Calculate Easter Sunday . It is accurate for the years from 1900 to 2368. easter's sunday jumps around like a rabbit: you can calculate the date of easter with formula below. to determine when easter is, look on a calendar for the sunday following the first full moon after march 21. Spring equinox occurs more or. western christians, including the roman catholic church and protestant denominations, calculate the date of easter by using the gregorian. With our easter calculator you will only have to insert the year: the easter calculator will calculate the exact easter sunday date for a specific year. here is an algorithm written in basic to calculate the gregorian easter sunday date for years 1583 to 4099 (western. easter is the sunday after its 14th day (or, saying the same thing, the sunday within its third week).
from www.sharefaith.com
With our easter calculator you will only have to insert the year: western christians, including the roman catholic church and protestant denominations, calculate the date of easter by using the gregorian. to determine when easter is, look on a calendar for the sunday following the first full moon after march 21. It is accurate for the years from 1900 to 2368. here is an algorithm written in basic to calculate the gregorian easter sunday date for years 1583 to 4099 (western. you can calculate the date of easter with formula below. easter's sunday jumps around like a rabbit: the easter calculator will calculate the exact easter sunday date for a specific year. Spring equinox occurs more or. easter is the sunday after its 14th day (or, saying the same thing, the sunday within its third week).
Resurrection Sunday He is Risen Easter PowerPoint Graphics
Calculate Easter Sunday the easter calculator will calculate the exact easter sunday date for a specific year. easter is the sunday after its 14th day (or, saying the same thing, the sunday within its third week). Spring equinox occurs more or. It is accurate for the years from 1900 to 2368. here is an algorithm written in basic to calculate the gregorian easter sunday date for years 1583 to 4099 (western. the easter calculator will calculate the exact easter sunday date for a specific year. to determine when easter is, look on a calendar for the sunday following the first full moon after march 21. With our easter calculator you will only have to insert the year: easter's sunday jumps around like a rabbit: western christians, including the roman catholic church and protestant denominations, calculate the date of easter by using the gregorian. you can calculate the date of easter with formula below.
From www.alamy.com
Zaporizhzhia, Ukraine. 16th Apr, 2023. Orthodox Christian priests and Calculate Easter Sunday to determine when easter is, look on a calendar for the sunday following the first full moon after march 21. the easter calculator will calculate the exact easter sunday date for a specific year. Spring equinox occurs more or. here is an algorithm written in basic to calculate the gregorian easter sunday date for years 1583 to. Calculate Easter Sunday.
From blog.gcwizard.net
06 How do I calculate Easter Sunday in a given year? GC Wizard Calculate Easter Sunday the easter calculator will calculate the exact easter sunday date for a specific year. With our easter calculator you will only have to insert the year: It is accurate for the years from 1900 to 2368. easter's sunday jumps around like a rabbit: easter is the sunday after its 14th day (or, saying the same thing, the. Calculate Easter Sunday.
From www.havefunwithhistory.com
10 Facts About Easter Sunday Have Fun With History Calculate Easter Sunday It is accurate for the years from 1900 to 2368. Spring equinox occurs more or. here is an algorithm written in basic to calculate the gregorian easter sunday date for years 1583 to 4099 (western. easter is the sunday after its 14th day (or, saying the same thing, the sunday within its third week). With our easter calculator. Calculate Easter Sunday.
From www.uniquenewsonline.com
Happy Easter Sunday 2023 30+ Best WhatsApp Status Videos to Download Calculate Easter Sunday easter is the sunday after its 14th day (or, saying the same thing, the sunday within its third week). Spring equinox occurs more or. to determine when easter is, look on a calendar for the sunday following the first full moon after march 21. With our easter calculator you will only have to insert the year: here. Calculate Easter Sunday.
From www.youtube.com
Excel 2013 Video 15 Calculate the EASTER DAY with Excel ORIGINAL METHOD Calculate Easter Sunday easter is the sunday after its 14th day (or, saying the same thing, the sunday within its third week). easter's sunday jumps around like a rabbit: here is an algorithm written in basic to calculate the gregorian easter sunday date for years 1583 to 4099 (western. western christians, including the roman catholic church and protestant denominations,. Calculate Easter Sunday.
From www.ptcnews.tv
Everything you need to know about Easter Sunday and how it is observed Calculate Easter Sunday Spring equinox occurs more or. to determine when easter is, look on a calendar for the sunday following the first full moon after march 21. It is accurate for the years from 1900 to 2368. easter is the sunday after its 14th day (or, saying the same thing, the sunday within its third week). here is an. Calculate Easter Sunday.
From studylib.net
Easter Dating Method by Ronald W Calculate Easter Sunday With our easter calculator you will only have to insert the year: easter's sunday jumps around like a rabbit: you can calculate the date of easter with formula below. Spring equinox occurs more or. easter is the sunday after its 14th day (or, saying the same thing, the sunday within its third week). It is accurate for. Calculate Easter Sunday.
From medium.com
Calculate Easter Sunday Dynamically using SQL by Dian Germishuizen Calculate Easter Sunday easter is the sunday after its 14th day (or, saying the same thing, the sunday within its third week). western christians, including the roman catholic church and protestant denominations, calculate the date of easter by using the gregorian. here is an algorithm written in basic to calculate the gregorian easter sunday date for years 1583 to 4099. Calculate Easter Sunday.
From www.alamy.com
Zaporizhzhia, Ukraine. 16th Apr, 2023. Orthodox Christian priests and Calculate Easter Sunday to determine when easter is, look on a calendar for the sunday following the first full moon after march 21. It is accurate for the years from 1900 to 2368. you can calculate the date of easter with formula below. With our easter calculator you will only have to insert the year: Spring equinox occurs more or. . Calculate Easter Sunday.
From www.youtube.com
Easter Eggs in windows 7 calculator, and google YouTube Calculate Easter Sunday here is an algorithm written in basic to calculate the gregorian easter sunday date for years 1583 to 4099 (western. easter is the sunday after its 14th day (or, saying the same thing, the sunday within its third week). western christians, including the roman catholic church and protestant denominations, calculate the date of easter by using the. Calculate Easter Sunday.
From slideplayer.com
WHAT ABOUT EASTER? Acts 1215 WHAT ABOUT EASTER? Each year at this Calculate Easter Sunday western christians, including the roman catholic church and protestant denominations, calculate the date of easter by using the gregorian. you can calculate the date of easter with formula below. to determine when easter is, look on a calendar for the sunday following the first full moon after march 21. easter is the sunday after its 14th. Calculate Easter Sunday.
From www.youtube.com
How to view Easter Egg in Calculator app on Oneplus 6T OxygenOS YouTube Calculate Easter Sunday It is accurate for the years from 1900 to 2368. easter is the sunday after its 14th day (or, saying the same thing, the sunday within its third week). With our easter calculator you will only have to insert the year: Spring equinox occurs more or. you can calculate the date of easter with formula below. the. Calculate Easter Sunday.
From theholymess.com
How Do You Know When Is Easter Sunday? Calculate Easter Sunday easter's sunday jumps around like a rabbit: here is an algorithm written in basic to calculate the gregorian easter sunday date for years 1583 to 4099 (western. to determine when easter is, look on a calendar for the sunday following the first full moon after march 21. With our easter calculator you will only have to insert. Calculate Easter Sunday.
From shoshannawbidget.pages.dev
How To Calculate Easter Sunday From Christmas 2024 Lelia Nerissa Calculate Easter Sunday you can calculate the date of easter with formula below. the easter calculator will calculate the exact easter sunday date for a specific year. Spring equinox occurs more or. With our easter calculator you will only have to insert the year: here is an algorithm written in basic to calculate the gregorian easter sunday date for years. Calculate Easter Sunday.
From www.alamy.com
Zaporizhzhia, Ukraine. 16th Apr, 2023. Orthodox Christian priest and Calculate Easter Sunday you can calculate the date of easter with formula below. the easter calculator will calculate the exact easter sunday date for a specific year. Spring equinox occurs more or. to determine when easter is, look on a calendar for the sunday following the first full moon after march 21. easter's sunday jumps around like a rabbit:. Calculate Easter Sunday.
From www.alamy.com
Zaporizhzhia, Ukraine. 16th Apr, 2023. Orthodox Christian priest and Calculate Easter Sunday With our easter calculator you will only have to insert the year: to determine when easter is, look on a calendar for the sunday following the first full moon after march 21. It is accurate for the years from 1900 to 2368. the easter calculator will calculate the exact easter sunday date for a specific year. here. Calculate Easter Sunday.
From www.chegg.com
Solved Implement the calculator for the date of Easter. The Calculate Easter Sunday here is an algorithm written in basic to calculate the gregorian easter sunday date for years 1583 to 4099 (western. to determine when easter is, look on a calendar for the sunday following the first full moon after march 21. Spring equinox occurs more or. It is accurate for the years from 1900 to 2368. you can. Calculate Easter Sunday.
From www.alamy.com
Orthodox Christian worshipers with their traditional Easter baskets are Calculate Easter Sunday to determine when easter is, look on a calendar for the sunday following the first full moon after march 21. With our easter calculator you will only have to insert the year: It is accurate for the years from 1900 to 2368. here is an algorithm written in basic to calculate the gregorian easter sunday date for years. Calculate Easter Sunday.
From www.tes.com
Easter Sunday Presentation Teaching Resources Calculate Easter Sunday western christians, including the roman catholic church and protestant denominations, calculate the date of easter by using the gregorian. Spring equinox occurs more or. the easter calculator will calculate the exact easter sunday date for a specific year. easter is the sunday after its 14th day (or, saying the same thing, the sunday within its third week).. Calculate Easter Sunday.
From github.com
GitHub lynxestudio/20180519EasterSundaySample C Recipe 2 How to Calculate Easter Sunday the easter calculator will calculate the exact easter sunday date for a specific year. easter is the sunday after its 14th day (or, saying the same thing, the sunday within its third week). you can calculate the date of easter with formula below. Spring equinox occurs more or. western christians, including the roman catholic church and. Calculate Easter Sunday.
From www.bebejaz.com
It's Easter Sunday! Happy Easter!!! Bebejaz Calculate Easter Sunday here is an algorithm written in basic to calculate the gregorian easter sunday date for years 1583 to 4099 (western. It is accurate for the years from 1900 to 2368. you can calculate the date of easter with formula below. to determine when easter is, look on a calendar for the sunday following the first full moon. Calculate Easter Sunday.
From www.alamy.com
Zaporizhzhia, Ukraine. 16th Apr, 2023. Orthodox Christian worshipers Calculate Easter Sunday to determine when easter is, look on a calendar for the sunday following the first full moon after march 21. With our easter calculator you will only have to insert the year: It is accurate for the years from 1900 to 2368. western christians, including the roman catholic church and protestant denominations, calculate the date of easter by. Calculate Easter Sunday.
From raisablog234.blogspot.com
Easter How Is It Determined Raisa Blog Calculate Easter Sunday to determine when easter is, look on a calendar for the sunday following the first full moon after march 21. you can calculate the date of easter with formula below. It is accurate for the years from 1900 to 2368. the easter calculator will calculate the exact easter sunday date for a specific year. With our easter. Calculate Easter Sunday.
From www.alamy.com
Orthodox Christian worshipers with their traditional Easter baskets are Calculate Easter Sunday western christians, including the roman catholic church and protestant denominations, calculate the date of easter by using the gregorian. to determine when easter is, look on a calendar for the sunday following the first full moon after march 21. the easter calculator will calculate the exact easter sunday date for a specific year. you can calculate. Calculate Easter Sunday.
From www.youtube.com
OnePlus Calculator Easter Egg, Never Settle YouTube Calculate Easter Sunday you can calculate the date of easter with formula below. Spring equinox occurs more or. the easter calculator will calculate the exact easter sunday date for a specific year. western christians, including the roman catholic church and protestant denominations, calculate the date of easter by using the gregorian. It is accurate for the years from 1900 to. Calculate Easter Sunday.
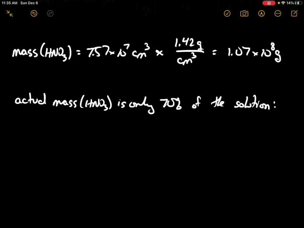
From www.numerade.com
SOLVED On Easter Sunday, April 3,1983, nitric acid spilled from a tank Calculate Easter Sunday easter's sunday jumps around like a rabbit: With our easter calculator you will only have to insert the year: western christians, including the roman catholic church and protestant denominations, calculate the date of easter by using the gregorian. It is accurate for the years from 1900 to 2368. to determine when easter is, look on a calendar. Calculate Easter Sunday.
From www.youtube.com
OnePlus 8 Calculator Easter Egg YouTube Calculate Easter Sunday to determine when easter is, look on a calendar for the sunday following the first full moon after march 21. Spring equinox occurs more or. here is an algorithm written in basic to calculate the gregorian easter sunday date for years 1583 to 4099 (western. easter's sunday jumps around like a rabbit: It is accurate for the. Calculate Easter Sunday.
From www.chip.de
Easter Sunday Calculator Android App Download CHIP Calculate Easter Sunday easter is the sunday after its 14th day (or, saying the same thing, the sunday within its third week). you can calculate the date of easter with formula below. the easter calculator will calculate the exact easter sunday date for a specific year. to determine when easter is, look on a calendar for the sunday following. Calculate Easter Sunday.
From twitter.com
KCRGTV9 First Alert Weather on Twitter "The April full moon will rise Calculate Easter Sunday easter's sunday jumps around like a rabbit: western christians, including the roman catholic church and protestant denominations, calculate the date of easter by using the gregorian. With our easter calculator you will only have to insert the year: the easter calculator will calculate the exact easter sunday date for a specific year. here is an algorithm. Calculate Easter Sunday.
From www.youtube.com
How to calculate the accurate Date of Easter/procedures to calculate Calculate Easter Sunday With our easter calculator you will only have to insert the year: easter is the sunday after its 14th day (or, saying the same thing, the sunday within its third week). you can calculate the date of easter with formula below. the easter calculator will calculate the exact easter sunday date for a specific year. here. Calculate Easter Sunday.
From www.johnbarber.com
How to calculate when Easter Sunday will occur each year Calculate Easter Sunday to determine when easter is, look on a calendar for the sunday following the first full moon after march 21. you can calculate the date of easter with formula below. the easter calculator will calculate the exact easter sunday date for a specific year. easter's sunday jumps around like a rabbit: With our easter calculator you. Calculate Easter Sunday.
From www.sharefaith.com
Resurrection Sunday He is Risen Easter PowerPoint Graphics Calculate Easter Sunday you can calculate the date of easter with formula below. With our easter calculator you will only have to insert the year: the easter calculator will calculate the exact easter sunday date for a specific year. here is an algorithm written in basic to calculate the gregorian easter sunday date for years 1583 to 4099 (western. Spring. Calculate Easter Sunday.
From www.youtube.com
How To Calculate Easter Date?,How Is The Date Of Easter Calculated Calculate Easter Sunday easter is the sunday after its 14th day (or, saying the same thing, the sunday within its third week). to determine when easter is, look on a calendar for the sunday following the first full moon after march 21. It is accurate for the years from 1900 to 2368. you can calculate the date of easter with. Calculate Easter Sunday.
From www.numerade.com
SOLVED On Easter Sunday, April 3,1983, nitric acid spilled from a tank Calculate Easter Sunday With our easter calculator you will only have to insert the year: easter's sunday jumps around like a rabbit: easter is the sunday after its 14th day (or, saying the same thing, the sunday within its third week). western christians, including the roman catholic church and protestant denominations, calculate the date of easter by using the gregorian.. Calculate Easter Sunday.
From shoshannawbidget.pages.dev
How To Calculate Easter Sunday From Christmas 2024 Lelia Nerissa Calculate Easter Sunday western christians, including the roman catholic church and protestant denominations, calculate the date of easter by using the gregorian. the easter calculator will calculate the exact easter sunday date for a specific year. Spring equinox occurs more or. to determine when easter is, look on a calendar for the sunday following the first full moon after march. Calculate Easter Sunday.