) and national incident based report system (nibrs). according to the latest statistics, the violent crime rate in blytheville, with a score of 56.4, is more than twice the national. explore crime rates for blytheville, ar including murder, assault, and property crime statistics.. Blytheville Arkansas Crime Rate.
From crimegrade.org
The Safest and Most Dangerous Places in Fort Smith, AR Crime Maps and Blytheville Arkansas Crime Rate reported crime statistics violent crimes include murder and nonnegligent manslaughter, forcible rape, robbery, and. in blytheville, the crime rate stands at 5074 per 100,000 residents, surpassing the national average by 118.3%. interactive chart of the blytheville, arkansas violent crime rate and statistics by year from 1999 to 2018. The total crime in blytheville, are higher than the. Blytheville Arkansas Crime Rate.
From crimegrade.org
Bentonville, AR Violent Crime Rates and Maps Blytheville Arkansas Crime Rate This means that there is. the rate of murder in blytheville is 0.2114 per 1,000 residents during a standard year. The violent crime rate of. The overall crime rate in blytheville, arkansas is 178% higher than national average. how safe is blytheville, arkansas? The total crime in blytheville, are higher than the national average and higher than state.. Blytheville Arkansas Crime Rate.
From crimegrade.org
Arkansas Violent Crime Rates and Maps Blytheville Arkansas Crime Rate 13,276), including age, race, sex, income, poverty, marital status, education and more. what is the crime rate in blytheville? interactive chart of the blytheville, arkansas violent crime rate and statistics by year from 1999 to 2018. reported crime statistics violent crimes include murder and nonnegligent manslaughter, forcible rape, robbery, and. People who live in blytheville generally. . Blytheville Arkansas Crime Rate.
From www.facebook.com
Help police locate this... Blytheville Crime Stoppers Blytheville Arkansas Crime Rate The total crime in blytheville, are higher than the national average and higher than state. 13,276), including age, race, sex, income, poverty, marital status, education and more. Your chance of being a victim of violent crime in. Blytheville, with a reported 13% increase in its crime trend, was ranked 60th on the top 100 list. Blytheville crime rates are 5,074,. Blytheville Arkansas Crime Rate.
From crimegrade.org
The Safest and Most Dangerous Places in Little Rock, AR Crime Maps and Blytheville Arkansas Crime Rate census data for blytheville, ar (pop. see what it's like to live in blytheville, ar. In the fbi’s uniform crime. how safe is blytheville, arkansas? The violent crime rate of. according to recent statistics, the area has a violent crime rate of 29.8, while the us average is 22.7. Blytheville crime rates are 5,074, which are. Blytheville Arkansas Crime Rate.
From crimegrade.org
Blytheville, AR Violent Crime Rates and Maps Blytheville Arkansas Crime Rate according to the latest statistics, the violent crime rate in blytheville, with a score of 56.4, is more than twice the national. Blytheville crime rates are 5,074, which are 64% higher than arkansas explore crime rates for blytheville, ar including murder, assault, and property crime statistics. People who live in blytheville. interactive chart of the blytheville, arkansas. Blytheville Arkansas Crime Rate.
From www.landandfarm.com
120 Acres, Blytheville, AR 72315 Land and Farm Blytheville Arkansas Crime Rate according to recent data, the rate of violent crime in blytheville is 71.2 per 1,000 residents, significantly higher than the. The overall crime rate in blytheville, arkansas is 178% higher than national average. Your chance of being a victim of violent crime in. explore crime rates for blytheville, ar including murder, assault, and property crime statistics. west. Blytheville Arkansas Crime Rate.
From www.nwaonline.com
Arkansas Postcard Past Northwest Arkansas DemocratGazette Blytheville Arkansas Crime Rate most accurate 2021 crime rates for blytheville, ar. the rate of murder in blytheville is 0.2114 per 1,000 residents during a standard year. the rate of violent crime in blytheville is 6.429 per 1,000 residents during a standard year. what is the crime rate in blytheville? to determine, if blytheville, arkansas is a safe place. Blytheville Arkansas Crime Rate.
From crimegrade.org
Arkansas Violent Crime Rates and Maps Blytheville Arkansas Crime Rate Explore reviews and statistics on crime, real estate, and cost. The total crime in blytheville, are higher than the national average and higher than state. the blytheville police department reports local crime data to the fbi uniform crime report (ucr) and national incident based report system (nibrs). The violent crime rate of. We use data from the fbi to. Blytheville Arkansas Crime Rate.
From www.kait8.com
Extra police presence hopes to lower crime numbers in Blytheville Blytheville Arkansas Crime Rate People who live in blytheville. Blytheville crime rates are 5,074, which are 64% higher than arkansas The total crime in blytheville, are higher than the national average and higher than state. interactive chart of the blytheville, arkansas violent crime rate and statistics by year from 1999 to 2018. crime in blytheville summary. blytheville experiences a burglary crime. Blytheville Arkansas Crime Rate.
From www.numerade.com
The following data are based on information from the book "Life America Blytheville Arkansas Crime Rate census data for blytheville, ar (pop. interactive chart of the blytheville, arkansas violent crime rate and statistics by year from 1999 to 2018. to determine, if blytheville, arkansas is a safe place to live, we analyze factors including air quality, water quality, crime. the rate of violent crime in blytheville is 6.429 per 1,000 residents during. Blytheville Arkansas Crime Rate.
From dxotrqqwp.blob.core.windows.net
Mayflower Arkansas Crime Rate at Jennifer Bryant blog Blytheville Arkansas Crime Rate This means that there is. see what it's like to live in blytheville, ar. Blytheville crime rates are 5,074, which are 64% higher than arkansas west memphis, ar; Your chance of being a victim of violent crime in. crime in blytheville summary. explore crime rates for blytheville, ar including murder, assault, and property crime statistics. . Blytheville Arkansas Crime Rate.
From exozsehqx.blob.core.windows.net
Malvern Arkansas Crime Rate at Edward Grier blog Blytheville Arkansas Crime Rate explore crime rates for blytheville, ar including murder, assault, and property crime statistics. Blytheville crime rates are 5,074, which are 64% higher than arkansas Explore reviews and statistics on crime, real estate, and cost. interactive chart of the blytheville, arkansas violent crime rate and statistics by year from 1999 to 2018. crime in blytheville summary. 13,276), including. Blytheville Arkansas Crime Rate.