Is A Landlord Responsible For Smoke Detectors . Learn who is responsible for installing, testing, and maintaining smoke detectors in rental properties, and what types of alarms are required by law. All of your rental leases should include information about whether you, the landlord, or the tenant is responsible for replacing the batteries in the property’s smoke detectors. If the tenant discovers a malfunction, they must notify the landlord in writing immediately. A landlord’s responsibility is to install, repair, or replace any smoke alarms to comply with building codes and smoke detector laws. Find out how to protect yourself from liability and deal with tenants who tamper with the alarms. Many places also require carbon monoxide (co) detection,. Learn about the laws and codes that require landlords to install and maintain smoke detectors in rental properties. Landlords have to provide smoke alarms in almost every state. Landlords are generally responsible for providing smoke detectors, but it’s usually the tenant’s responsibility to replace batteries if. Find out the benefits of hard. Property owners are responsible for installing smoke alarms in all required locations in units and common areas, such as the lobby.
from masslandlords.net
Landlords are generally responsible for providing smoke detectors, but it’s usually the tenant’s responsibility to replace batteries if. Property owners are responsible for installing smoke alarms in all required locations in units and common areas, such as the lobby. A landlord’s responsibility is to install, repair, or replace any smoke alarms to comply with building codes and smoke detector laws. Find out how to protect yourself from liability and deal with tenants who tamper with the alarms. If the tenant discovers a malfunction, they must notify the landlord in writing immediately. All of your rental leases should include information about whether you, the landlord, or the tenant is responsible for replacing the batteries in the property’s smoke detectors. Many places also require carbon monoxide (co) detection,. Find out the benefits of hard. Learn about the laws and codes that require landlords to install and maintain smoke detectors in rental properties. Landlords have to provide smoke alarms in almost every state.
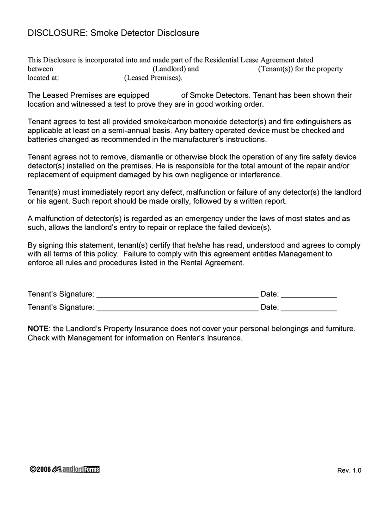
Must a landlord put smoke/CO alarms in their apartments
Is A Landlord Responsible For Smoke Detectors Property owners are responsible for installing smoke alarms in all required locations in units and common areas, such as the lobby. Find out the benefits of hard. Many places also require carbon monoxide (co) detection,. Landlords are generally responsible for providing smoke detectors, but it’s usually the tenant’s responsibility to replace batteries if. If the tenant discovers a malfunction, they must notify the landlord in writing immediately. Find out how to protect yourself from liability and deal with tenants who tamper with the alarms. A landlord’s responsibility is to install, repair, or replace any smoke alarms to comply with building codes and smoke detector laws. Learn who is responsible for installing, testing, and maintaining smoke detectors in rental properties, and what types of alarms are required by law. Property owners are responsible for installing smoke alarms in all required locations in units and common areas, such as the lobby. Landlords have to provide smoke alarms in almost every state. All of your rental leases should include information about whether you, the landlord, or the tenant is responsible for replacing the batteries in the property’s smoke detectors. Learn about the laws and codes that require landlords to install and maintain smoke detectors in rental properties.
From www.1000bulbs.com
Landlord or Tenant Who is Responsible for Smoke Detectors? Is A Landlord Responsible For Smoke Detectors Find out the benefits of hard. Landlords are generally responsible for providing smoke detectors, but it’s usually the tenant’s responsibility to replace batteries if. Many places also require carbon monoxide (co) detection,. If the tenant discovers a malfunction, they must notify the landlord in writing immediately. A landlord’s responsibility is to install, repair, or replace any smoke alarms to comply. Is A Landlord Responsible For Smoke Detectors.
From www.illumepm.com
Who’s Responsible for Smoke Detector Batteries In Rentals? Is A Landlord Responsible For Smoke Detectors Find out the benefits of hard. Many places also require carbon monoxide (co) detection,. If the tenant discovers a malfunction, they must notify the landlord in writing immediately. Landlords have to provide smoke alarms in almost every state. Property owners are responsible for installing smoke alarms in all required locations in units and common areas, such as the lobby. All. Is A Landlord Responsible For Smoke Detectors.
From portlandrentalmanagement.com
Carbon Monoxide Detectors Are They The Landlords Responsibility? Is A Landlord Responsible For Smoke Detectors Find out the benefits of hard. Learn who is responsible for installing, testing, and maintaining smoke detectors in rental properties, and what types of alarms are required by law. A landlord’s responsibility is to install, repair, or replace any smoke alarms to comply with building codes and smoke detector laws. Find out how to protect yourself from liability and deal. Is A Landlord Responsible For Smoke Detectors.
From www.tenantcloud.com
Landlord Responsibility For Tenant Safety Rental Inspection Is A Landlord Responsible For Smoke Detectors Learn about the laws and codes that require landlords to install and maintain smoke detectors in rental properties. Find out the benefits of hard. Find out how to protect yourself from liability and deal with tenants who tamper with the alarms. Many places also require carbon monoxide (co) detection,. Landlords are generally responsible for providing smoke detectors, but it’s usually. Is A Landlord Responsible For Smoke Detectors.
From abcgone.com
Smoke and Carbon Monoxide Alarm Regulations for Landlords ABC Gone Is A Landlord Responsible For Smoke Detectors If the tenant discovers a malfunction, they must notify the landlord in writing immediately. Landlords have to provide smoke alarms in almost every state. Find out how to protect yourself from liability and deal with tenants who tamper with the alarms. Learn about the laws and codes that require landlords to install and maintain smoke detectors in rental properties. Landlords. Is A Landlord Responsible For Smoke Detectors.
From www.weekand.com
Does a Landlord Have to Provide Smoke Detectors? Is A Landlord Responsible For Smoke Detectors Landlords have to provide smoke alarms in almost every state. A landlord’s responsibility is to install, repair, or replace any smoke alarms to comply with building codes and smoke detector laws. Many places also require carbon monoxide (co) detection,. Find out how to protect yourself from liability and deal with tenants who tamper with the alarms. Landlords are generally responsible. Is A Landlord Responsible For Smoke Detectors.
From rentprep.com
What Are Smoke Alarm Requirements For Rental Property? (2019) Is A Landlord Responsible For Smoke Detectors Learn who is responsible for installing, testing, and maintaining smoke detectors in rental properties, and what types of alarms are required by law. A landlord’s responsibility is to install, repair, or replace any smoke alarms to comply with building codes and smoke detector laws. Property owners are responsible for installing smoke alarms in all required locations in units and common. Is A Landlord Responsible For Smoke Detectors.
From triguestz.blogspot.com
Are Landlords Or Tenants Responsible For Smoke Detector Batteries Who Is A Landlord Responsible For Smoke Detectors Learn about the laws and codes that require landlords to install and maintain smoke detectors in rental properties. Find out the benefits of hard. All of your rental leases should include information about whether you, the landlord, or the tenant is responsible for replacing the batteries in the property’s smoke detectors. Learn who is responsible for installing, testing, and maintaining. Is A Landlord Responsible For Smoke Detectors.
From prochecks.co.uk
Top Tips For Landlords How To Ensure Your Rental Property Is FireSafe Is A Landlord Responsible For Smoke Detectors Find out the benefits of hard. Find out how to protect yourself from liability and deal with tenants who tamper with the alarms. Learn about the laws and codes that require landlords to install and maintain smoke detectors in rental properties. Many places also require carbon monoxide (co) detection,. A landlord’s responsibility is to install, repair, or replace any smoke. Is A Landlord Responsible For Smoke Detectors.
From www.doylespillane.com.au
New smoke alarm obligations for landlords from 23 March 2020 Is A Landlord Responsible For Smoke Detectors Property owners are responsible for installing smoke alarms in all required locations in units and common areas, such as the lobby. A landlord’s responsibility is to install, repair, or replace any smoke alarms to comply with building codes and smoke detector laws. Find out how to protect yourself from liability and deal with tenants who tamper with the alarms. Many. Is A Landlord Responsible For Smoke Detectors.
From ottawasun.com
Rental Guide Landlord responsible for installing and maintaining smoke Is A Landlord Responsible For Smoke Detectors Find out how to protect yourself from liability and deal with tenants who tamper with the alarms. Learn who is responsible for installing, testing, and maintaining smoke detectors in rental properties, and what types of alarms are required by law. Many places also require carbon monoxide (co) detection,. Learn about the laws and codes that require landlords to install and. Is A Landlord Responsible For Smoke Detectors.
From www.oxnerpermarlaw.com
Is My Landlord Responsible for Carbon Monoxide Poisoning? Is A Landlord Responsible For Smoke Detectors Find out how to protect yourself from liability and deal with tenants who tamper with the alarms. All of your rental leases should include information about whether you, the landlord, or the tenant is responsible for replacing the batteries in the property’s smoke detectors. Learn about the laws and codes that require landlords to install and maintain smoke detectors in. Is A Landlord Responsible For Smoke Detectors.
From www.youtube.com
Landlord Smoke Alarms Information YouTube Is A Landlord Responsible For Smoke Detectors Many places also require carbon monoxide (co) detection,. Landlords are generally responsible for providing smoke detectors, but it’s usually the tenant’s responsibility to replace batteries if. Learn who is responsible for installing, testing, and maintaining smoke detectors in rental properties, and what types of alarms are required by law. All of your rental leases should include information about whether you,. Is A Landlord Responsible For Smoke Detectors.
From www.gro-residential.co.uk
The COMPLETE guide to fire safety for landlords Gro Residential Is A Landlord Responsible For Smoke Detectors Find out the benefits of hard. Learn who is responsible for installing, testing, and maintaining smoke detectors in rental properties, and what types of alarms are required by law. Learn about the laws and codes that require landlords to install and maintain smoke detectors in rental properties. All of your rental leases should include information about whether you, the landlord,. Is A Landlord Responsible For Smoke Detectors.
From www.steadily.com
Landlord's Guide to Smoke and Carbon Monoxide Detectors in Rentals Is A Landlord Responsible For Smoke Detectors Landlords are generally responsible for providing smoke detectors, but it’s usually the tenant’s responsibility to replace batteries if. Property owners are responsible for installing smoke alarms in all required locations in units and common areas, such as the lobby. Find out how to protect yourself from liability and deal with tenants who tamper with the alarms. A landlord’s responsibility is. Is A Landlord Responsible For Smoke Detectors.
From tenkingsz.blogspot.com
Is Landlord Responsible For Smoke Detector Batteries As landlords are Is A Landlord Responsible For Smoke Detectors Learn who is responsible for installing, testing, and maintaining smoke detectors in rental properties, and what types of alarms are required by law. Property owners are responsible for installing smoke alarms in all required locations in units and common areas, such as the lobby. A landlord’s responsibility is to install, repair, or replace any smoke alarms to comply with building. Is A Landlord Responsible For Smoke Detectors.
From horizonlets.com
A Landlords Guide To Smoke Alarms Horizon Lets Is A Landlord Responsible For Smoke Detectors Many places also require carbon monoxide (co) detection,. Learn who is responsible for installing, testing, and maintaining smoke detectors in rental properties, and what types of alarms are required by law. If the tenant discovers a malfunction, they must notify the landlord in writing immediately. Property owners are responsible for installing smoke alarms in all required locations in units and. Is A Landlord Responsible For Smoke Detectors.
From www.bowlinglaw.co.uk
Smoke and carbon monoxide alarms new requirements for landlords Is A Landlord Responsible For Smoke Detectors All of your rental leases should include information about whether you, the landlord, or the tenant is responsible for replacing the batteries in the property’s smoke detectors. A landlord’s responsibility is to install, repair, or replace any smoke alarms to comply with building codes and smoke detector laws. Landlords are generally responsible for providing smoke detectors, but it’s usually the. Is A Landlord Responsible For Smoke Detectors.
From brightinventories.co.uk
Smoke detectors and carbon monoxide advice for landlords Bright Is A Landlord Responsible For Smoke Detectors Learn who is responsible for installing, testing, and maintaining smoke detectors in rental properties, and what types of alarms are required by law. Many places also require carbon monoxide (co) detection,. Find out how to protect yourself from liability and deal with tenants who tamper with the alarms. Find out the benefits of hard. Property owners are responsible for installing. Is A Landlord Responsible For Smoke Detectors.
From thegoodestateagent.co.uk
Smoke and Carbon Monoxide Detector Requirements for Landlords The Is A Landlord Responsible For Smoke Detectors All of your rental leases should include information about whether you, the landlord, or the tenant is responsible for replacing the batteries in the property’s smoke detectors. Landlords are generally responsible for providing smoke detectors, but it’s usually the tenant’s responsibility to replace batteries if. Many places also require carbon monoxide (co) detection,. Find out the benefits of hard. Find. Is A Landlord Responsible For Smoke Detectors.
From www.scribd.com
Tenants Smoke Alarm Safety Letter Property Owners Version Is A Landlord Responsible For Smoke Detectors Landlords are generally responsible for providing smoke detectors, but it’s usually the tenant’s responsibility to replace batteries if. Find out how to protect yourself from liability and deal with tenants who tamper with the alarms. Learn about the laws and codes that require landlords to install and maintain smoke detectors in rental properties. All of your rental leases should include. Is A Landlord Responsible For Smoke Detectors.
From tppuk.com
Landlord Smoke Alarm Regulations Williams & Goodwin Is A Landlord Responsible For Smoke Detectors Learn about the laws and codes that require landlords to install and maintain smoke detectors in rental properties. All of your rental leases should include information about whether you, the landlord, or the tenant is responsible for replacing the batteries in the property’s smoke detectors. Many places also require carbon monoxide (co) detection,. Landlords are generally responsible for providing smoke. Is A Landlord Responsible For Smoke Detectors.
From blueribbonhomes.com
Who’s Responsible For Smoke Detector Batteries In Rentals? Blue Is A Landlord Responsible For Smoke Detectors Landlords are generally responsible for providing smoke detectors, but it’s usually the tenant’s responsibility to replace batteries if. Learn about the laws and codes that require landlords to install and maintain smoke detectors in rental properties. All of your rental leases should include information about whether you, the landlord, or the tenant is responsible for replacing the batteries in the. Is A Landlord Responsible For Smoke Detectors.
From polymes.com
Essential Smoke Detector for Landlords Is A Landlord Responsible For Smoke Detectors Landlords are generally responsible for providing smoke detectors, but it’s usually the tenant’s responsibility to replace batteries if. Property owners are responsible for installing smoke alarms in all required locations in units and common areas, such as the lobby. All of your rental leases should include information about whether you, the landlord, or the tenant is responsible for replacing the. Is A Landlord Responsible For Smoke Detectors.
From rentprep.com
The Smoke Detector Know Your Rights And Hold Tenants Accountable Is A Landlord Responsible For Smoke Detectors Landlords have to provide smoke alarms in almost every state. If the tenant discovers a malfunction, they must notify the landlord in writing immediately. Many places also require carbon monoxide (co) detection,. Learn about the laws and codes that require landlords to install and maintain smoke detectors in rental properties. A landlord’s responsibility is to install, repair, or replace any. Is A Landlord Responsible For Smoke Detectors.
From www.1000bulbs.com
Landlord or Tenant Who is Responsible for Smoke Detectors? Is A Landlord Responsible For Smoke Detectors Find out how to protect yourself from liability and deal with tenants who tamper with the alarms. Landlords are generally responsible for providing smoke detectors, but it’s usually the tenant’s responsibility to replace batteries if. A landlord’s responsibility is to install, repair, or replace any smoke alarms to comply with building codes and smoke detector laws. Learn who is responsible. Is A Landlord Responsible For Smoke Detectors.
From ne1.www.yahoo.com
Is my landlord responsible for my smoke alarm? And other common Is A Landlord Responsible For Smoke Detectors Landlords are generally responsible for providing smoke detectors, but it’s usually the tenant’s responsibility to replace batteries if. Landlords have to provide smoke alarms in almost every state. If the tenant discovers a malfunction, they must notify the landlord in writing immediately. Learn about the laws and codes that require landlords to install and maintain smoke detectors in rental properties.. Is A Landlord Responsible For Smoke Detectors.
From masslandlords.net
Must a landlord put smoke/CO alarms in their apartments Is A Landlord Responsible For Smoke Detectors A landlord’s responsibility is to install, repair, or replace any smoke alarms to comply with building codes and smoke detector laws. Many places also require carbon monoxide (co) detection,. Find out how to protect yourself from liability and deal with tenants who tamper with the alarms. If the tenant discovers a malfunction, they must notify the landlord in writing immediately.. Is A Landlord Responsible For Smoke Detectors.
From www.386rent.com
Handling Repairs & Maintenance Understanding your Responsibilities as Is A Landlord Responsible For Smoke Detectors A landlord’s responsibility is to install, repair, or replace any smoke alarms to comply with building codes and smoke detector laws. Find out the benefits of hard. If the tenant discovers a malfunction, they must notify the landlord in writing immediately. All of your rental leases should include information about whether you, the landlord, or the tenant is responsible for. Is A Landlord Responsible For Smoke Detectors.
From www.philipalexander.net
Landlord's smoke alarm requirements are changing PhilipAlexander Is A Landlord Responsible For Smoke Detectors Many places also require carbon monoxide (co) detection,. Property owners are responsible for installing smoke alarms in all required locations in units and common areas, such as the lobby. A landlord’s responsibility is to install, repair, or replace any smoke alarms to comply with building codes and smoke detector laws. All of your rental leases should include information about whether. Is A Landlord Responsible For Smoke Detectors.
From www.jpelectrical.net
A Landlord’s Guide to Smoke Alarm Installation JP Electrical Is A Landlord Responsible For Smoke Detectors Many places also require carbon monoxide (co) detection,. A landlord’s responsibility is to install, repair, or replace any smoke alarms to comply with building codes and smoke detector laws. Landlords are generally responsible for providing smoke detectors, but it’s usually the tenant’s responsibility to replace batteries if. Find out how to protect yourself from liability and deal with tenants who. Is A Landlord Responsible For Smoke Detectors.
From www.linkedin.com
Understanding New Regulations for Smoke, Heat, and CO Detectors for Is A Landlord Responsible For Smoke Detectors If the tenant discovers a malfunction, they must notify the landlord in writing immediately. Learn who is responsible for installing, testing, and maintaining smoke detectors in rental properties, and what types of alarms are required by law. Many places also require carbon monoxide (co) detection,. All of your rental leases should include information about whether you, the landlord, or the. Is A Landlord Responsible For Smoke Detectors.
From bowsers.co.uk
New Smoke Detector Law Landlord Duties Bowsers Solicitors Is A Landlord Responsible For Smoke Detectors Many places also require carbon monoxide (co) detection,. Learn who is responsible for installing, testing, and maintaining smoke detectors in rental properties, and what types of alarms are required by law. If the tenant discovers a malfunction, they must notify the landlord in writing immediately. Landlords have to provide smoke alarms in almost every state. Find out how to protect. Is A Landlord Responsible For Smoke Detectors.
From plumbinghub.info
Essential Safety Measures For Landlords Smoke & Carbon Monoxide Is A Landlord Responsible For Smoke Detectors Landlords have to provide smoke alarms in almost every state. If the tenant discovers a malfunction, they must notify the landlord in writing immediately. Find out the benefits of hard. A landlord’s responsibility is to install, repair, or replace any smoke alarms to comply with building codes and smoke detector laws. Find out how to protect yourself from liability and. Is A Landlord Responsible For Smoke Detectors.
From horizonlets.com
A Landlords Guide To Smoke Alarms Horizon Lets Is A Landlord Responsible For Smoke Detectors If the tenant discovers a malfunction, they must notify the landlord in writing immediately. Property owners are responsible for installing smoke alarms in all required locations in units and common areas, such as the lobby. All of your rental leases should include information about whether you, the landlord, or the tenant is responsible for replacing the batteries in the property’s. Is A Landlord Responsible For Smoke Detectors.