Realty Transfer Fee New Jersey Calculator . Simply enter your home’s sales price, with no commas and click. New jersey law states a deed transferring real property from one legal entity to another legal entity that has common ownership. The rtf is calculated based. Calculate additional transfer fee : The rtf is calculated based on the amount. Real estate transfer & mansion tax. Simply enter the property’s sale price, and our calculator will quickly provide an accurate estimate of the transfer tax you’ll owe. This calculator provides an estimate of the realty transfer fee (rtf) that you will need to pay when you sell real property in new jersey. The state imposes a realty transfer fee (rtf) on the seller of real property for recording a deed for the sale. This calculator is based on the state of new jersey's division of taxation's realty transfer fee page. The state imposes a realty transfer fee (rtf) on the seller of real property for recording a deed for the sale. The grantee is required to remit additional transfer fee of 1% of the consideration when the entire. The realty transfer fee is imposed upon the recording of deeds evidencing transfers of title to real property in the.
from curbelolaw.com
New jersey law states a deed transferring real property from one legal entity to another legal entity that has common ownership. The rtf is calculated based. The realty transfer fee is imposed upon the recording of deeds evidencing transfers of title to real property in the. Simply enter your home’s sales price, with no commas and click. The rtf is calculated based on the amount. The state imposes a realty transfer fee (rtf) on the seller of real property for recording a deed for the sale. This calculator is based on the state of new jersey's division of taxation's realty transfer fee page. This calculator provides an estimate of the realty transfer fee (rtf) that you will need to pay when you sell real property in new jersey. The grantee is required to remit additional transfer fee of 1% of the consideration when the entire. Calculate additional transfer fee :
New Jersey realty transfer fee 2024 guidelines Curbelo Law
Realty Transfer Fee New Jersey Calculator The rtf is calculated based. Real estate transfer & mansion tax. Simply enter your home’s sales price, with no commas and click. The grantee is required to remit additional transfer fee of 1% of the consideration when the entire. The rtf is calculated based. The realty transfer fee is imposed upon the recording of deeds evidencing transfers of title to real property in the. This calculator is based on the state of new jersey's division of taxation's realty transfer fee page. The state imposes a realty transfer fee (rtf) on the seller of real property for recording a deed for the sale. Calculate additional transfer fee : Simply enter the property’s sale price, and our calculator will quickly provide an accurate estimate of the transfer tax you’ll owe. This calculator provides an estimate of the realty transfer fee (rtf) that you will need to pay when you sell real property in new jersey. The state imposes a realty transfer fee (rtf) on the seller of real property for recording a deed for the sale. New jersey law states a deed transferring real property from one legal entity to another legal entity that has common ownership. The rtf is calculated based on the amount.
From www.njrealtor.com
Realty Transfer Fee Calculator › NJ REALTORS® Realty Transfer Fee New Jersey Calculator This calculator is based on the state of new jersey's division of taxation's realty transfer fee page. Real estate transfer & mansion tax. Calculate additional transfer fee : The state imposes a realty transfer fee (rtf) on the seller of real property for recording a deed for the sale. The rtf is calculated based. The realty transfer fee is imposed. Realty Transfer Fee New Jersey Calculator.
From loejedtbc.blob.core.windows.net
Do Vehicle Transfer Fees Have Gst at Carolyn Chevalier blog Realty Transfer Fee New Jersey Calculator Real estate transfer & mansion tax. This calculator is based on the state of new jersey's division of taxation's realty transfer fee page. The rtf is calculated based. The rtf is calculated based on the amount. The grantee is required to remit additional transfer fee of 1% of the consideration when the entire. The state imposes a realty transfer fee. Realty Transfer Fee New Jersey Calculator.
From curbelolaw.com
New Jersey realty transfer fee 2024 guidelines Curbelo Law Realty Transfer Fee New Jersey Calculator Real estate transfer & mansion tax. The state imposes a realty transfer fee (rtf) on the seller of real property for recording a deed for the sale. This calculator provides an estimate of the realty transfer fee (rtf) that you will need to pay when you sell real property in new jersey. The rtf is calculated based on the amount.. Realty Transfer Fee New Jersey Calculator.
From curbelolaw.com
New Jersey realty transfer fee 2024 guidelines Curbelo Law Realty Transfer Fee New Jersey Calculator Simply enter the property’s sale price, and our calculator will quickly provide an accurate estimate of the transfer tax you’ll owe. The realty transfer fee is imposed upon the recording of deeds evidencing transfers of title to real property in the. This calculator provides an estimate of the realty transfer fee (rtf) that you will need to pay when you. Realty Transfer Fee New Jersey Calculator.
From chamlinlaw.com
Key Information About the Realty Transfer Fee in NJ Realty Transfer Fee New Jersey Calculator The rtf is calculated based. This calculator provides an estimate of the realty transfer fee (rtf) that you will need to pay when you sell real property in new jersey. Simply enter your home’s sales price, with no commas and click. Simply enter the property’s sale price, and our calculator will quickly provide an accurate estimate of the transfer tax. Realty Transfer Fee New Jersey Calculator.
From www.templateroller.com
Form RTF3 Fill Out, Sign Online and Download Fillable PDF, New Realty Transfer Fee New Jersey Calculator The rtf is calculated based. The rtf is calculated based on the amount. This calculator is based on the state of new jersey's division of taxation's realty transfer fee page. New jersey law states a deed transferring real property from one legal entity to another legal entity that has common ownership. The state imposes a realty transfer fee (rtf) on. Realty Transfer Fee New Jersey Calculator.
From joiocqflc.blob.core.windows.net
New Jersey Real Estate Transfer Fee at Stephen Reese blog Realty Transfer Fee New Jersey Calculator The state imposes a realty transfer fee (rtf) on the seller of real property for recording a deed for the sale. Simply enter the property’s sale price, and our calculator will quickly provide an accurate estimate of the transfer tax you’ll owe. The state imposes a realty transfer fee (rtf) on the seller of real property for recording a deed. Realty Transfer Fee New Jersey Calculator.
From www.reddit.com
Is Realty Transfer fee same as transfer tax? r/FirstTimeHomeBuyer Realty Transfer Fee New Jersey Calculator This calculator is based on the state of new jersey's division of taxation's realty transfer fee page. The grantee is required to remit additional transfer fee of 1% of the consideration when the entire. The state imposes a realty transfer fee (rtf) on the seller of real property for recording a deed for the sale. The rtf is calculated based. Realty Transfer Fee New Jersey Calculator.
From www.linkedin.com
Realty Transfer Fees a Jersey Ripoff Realty Transfer Fee New Jersey Calculator This calculator provides an estimate of the realty transfer fee (rtf) that you will need to pay when you sell real property in new jersey. The state imposes a realty transfer fee (rtf) on the seller of real property for recording a deed for the sale. The state imposes a realty transfer fee (rtf) on the seller of real property. Realty Transfer Fee New Jersey Calculator.
From www.kilegal.com
New Jersey Transfer Taxes Realty Transfer Fee New Jersey Calculator The rtf is calculated based. The state imposes a realty transfer fee (rtf) on the seller of real property for recording a deed for the sale. The grantee is required to remit additional transfer fee of 1% of the consideration when the entire. New jersey law states a deed transferring real property from one legal entity to another legal entity. Realty Transfer Fee New Jersey Calculator.
From www.youtube.com
NJ Realty Transfer Fee Explained YouTube Realty Transfer Fee New Jersey Calculator Real estate transfer & mansion tax. The realty transfer fee is imposed upon the recording of deeds evidencing transfers of title to real property in the. Simply enter the property’s sale price, and our calculator will quickly provide an accurate estimate of the transfer tax you’ll owe. The state imposes a realty transfer fee (rtf) on the seller of real. Realty Transfer Fee New Jersey Calculator.
From chamlinlaw.com
Property Deeds Done Right in New Jersey Real Estate Transactions Realty Transfer Fee New Jersey Calculator The rtf is calculated based. Simply enter your home’s sales price, with no commas and click. The grantee is required to remit additional transfer fee of 1% of the consideration when the entire. Simply enter the property’s sale price, and our calculator will quickly provide an accurate estimate of the transfer tax you’ll owe. Calculate additional transfer fee : New. Realty Transfer Fee New Jersey Calculator.
From giopuensl.blob.core.windows.net
Real Estate Transfer Tax In Ct at Marc Head blog Realty Transfer Fee New Jersey Calculator The state imposes a realty transfer fee (rtf) on the seller of real property for recording a deed for the sale. This calculator is based on the state of new jersey's division of taxation's realty transfer fee page. Calculate additional transfer fee : The realty transfer fee is imposed upon the recording of deeds evidencing transfers of title to real. Realty Transfer Fee New Jersey Calculator.
From curbelolaw.com
New Jersey realty transfer fee 2024 guidelines Curbelo Law Realty Transfer Fee New Jersey Calculator The rtf is calculated based on the amount. This calculator is based on the state of new jersey's division of taxation's realty transfer fee page. Simply enter the property’s sale price, and our calculator will quickly provide an accurate estimate of the transfer tax you’ll owe. The realty transfer fee is imposed upon the recording of deeds evidencing transfers of. Realty Transfer Fee New Jersey Calculator.
From www.youtube.com
Realty Transfer Fee Clause Detection YouTube Realty Transfer Fee New Jersey Calculator The grantee is required to remit additional transfer fee of 1% of the consideration when the entire. Simply enter your home’s sales price, with no commas and click. Simply enter the property’s sale price, and our calculator will quickly provide an accurate estimate of the transfer tax you’ll owe. The state imposes a realty transfer fee (rtf) on the seller. Realty Transfer Fee New Jersey Calculator.
From www.templateroller.com
Form RTF3 Download Fillable PDF or Fill Online Claim for Refund Realty Transfer Fee New Jersey Calculator The state imposes a realty transfer fee (rtf) on the seller of real property for recording a deed for the sale. This calculator provides an estimate of the realty transfer fee (rtf) that you will need to pay when you sell real property in new jersey. Real estate transfer & mansion tax. New jersey law states a deed transferring real. Realty Transfer Fee New Jersey Calculator.
From nj1015.com
Bill Would Repeal NJ Realty Transfer Fees Realty Transfer Fee New Jersey Calculator The rtf is calculated based. The state imposes a realty transfer fee (rtf) on the seller of real property for recording a deed for the sale. Simply enter the property’s sale price, and our calculator will quickly provide an accurate estimate of the transfer tax you’ll owe. The grantee is required to remit additional transfer fee of 1% of the. Realty Transfer Fee New Jersey Calculator.
From mahanakornpartners.com
Extension of Realty Transfer Fee Reduction Measures MPG Realty Transfer Fee New Jersey Calculator The realty transfer fee is imposed upon the recording of deeds evidencing transfers of title to real property in the. The state imposes a realty transfer fee (rtf) on the seller of real property for recording a deed for the sale. Simply enter your home’s sales price, with no commas and click. This calculator provides an estimate of the realty. Realty Transfer Fee New Jersey Calculator.
From www.calculator.co.uk
International money transfer fee calculator Calculator Realty Transfer Fee New Jersey Calculator This calculator is based on the state of new jersey's division of taxation's realty transfer fee page. The rtf is calculated based on the amount. The grantee is required to remit additional transfer fee of 1% of the consideration when the entire. Simply enter your home’s sales price, with no commas and click. New jersey law states a deed transferring. Realty Transfer Fee New Jersey Calculator.
From cecsgzan.blob.core.windows.net
Closing Costs Calculator New Jersey at Norbert Laplant blog Realty Transfer Fee New Jersey Calculator The state imposes a realty transfer fee (rtf) on the seller of real property for recording a deed for the sale. The realty transfer fee is imposed upon the recording of deeds evidencing transfers of title to real property in the. Calculate additional transfer fee : The state imposes a realty transfer fee (rtf) on the seller of real property. Realty Transfer Fee New Jersey Calculator.
From tworiverstitle.com
New Jersey Transfer Tax Calculator Two Rivers Title Company LLC Realty Transfer Fee New Jersey Calculator Calculate additional transfer fee : The state imposes a realty transfer fee (rtf) on the seller of real property for recording a deed for the sale. The grantee is required to remit additional transfer fee of 1% of the consideration when the entire. Simply enter your home’s sales price, with no commas and click. This calculator provides an estimate of. Realty Transfer Fee New Jersey Calculator.
From www.templateroller.com
Form RTF3 Download Fillable PDF or Fill Online Claim for Refund Realty Transfer Fee New Jersey Calculator This calculator is based on the state of new jersey's division of taxation's realty transfer fee page. New jersey law states a deed transferring real property from one legal entity to another legal entity that has common ownership. The state imposes a realty transfer fee (rtf) on the seller of real property for recording a deed for the sale. The. Realty Transfer Fee New Jersey Calculator.
From exoyncooz.blob.core.windows.net
How Much Is The Mansion Tax In Nj at Derek Lacasse blog Realty Transfer Fee New Jersey Calculator The realty transfer fee is imposed upon the recording of deeds evidencing transfers of title to real property in the. The state imposes a realty transfer fee (rtf) on the seller of real property for recording a deed for the sale. Real estate transfer & mansion tax. The grantee is required to remit additional transfer fee of 1% of the. Realty Transfer Fee New Jersey Calculator.
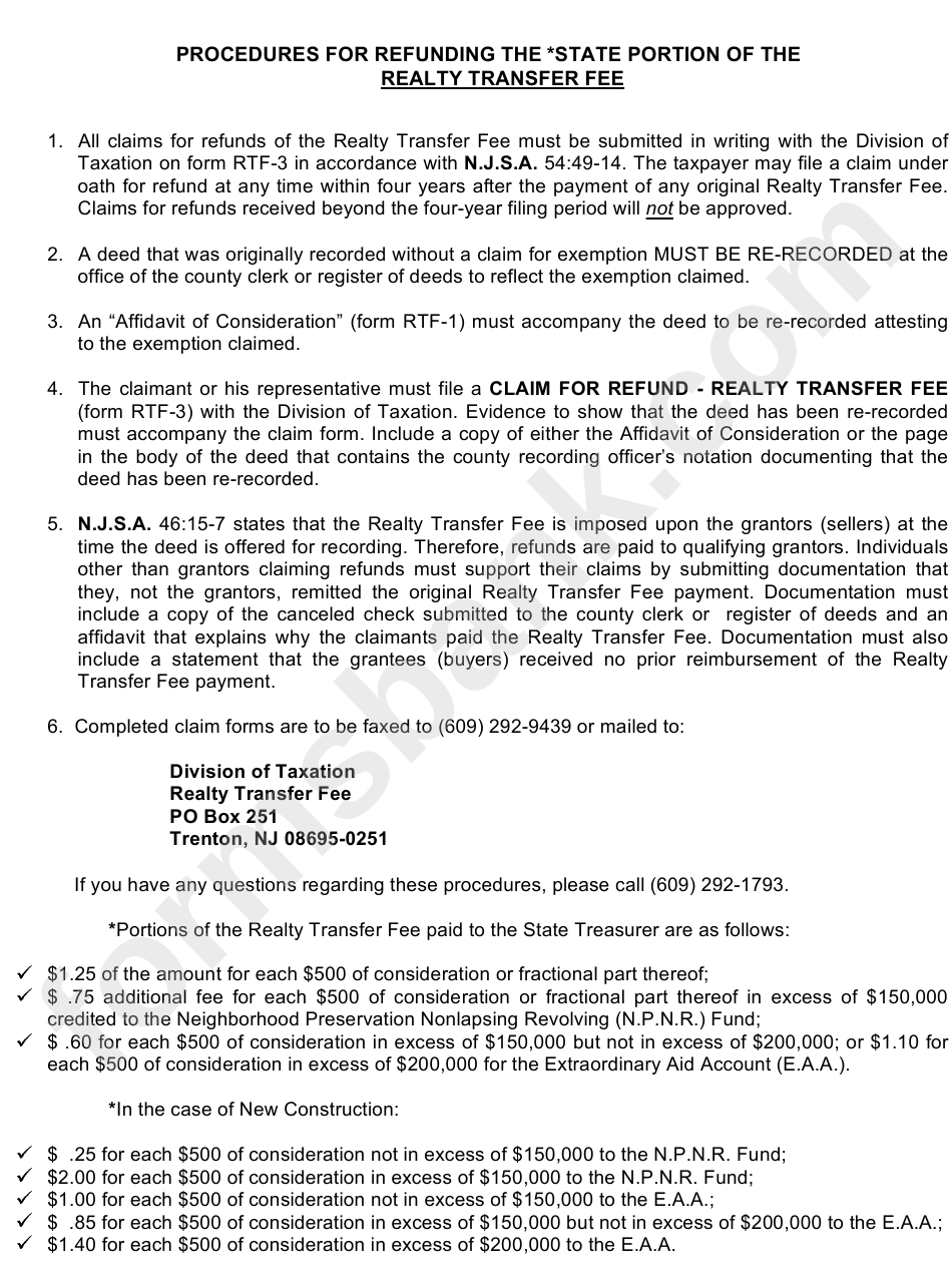
From www.formsbank.com
Instructions For Form Rtf3 Procedures For Refunding The *state Realty Transfer Fee New Jersey Calculator Real estate transfer & mansion tax. Simply enter the property’s sale price, and our calculator will quickly provide an accurate estimate of the transfer tax you’ll owe. The rtf is calculated based. The rtf is calculated based on the amount. This calculator is based on the state of new jersey's division of taxation's realty transfer fee page. Simply enter your. Realty Transfer Fee New Jersey Calculator.
From joiocqflc.blob.core.windows.net
New Jersey Real Estate Transfer Fee at Stephen Reese blog Realty Transfer Fee New Jersey Calculator The rtf is calculated based. This calculator provides an estimate of the realty transfer fee (rtf) that you will need to pay when you sell real property in new jersey. Calculate additional transfer fee : This calculator is based on the state of new jersey's division of taxation's realty transfer fee page. The state imposes a realty transfer fee (rtf). Realty Transfer Fee New Jersey Calculator.
From chamlinlaw.com
OutofState Residents Selling a House in NJ The NonResident Seller Realty Transfer Fee New Jersey Calculator The state imposes a realty transfer fee (rtf) on the seller of real property for recording a deed for the sale. Real estate transfer & mansion tax. The grantee is required to remit additional transfer fee of 1% of the consideration when the entire. This calculator provides an estimate of the realty transfer fee (rtf) that you will need to. Realty Transfer Fee New Jersey Calculator.
From loehlxvew.blob.core.windows.net
Realty Transfer Fee New Jersey Calculator at Melissa Martin blog Realty Transfer Fee New Jersey Calculator This calculator provides an estimate of the realty transfer fee (rtf) that you will need to pay when you sell real property in new jersey. The rtf is calculated based on the amount. The realty transfer fee is imposed upon the recording of deeds evidencing transfers of title to real property in the. The rtf is calculated based. The state. Realty Transfer Fee New Jersey Calculator.
From chamlinlaw.com
Key Information About the Realty Transfer Fee in NJ Realty Transfer Fee New Jersey Calculator The grantee is required to remit additional transfer fee of 1% of the consideration when the entire. The realty transfer fee is imposed upon the recording of deeds evidencing transfers of title to real property in the. New jersey law states a deed transferring real property from one legal entity to another legal entity that has common ownership. The rtf. Realty Transfer Fee New Jersey Calculator.
From dxooqdiav.blob.core.windows.net
How Is Transfer Tax Calculated In Nj at Constance Gordon blog Realty Transfer Fee New Jersey Calculator New jersey law states a deed transferring real property from one legal entity to another legal entity that has common ownership. Simply enter your home’s sales price, with no commas and click. The state imposes a realty transfer fee (rtf) on the seller of real property for recording a deed for the sale. Simply enter the property’s sale price, and. Realty Transfer Fee New Jersey Calculator.
From activerain.com
The New Jersey Realty Transfer Fee vs. the New Jersey Exit Tax Realty Transfer Fee New Jersey Calculator Simply enter the property’s sale price, and our calculator will quickly provide an accurate estimate of the transfer tax you’ll owe. Simply enter your home’s sales price, with no commas and click. The rtf is calculated based. The state imposes a realty transfer fee (rtf) on the seller of real property for recording a deed for the sale. This calculator. Realty Transfer Fee New Jersey Calculator.
From torrent-time.com
Quitclaim Deed What Are the Tax Implications? Money / NJ Division of Realty Transfer Fee New Jersey Calculator Calculate additional transfer fee : The state imposes a realty transfer fee (rtf) on the seller of real property for recording a deed for the sale. The realty transfer fee is imposed upon the recording of deeds evidencing transfers of title to real property in the. The rtf is calculated based on the amount. New jersey law states a deed. Realty Transfer Fee New Jersey Calculator.
From www.nyrentownsell.com
Rent, Buy & Sell Apartments in New York Real Estate Company Realty Transfer Fee New Jersey Calculator This calculator is based on the state of new jersey's division of taxation's realty transfer fee page. Simply enter your home’s sales price, with no commas and click. Real estate transfer & mansion tax. The rtf is calculated based on the amount. New jersey law states a deed transferring real property from one legal entity to another legal entity that. Realty Transfer Fee New Jersey Calculator.
From feecalculator.us
Cash App Instant Transfer Fee Calculator 2024 Realty Transfer Fee New Jersey Calculator The grantee is required to remit additional transfer fee of 1% of the consideration when the entire. The realty transfer fee is imposed upon the recording of deeds evidencing transfers of title to real property in the. The state imposes a realty transfer fee (rtf) on the seller of real property for recording a deed for the sale. New jersey. Realty Transfer Fee New Jersey Calculator.
From activerain.com
The New Jersey Realty Transfer Fee (RTF) and what it means to New Realty Transfer Fee New Jersey Calculator The rtf is calculated based. Calculate additional transfer fee : New jersey law states a deed transferring real property from one legal entity to another legal entity that has common ownership. The state imposes a realty transfer fee (rtf) on the seller of real property for recording a deed for the sale. This calculator provides an estimate of the realty. Realty Transfer Fee New Jersey Calculator.
From www.formsbirds.com
Claim for Refund Realty Transfer Fee New Jersey Free Download Realty Transfer Fee New Jersey Calculator The realty transfer fee is imposed upon the recording of deeds evidencing transfers of title to real property in the. The rtf is calculated based. The state imposes a realty transfer fee (rtf) on the seller of real property for recording a deed for the sale. Calculate additional transfer fee : The rtf is calculated based on the amount. The. Realty Transfer Fee New Jersey Calculator.