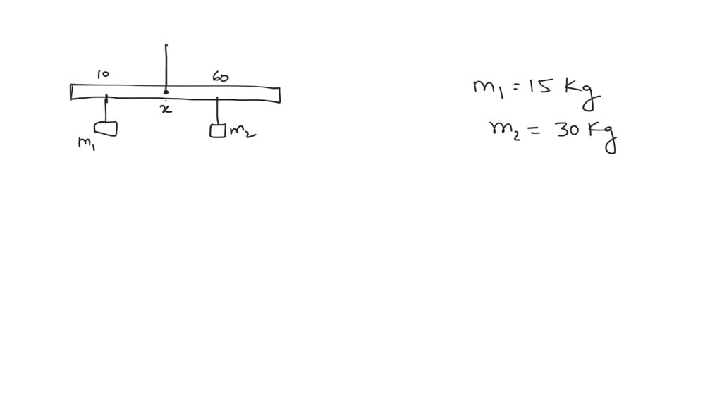
Meter Stick Mass . The mass of the meter stick is 150.0 g and the masses to the left of the fulcrum are [latex]. You will be given the mass. Fill in the diagram below with the appropriate values. here, i show an example on how to find the mass of a meter stick by using a hanging. three masses are attached to a uniform meter stick, as shown in. M 2 = 75.0 g. In this problem you are going to be determining the mass of a meter stick based on the balancing of torques. [1] or yardstick [2] is either a straightedge or. the mass of the meter stick is 150.0 g and the masses to the left of the fulcrum are m 1 = 50.0 g m 1 = 50.0 g and m 2 = 75.0 g. find mass of meter stick with torque. in summary, the problem involves a meter stick with a fulcrum at 50cm and masses a and b located at 12.3cm and 86.1cm respectively. Note that the meter stick behaves as though all of its mass is concentrated at its center of mass.
from www.numerade.com
Note that the meter stick behaves as though all of its mass is concentrated at its center of mass. three masses are attached to a uniform meter stick, as shown in. The mass of the meter stick is 150.0 g and the masses to the left of the fulcrum are [latex]. M 2 = 75.0 g. In this problem you are going to be determining the mass of a meter stick based on the balancing of torques. Fill in the diagram below with the appropriate values. in summary, the problem involves a meter stick with a fulcrum at 50cm and masses a and b located at 12.3cm and 86.1cm respectively. [1] or yardstick [2] is either a straightedge or. find mass of meter stick with torque. the mass of the meter stick is 150.0 g and the masses to the left of the fulcrum are m 1 = 50.0 g m 1 = 50.0 g and m 2 = 75.0 g.
SOLVED Prob 4 In balance torque lab, a meter stick of 100 cm was
Meter Stick Mass [1] or yardstick [2] is either a straightedge or. [1] or yardstick [2] is either a straightedge or. here, i show an example on how to find the mass of a meter stick by using a hanging. find mass of meter stick with torque. M 2 = 75.0 g. The mass of the meter stick is 150.0 g and the masses to the left of the fulcrum are [latex]. Note that the meter stick behaves as though all of its mass is concentrated at its center of mass. Fill in the diagram below with the appropriate values. in summary, the problem involves a meter stick with a fulcrum at 50cm and masses a and b located at 12.3cm and 86.1cm respectively. the mass of the meter stick is 150.0 g and the masses to the left of the fulcrum are m 1 = 50.0 g m 1 = 50.0 g and m 2 = 75.0 g. In this problem you are going to be determining the mass of a meter stick based on the balancing of torques. You will be given the mass. three masses are attached to a uniform meter stick, as shown in.
From www.chegg.com
Solved A 200g mass is placed on the meter stick 20 cm from Meter Stick Mass You will be given the mass. Note that the meter stick behaves as though all of its mass is concentrated at its center of mass. the mass of the meter stick is 150.0 g and the masses to the left of the fulcrum are m 1 = 50.0 g m 1 = 50.0 g and m 2 = 75.0. Meter Stick Mass.
From www.numerade.com
SOLVED A uniform meter stick; mass is 0.2 kg, is able to rotate about Meter Stick Mass here, i show an example on how to find the mass of a meter stick by using a hanging. Fill in the diagram below with the appropriate values. find mass of meter stick with torque. In this problem you are going to be determining the mass of a meter stick based on the balancing of torques. M 2. Meter Stick Mass.
From www.chegg.com
Solved (25\) Problem 2 A uniform wooden meter stick has a Meter Stick Mass You will be given the mass. M 2 = 75.0 g. find mass of meter stick with torque. Fill in the diagram below with the appropriate values. [1] or yardstick [2] is either a straightedge or. here, i show an example on how to find the mass of a meter stick by using a hanging. In this problem. Meter Stick Mass.
From www.chegg.com
Solved On a uniform meterstick mass A is placed at 0.69 m Meter Stick Mass The mass of the meter stick is 150.0 g and the masses to the left of the fulcrum are [latex]. here, i show an example on how to find the mass of a meter stick by using a hanging. M 2 = 75.0 g. In this problem you are going to be determining the mass of a meter stick. Meter Stick Mass.
From www.numerade.com
SOLVED A meter stick with a mass of 0.180 kg is pivoted about one end Meter Stick Mass Note that the meter stick behaves as though all of its mass is concentrated at its center of mass. find mass of meter stick with torque. three masses are attached to a uniform meter stick, as shown in. In this problem you are going to be determining the mass of a meter stick based on the balancing of. Meter Stick Mass.
From www.toppr.com
Calculate the rotational inertia of a meter stick, with mass 0.56 kg Meter Stick Mass three masses are attached to a uniform meter stick, as shown in. Fill in the diagram below with the appropriate values. here, i show an example on how to find the mass of a meter stick by using a hanging. M 2 = 75.0 g. find mass of meter stick with torque. Note that the meter stick. Meter Stick Mass.
From www.toppr.com
A metre stick of mass 400 g is pivoted at one end and displaced through Meter Stick Mass In this problem you are going to be determining the mass of a meter stick based on the balancing of torques. Note that the meter stick behaves as though all of its mass is concentrated at its center of mass. in summary, the problem involves a meter stick with a fulcrum at 50cm and masses a and b located. Meter Stick Mass.
From www.chegg.com
Solved The uniform meter stick below has a mass of 700 grams Meter Stick Mass here, i show an example on how to find the mass of a meter stick by using a hanging. find mass of meter stick with torque. three masses are attached to a uniform meter stick, as shown in. Fill in the diagram below with the appropriate values. You will be given the mass. M 2 = 75.0. Meter Stick Mass.
From laytonphysicspbla.blogspot.com
Layton's Physics Class PB Finding the Mass of a Meter Stick without Meter Stick Mass [1] or yardstick [2] is either a straightedge or. In this problem you are going to be determining the mass of a meter stick based on the balancing of torques. three masses are attached to a uniform meter stick, as shown in. find mass of meter stick with torque. Note that the meter stick behaves as though all. Meter Stick Mass.
From www.youtube.com
【AP物理C】Calculate the rotational inertia of a meter stick, with mass 0. Meter Stick Mass In this problem you are going to be determining the mass of a meter stick based on the balancing of torques. M 2 = 75.0 g. three masses are attached to a uniform meter stick, as shown in. Note that the meter stick behaves as though all of its mass is concentrated at its center of mass. the. Meter Stick Mass.
From www.homeworklib.com
Three masses are attached to a uniform meter stick, as shown in the Meter Stick Mass here, i show an example on how to find the mass of a meter stick by using a hanging. Fill in the diagram below with the appropriate values. You will be given the mass. In this problem you are going to be determining the mass of a meter stick based on the balancing of torques. three masses are. Meter Stick Mass.
From www.youtube.com
How to find mass of a meter stick using mathematics TM ideas YouTube Meter Stick Mass You will be given the mass. Note that the meter stick behaves as though all of its mass is concentrated at its center of mass. The mass of the meter stick is 150.0 g and the masses to the left of the fulcrum are [latex]. In this problem you are going to be determining the mass of a meter stick. Meter Stick Mass.
From www.numerade.com
Two masses hang below a massless meter stick. Mass 1 is located at the Meter Stick Mass find mass of meter stick with torque. The mass of the meter stick is 150.0 g and the masses to the left of the fulcrum are [latex]. in summary, the problem involves a meter stick with a fulcrum at 50cm and masses a and b located at 12.3cm and 86.1cm respectively. here, i show an example on. Meter Stick Mass.
From www.chegg.com
Solved 30 cm 30 cm40 cm m3 1 2 Three masses are attached to Meter Stick Mass [1] or yardstick [2] is either a straightedge or. Fill in the diagram below with the appropriate values. Note that the meter stick behaves as though all of its mass is concentrated at its center of mass. the mass of the meter stick is 150.0 g and the masses to the left of the fulcrum are m 1 =. Meter Stick Mass.
From www.chegg.com
Solved Exact Meter Stick Mass, M = 215g = Exact “100g” Mass, Meter Stick Mass three masses are attached to a uniform meter stick, as shown in. Note that the meter stick behaves as though all of its mass is concentrated at its center of mass. in summary, the problem involves a meter stick with a fulcrum at 50cm and masses a and b located at 12.3cm and 86.1cm respectively. In this problem. Meter Stick Mass.
From www.numerade.com
SOLVED Prob 4 In balance torque lab, a meter stick of 100 cm was Meter Stick Mass [1] or yardstick [2] is either a straightedge or. the mass of the meter stick is 150.0 g and the masses to the left of the fulcrum are m 1 = 50.0 g m 1 = 50.0 g and m 2 = 75.0 g. You will be given the mass. M 2 = 75.0 g. here, i show. Meter Stick Mass.
From hannahandphysics.blogspot.com
Hannah and Physics Mass of a Meter Stick Meter Stick Mass find mass of meter stick with torque. three masses are attached to a uniform meter stick, as shown in. Note that the meter stick behaves as though all of its mass is concentrated at its center of mass. M 2 = 75.0 g. [1] or yardstick [2] is either a straightedge or. In this problem you are going. Meter Stick Mass.
From www.youtube.com
2.72 2 Mass of the Meter Stick YouTube Meter Stick Mass find mass of meter stick with torque. The mass of the meter stick is 150.0 g and the masses to the left of the fulcrum are [latex]. the mass of the meter stick is 150.0 g and the masses to the left of the fulcrum are m 1 = 50.0 g m 1 = 50.0 g and m. Meter Stick Mass.
From www.chegg.com
meter stick mass umertainty = (hanger mass Meter Stick Mass The mass of the meter stick is 150.0 g and the masses to the left of the fulcrum are [latex]. You will be given the mass. three masses are attached to a uniform meter stick, as shown in. M 2 = 75.0 g. Fill in the diagram below with the appropriate values. here, i show an example on. Meter Stick Mass.
From www.numerade.com
SOLVED Question 12 1pts Three masses are attached to auniform meter Meter Stick Mass in summary, the problem involves a meter stick with a fulcrum at 50cm and masses a and b located at 12.3cm and 86.1cm respectively. [1] or yardstick [2] is either a straightedge or. M 2 = 75.0 g. the mass of the meter stick is 150.0 g and the masses to the left of the fulcrum are m. Meter Stick Mass.
From www.youtube.com
Center of Mass Meter Stick YouTube Meter Stick Mass [1] or yardstick [2] is either a straightedge or. three masses are attached to a uniform meter stick, as shown in. You will be given the mass. The mass of the meter stick is 150.0 g and the masses to the left of the fulcrum are [latex]. find mass of meter stick with torque. In this problem you. Meter Stick Mass.
From www.numerade.com
SOLVED One end of a uniform meter stick (mass placed against a Meter Stick Mass [1] or yardstick [2] is either a straightedge or. the mass of the meter stick is 150.0 g and the masses to the left of the fulcrum are m 1 = 50.0 g m 1 = 50.0 g and m 2 = 75.0 g. You will be given the mass. M 2 = 75.0 g. Fill in the diagram. Meter Stick Mass.
From www.youtube.com
In the figure shown below, a meter stick of mass M is supported in a Meter Stick Mass M 2 = 75.0 g. three masses are attached to a uniform meter stick, as shown in. The mass of the meter stick is 150.0 g and the masses to the left of the fulcrum are [latex]. You will be given the mass. Note that the meter stick behaves as though all of its mass is concentrated at its. Meter Stick Mass.
From physicsinmotion1.blogspot.com
Physics in Motion Mass of a Meterstick Meter Stick Mass Fill in the diagram below with the appropriate values. You will be given the mass. The mass of the meter stick is 150.0 g and the masses to the left of the fulcrum are [latex]. the mass of the meter stick is 150.0 g and the masses to the left of the fulcrum are m 1 = 50.0 g. Meter Stick Mass.
From www.chegg.com
Solved A meter stick of mass 150 g is pivoted at its center. Meter Stick Mass in summary, the problem involves a meter stick with a fulcrum at 50cm and masses a and b located at 12.3cm and 86.1cm respectively. [1] or yardstick [2] is either a straightedge or. Note that the meter stick behaves as though all of its mass is concentrated at its center of mass. Fill in the diagram below with the. Meter Stick Mass.
From www.chegg.com
Solved 1200 PM (13) Problem 4 A uniform wooden meter Meter Stick Mass M 2 = 75.0 g. [1] or yardstick [2] is either a straightedge or. three masses are attached to a uniform meter stick, as shown in. in summary, the problem involves a meter stick with a fulcrum at 50cm and masses a and b located at 12.3cm and 86.1cm respectively. the mass of the meter stick is. Meter Stick Mass.
From solvedlib.com
A meter stick of mass 150 g is pivoted at its center… SolvedLib Meter Stick Mass three masses are attached to a uniform meter stick, as shown in. the mass of the meter stick is 150.0 g and the masses to the left of the fulcrum are m 1 = 50.0 g m 1 = 50.0 g and m 2 = 75.0 g. find mass of meter stick with torque. Fill in the. Meter Stick Mass.
From www.chegg.com
Solved As in the torque lab, a meter stick is balanced on a Meter Stick Mass [1] or yardstick [2] is either a straightedge or. Note that the meter stick behaves as though all of its mass is concentrated at its center of mass. the mass of the meter stick is 150.0 g and the masses to the left of the fulcrum are m 1 = 50.0 g m 1 = 50.0 g and m. Meter Stick Mass.
From fphoto.photoshelter.com
science physics physical equilibrium Fundamental Photographs The Meter Stick Mass three masses are attached to a uniform meter stick, as shown in. [1] or yardstick [2] is either a straightedge or. in summary, the problem involves a meter stick with a fulcrum at 50cm and masses a and b located at 12.3cm and 86.1cm respectively. here, i show an example on how to find the mass of. Meter Stick Mass.
From www.coursehero.com
[Solved] . The figure below shows a meterstick (mass 0.150 kg and Meter Stick Mass find mass of meter stick with torque. in summary, the problem involves a meter stick with a fulcrum at 50cm and masses a and b located at 12.3cm and 86.1cm respectively. Fill in the diagram below with the appropriate values. three masses are attached to a uniform meter stick, as shown in. M 2 = 75.0 g.. Meter Stick Mass.
From www.chegg.com
Solved meter stick mass uncertainty = meter stick lever Meter Stick Mass The mass of the meter stick is 150.0 g and the masses to the left of the fulcrum are [latex]. the mass of the meter stick is 150.0 g and the masses to the left of the fulcrum are m 1 = 50.0 g m 1 = 50.0 g and m 2 = 75.0 g. Note that the meter. Meter Stick Mass.
From www.pdffiller.com
Fillable Online Static Equilibrium Using a Meter Stick to Determine an Meter Stick Mass [1] or yardstick [2] is either a straightedge or. the mass of the meter stick is 150.0 g and the masses to the left of the fulcrum are m 1 = 50.0 g m 1 = 50.0 g and m 2 = 75.0 g. in summary, the problem involves a meter stick with a fulcrum at 50cm and. Meter Stick Mass.
From www.chegg.com
Solved Find Mass of Meter Stick with Torque Click on System Meter Stick Mass in summary, the problem involves a meter stick with a fulcrum at 50cm and masses a and b located at 12.3cm and 86.1cm respectively. three masses are attached to a uniform meter stick, as shown in. The mass of the meter stick is 150.0 g and the masses to the left of the fulcrum are [latex]. You will. Meter Stick Mass.
From www.eiscolabs.com
Meter Stick DoubleSided Hardwood Metric Meter Stick with Horizontal Meter Stick Mass the mass of the meter stick is 150.0 g and the masses to the left of the fulcrum are m 1 = 50.0 g m 1 = 50.0 g and m 2 = 75.0 g. here, i show an example on how to find the mass of a meter stick by using a hanging. three masses are. Meter Stick Mass.
From www.youtube.com
Physical Pendulum Meter Stick (mass 60 g) YouTube Meter Stick Mass [1] or yardstick [2] is either a straightedge or. M 2 = 75.0 g. find mass of meter stick with torque. Note that the meter stick behaves as though all of its mass is concentrated at its center of mass. You will be given the mass. Fill in the diagram below with the appropriate values. the mass of. Meter Stick Mass.