What Is The Purpose Of Representation Letter . Purpose of management representation letters. A management representation letter is a form letter written by a company's external auditors, which is signed by senior company. A management representation letter is a document provided by management to auditors to confirm the accuracy and completeness of financial. A representation letter is a form of written representation obtain from a client. Written representations are audit evidence that auditors. What is a representation letter? As a board member or manager of a community management company, you may be asked to sign a. Management representation letters serve as a formal. The letter of representations is a letter written from the association to its accountant representing that the financial statements for.
from studylib.net
As a board member or manager of a community management company, you may be asked to sign a. Purpose of management representation letters. Written representations are audit evidence that auditors. Management representation letters serve as a formal. A management representation letter is a form letter written by a company's external auditors, which is signed by senior company. A representation letter is a form of written representation obtain from a client. The letter of representations is a letter written from the association to its accountant representing that the financial statements for. A management representation letter is a document provided by management to auditors to confirm the accuracy and completeness of financial. What is a representation letter?
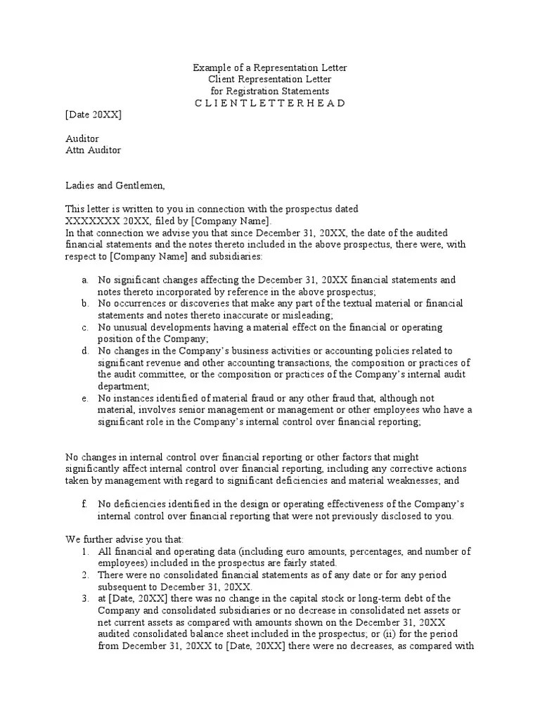
Illustrative Letter of Representation for Audit Engagements
What Is The Purpose Of Representation Letter As a board member or manager of a community management company, you may be asked to sign a. Written representations are audit evidence that auditors. A management representation letter is a document provided by management to auditors to confirm the accuracy and completeness of financial. A representation letter is a form of written representation obtain from a client. What is a representation letter? A management representation letter is a form letter written by a company's external auditors, which is signed by senior company. Purpose of management representation letters. The letter of representations is a letter written from the association to its accountant representing that the financial statements for. Management representation letters serve as a formal. As a board member or manager of a community management company, you may be asked to sign a.
From www.studypool.com
SOLUTION What is a representation letter what are its parts and what is it Studypool What Is The Purpose Of Representation Letter What is a representation letter? A representation letter is a form of written representation obtain from a client. As a board member or manager of a community management company, you may be asked to sign a. The letter of representations is a letter written from the association to its accountant representing that the financial statements for. A management representation letter. What Is The Purpose Of Representation Letter.
From www.richkphoto.com
Sample Letter Of Representation Of A Company Template Business Format What Is The Purpose Of Representation Letter A representation letter is a form of written representation obtain from a client. As a board member or manager of a community management company, you may be asked to sign a. The letter of representations is a letter written from the association to its accountant representing that the financial statements for. What is a representation letter? A management representation letter. What Is The Purpose Of Representation Letter.
From www.pdffiller.com
Predrafted Letter of Representation Doc Template pdfFiller What Is The Purpose Of Representation Letter Purpose of management representation letters. A management representation letter is a document provided by management to auditors to confirm the accuracy and completeness of financial. What is a representation letter? As a board member or manager of a community management company, you may be asked to sign a. Written representations are audit evidence that auditors. Management representation letters serve as. What Is The Purpose Of Representation Letter.
From studylib.net
Illustrative Representation Letter What Is The Purpose Of Representation Letter Management representation letters serve as a formal. Purpose of management representation letters. A management representation letter is a document provided by management to auditors to confirm the accuracy and completeness of financial. As a board member or manager of a community management company, you may be asked to sign a. What is a representation letter? Written representations are audit evidence. What Is The Purpose Of Representation Letter.
From studylib.net
Example of a Management Representation Letter What Is The Purpose Of Representation Letter A management representation letter is a form letter written by a company's external auditors, which is signed by senior company. Management representation letters serve as a formal. What is a representation letter? A representation letter is a form of written representation obtain from a client. The letter of representations is a letter written from the association to its accountant representing. What Is The Purpose Of Representation Letter.
From www.richkphoto.com
Sample Letter Authorizing Representation Template Business Format What Is The Purpose Of Representation Letter Written representations are audit evidence that auditors. Management representation letters serve as a formal. The letter of representations is a letter written from the association to its accountant representing that the financial statements for. A management representation letter is a document provided by management to auditors to confirm the accuracy and completeness of financial. What is a representation letter? A. What Is The Purpose Of Representation Letter.
From www.studocu.com
Sample Managment Representation Letter Illustrative Management Representation Letter (TO BE What Is The Purpose Of Representation Letter A management representation letter is a document provided by management to auditors to confirm the accuracy and completeness of financial. A management representation letter is a form letter written by a company's external auditors, which is signed by senior company. Purpose of management representation letters. The letter of representations is a letter written from the association to its accountant representing. What Is The Purpose Of Representation Letter.
From exycjiprq.blob.core.windows.net
What Is Letter Of Representation And Its Purpose at Bessie Oliver blog What Is The Purpose Of Representation Letter Written representations are audit evidence that auditors. A management representation letter is a form letter written by a company's external auditors, which is signed by senior company. A representation letter is a form of written representation obtain from a client. As a board member or manager of a community management company, you may be asked to sign a. What is. What Is The Purpose Of Representation Letter.
From attorney-faq.com
What Is An Attorney Letter Of Representation What Is The Purpose Of Representation Letter As a board member or manager of a community management company, you may be asked to sign a. A management representation letter is a form letter written by a company's external auditors, which is signed by senior company. What is a representation letter? The letter of representations is a letter written from the association to its accountant representing that the. What Is The Purpose Of Representation Letter.
From www.scribd.com
Example of A Representation Letter PDF Internal Control Financial Statement What Is The Purpose Of Representation Letter As a board member or manager of a community management company, you may be asked to sign a. Written representations are audit evidence that auditors. What is a representation letter? Management representation letters serve as a formal. Purpose of management representation letters. A representation letter is a form of written representation obtain from a client. A management representation letter is. What Is The Purpose Of Representation Letter.
From studylib.net
Illustrative Letter of Representation for Audit Engagements What Is The Purpose Of Representation Letter Written representations are audit evidence that auditors. A management representation letter is a document provided by management to auditors to confirm the accuracy and completeness of financial. What is a representation letter? The letter of representations is a letter written from the association to its accountant representing that the financial statements for. A representation letter is a form of written. What Is The Purpose Of Representation Letter.
From alderascript.blogspot.com
How To Write A Letter Of Representation Alder Script What Is The Purpose Of Representation Letter Management representation letters serve as a formal. Purpose of management representation letters. A management representation letter is a form letter written by a company's external auditors, which is signed by senior company. Written representations are audit evidence that auditors. What is a representation letter? As a board member or manager of a community management company, you may be asked to. What Is The Purpose Of Representation Letter.
From exycjiprq.blob.core.windows.net
What Is Letter Of Representation And Its Purpose at Bessie Oliver blog What Is The Purpose Of Representation Letter The letter of representations is a letter written from the association to its accountant representing that the financial statements for. As a board member or manager of a community management company, you may be asked to sign a. A management representation letter is a document provided by management to auditors to confirm the accuracy and completeness of financial. A representation. What Is The Purpose Of Representation Letter.
From www.richkphoto.com
Sample Letter Of Representation Of A Company Template Business Format What Is The Purpose Of Representation Letter The letter of representations is a letter written from the association to its accountant representing that the financial statements for. A management representation letter is a document provided by management to auditors to confirm the accuracy and completeness of financial. Management representation letters serve as a formal. As a board member or manager of a community management company, you may. What Is The Purpose Of Representation Letter.
From www.signnow.com
Letter of Representation Complete with ease airSlate SignNow What Is The Purpose Of Representation Letter Management representation letters serve as a formal. Written representations are audit evidence that auditors. A management representation letter is a form letter written by a company's external auditors, which is signed by senior company. The letter of representations is a letter written from the association to its accountant representing that the financial statements for. What is a representation letter? A. What Is The Purpose Of Representation Letter.
From www.richkphoto.com
Sample Letter Authorizing Representation Template Business Format What Is The Purpose Of Representation Letter As a board member or manager of a community management company, you may be asked to sign a. Management representation letters serve as a formal. A management representation letter is a document provided by management to auditors to confirm the accuracy and completeness of financial. What is a representation letter? The letter of representations is a letter written from the. What Is The Purpose Of Representation Letter.
From studylib.net
Example of a Representation Letter What Is The Purpose Of Representation Letter What is a representation letter? Written representations are audit evidence that auditors. The letter of representations is a letter written from the association to its accountant representing that the financial statements for. Management representation letters serve as a formal. As a board member or manager of a community management company, you may be asked to sign a. Purpose of management. What Is The Purpose Of Representation Letter.
From studylib.net
PROFORMA LETTER OF REPRESENTATION What Is The Purpose Of Representation Letter A representation letter is a form of written representation obtain from a client. What is a representation letter? A management representation letter is a document provided by management to auditors to confirm the accuracy and completeness of financial. Purpose of management representation letters. A management representation letter is a form letter written by a company's external auditors, which is signed. What Is The Purpose Of Representation Letter.
From dxormflck.blob.core.windows.net
What Is A Letter Of Representation From An Attorney at Carrie Hill blog What Is The Purpose Of Representation Letter A representation letter is a form of written representation obtain from a client. A management representation letter is a document provided by management to auditors to confirm the accuracy and completeness of financial. Management representation letters serve as a formal. What is a representation letter? The letter of representations is a letter written from the association to its accountant representing. What Is The Purpose Of Representation Letter.
From www.formsbank.com
Legal Representation Letter Template printable pdf download What Is The Purpose Of Representation Letter As a board member or manager of a community management company, you may be asked to sign a. Management representation letters serve as a formal. The letter of representations is a letter written from the association to its accountant representing that the financial statements for. What is a representation letter? A management representation letter is a form letter written by. What Is The Purpose Of Representation Letter.
From lawrina.org
What Is an Attorney Letter of Representation? Lawrina What Is The Purpose Of Representation Letter The letter of representations is a letter written from the association to its accountant representing that the financial statements for. A management representation letter is a form letter written by a company's external auditors, which is signed by senior company. As a board member or manager of a community management company, you may be asked to sign a. What is. What Is The Purpose Of Representation Letter.
From studylib.net
Sample Management Representation Letter What Is The Purpose Of Representation Letter A management representation letter is a form letter written by a company's external auditors, which is signed by senior company. Management representation letters serve as a formal. Purpose of management representation letters. The letter of representations is a letter written from the association to its accountant representing that the financial statements for. A management representation letter is a document provided. What Is The Purpose Of Representation Letter.
From studylib.net
Format of Representation Letter (To be obtained on client's What Is The Purpose Of Representation Letter A management representation letter is a form letter written by a company's external auditors, which is signed by senior company. Management representation letters serve as a formal. The letter of representations is a letter written from the association to its accountant representing that the financial statements for. A management representation letter is a document provided by management to auditors to. What Is The Purpose Of Representation Letter.
From www.richkphoto.com
Sample Letter Of Representation Of A Company Template Business Format What Is The Purpose Of Representation Letter A management representation letter is a document provided by management to auditors to confirm the accuracy and completeness of financial. As a board member or manager of a community management company, you may be asked to sign a. A management representation letter is a form letter written by a company's external auditors, which is signed by senior company. A representation. What Is The Purpose Of Representation Letter.
From studylib.net
example representation letter What Is The Purpose Of Representation Letter What is a representation letter? Written representations are audit evidence that auditors. A representation letter is a form of written representation obtain from a client. As a board member or manager of a community management company, you may be asked to sign a. The letter of representations is a letter written from the association to its accountant representing that the. What Is The Purpose Of Representation Letter.
From www.templateroller.com
Letter of Representation Template Fill Out, Sign Online and Download PDF Templateroller What Is The Purpose Of Representation Letter A management representation letter is a form letter written by a company's external auditors, which is signed by senior company. The letter of representations is a letter written from the association to its accountant representing that the financial statements for. Purpose of management representation letters. What is a representation letter? A representation letter is a form of written representation obtain. What Is The Purpose Of Representation Letter.
From digital.library.unt.edu
Financial Audit The Department of State's Fiscal Year 2004 Management Representation Letter on What Is The Purpose Of Representation Letter A management representation letter is a document provided by management to auditors to confirm the accuracy and completeness of financial. A management representation letter is a form letter written by a company's external auditors, which is signed by senior company. Purpose of management representation letters. What is a representation letter? The letter of representations is a letter written from the. What Is The Purpose Of Representation Letter.
From www.yumpu.com
Letter of Representation What Is The Purpose Of Representation Letter The letter of representations is a letter written from the association to its accountant representing that the financial statements for. Written representations are audit evidence that auditors. Purpose of management representation letters. A representation letter is a form of written representation obtain from a client. A management representation letter is a document provided by management to auditors to confirm the. What Is The Purpose Of Representation Letter.
From sherianajamii.com
Attorney Letter Of Representation 2024 (guide + 2 Samples) Sheria Na Jamii What Is The Purpose Of Representation Letter What is a representation letter? A management representation letter is a document provided by management to auditors to confirm the accuracy and completeness of financial. A management representation letter is a form letter written by a company's external auditors, which is signed by senior company. Written representations are audit evidence that auditors. Management representation letters serve as a formal. A. What Is The Purpose Of Representation Letter.
From studylib.net
Management representation letter What Is The Purpose Of Representation Letter As a board member or manager of a community management company, you may be asked to sign a. The letter of representations is a letter written from the association to its accountant representing that the financial statements for. What is a representation letter? Purpose of management representation letters. Written representations are audit evidence that auditors. A representation letter is a. What Is The Purpose Of Representation Letter.
From exycjiprq.blob.core.windows.net
What Is Letter Of Representation And Its Purpose at Bessie Oliver blog What Is The Purpose Of Representation Letter Written representations are audit evidence that auditors. A representation letter is a form of written representation obtain from a client. Management representation letters serve as a formal. The letter of representations is a letter written from the association to its accountant representing that the financial statements for. What is a representation letter? A management representation letter is a form letter. What Is The Purpose Of Representation Letter.
From templates.rjuuc.edu.np
Letter Of Representation Template What Is The Purpose Of Representation Letter What is a representation letter? The letter of representations is a letter written from the association to its accountant representing that the financial statements for. Management representation letters serve as a formal. A representation letter is a form of written representation obtain from a client. As a board member or manager of a community management company, you may be asked. What Is The Purpose Of Representation Letter.
From www.scribd.com
Letter of Representation Audit of Financial Statements Financial Statement Going Concern What Is The Purpose Of Representation Letter A management representation letter is a document provided by management to auditors to confirm the accuracy and completeness of financial. The letter of representations is a letter written from the association to its accountant representing that the financial statements for. Management representation letters serve as a formal. A representation letter is a form of written representation obtain from a client.. What Is The Purpose Of Representation Letter.
From mage02.technogym.com
Letter Of Representation Template What Is The Purpose Of Representation Letter Written representations are audit evidence that auditors. Purpose of management representation letters. As a board member or manager of a community management company, you may be asked to sign a. A management representation letter is a form letter written by a company's external auditors, which is signed by senior company. Management representation letters serve as a formal. A management representation. What Is The Purpose Of Representation Letter.
From www.slideshare.net
Management representation letter sample public limited listed compani⦠What Is The Purpose Of Representation Letter As a board member or manager of a community management company, you may be asked to sign a. Management representation letters serve as a formal. Purpose of management representation letters. What is a representation letter? A representation letter is a form of written representation obtain from a client. A management representation letter is a document provided by management to auditors. What Is The Purpose Of Representation Letter.