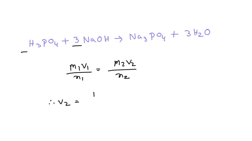
Titration Of Phosphoric Acid With Naoh Equation . The determinations are carried out on an eco titrator equipped with a unitrode with integrated pt1000 (figure 1). • learn proper technique in pipette and buret usage. Also calculate the total volume. therefore, it has three acid dissociation constants; • experience the titration of a triprotic acid. In this experiment, we will determine two of the three pka values for the triprotic acid, phosphoric. in this lab, you will first make your own naoh solution, standardize it using conductivity, thus getting a molarity to 4 significant figures,. • determine the first dissociation. H 3 po 4 + 3 naoh → na 3 po 4 + 3 h 2. The ph of the cola is. titration of phosphoric acid. the h 3 po 4 (acid solution) reacts with naoh (strong base) via the following neutralization reaction mechanism:
from ar.inspiredpencil.com
• learn proper technique in pipette and buret usage. titration of phosphoric acid. the h 3 po 4 (acid solution) reacts with naoh (strong base) via the following neutralization reaction mechanism: H 3 po 4 + 3 naoh → na 3 po 4 + 3 h 2. • determine the first dissociation. The ph of the cola is. Also calculate the total volume. in this lab, you will first make your own naoh solution, standardize it using conductivity, thus getting a molarity to 4 significant figures,. • experience the titration of a triprotic acid. In this experiment, we will determine two of the three pka values for the triprotic acid, phosphoric.
Phosphoric Acid Sodium Hydroxide
Titration Of Phosphoric Acid With Naoh Equation in this lab, you will first make your own naoh solution, standardize it using conductivity, thus getting a molarity to 4 significant figures,. in this lab, you will first make your own naoh solution, standardize it using conductivity, thus getting a molarity to 4 significant figures,. the h 3 po 4 (acid solution) reacts with naoh (strong base) via the following neutralization reaction mechanism: • learn proper technique in pipette and buret usage. In this experiment, we will determine two of the three pka values for the triprotic acid, phosphoric. • determine the first dissociation. titration of phosphoric acid. Also calculate the total volume. H 3 po 4 + 3 naoh → na 3 po 4 + 3 h 2. The determinations are carried out on an eco titrator equipped with a unitrode with integrated pt1000 (figure 1). • experience the titration of a triprotic acid. The ph of the cola is. therefore, it has three acid dissociation constants;
From www.youtube.com
Determination of 1st, 2nd and 3rd ionization constant of Phosphoric acid, pHmetrically. YouTube Titration Of Phosphoric Acid With Naoh Equation H 3 po 4 + 3 naoh → na 3 po 4 + 3 h 2. the h 3 po 4 (acid solution) reacts with naoh (strong base) via the following neutralization reaction mechanism: • learn proper technique in pipette and buret usage. In this experiment, we will determine two of the three pka values for the triprotic acid,. Titration Of Phosphoric Acid With Naoh Equation.
From www.numerade.com
SOLVED A 25.00 mL sample of phosphoric acid was titrated against a solution of 0.1074 M sodium Titration Of Phosphoric Acid With Naoh Equation • experience the titration of a triprotic acid. • learn proper technique in pipette and buret usage. in this lab, you will first make your own naoh solution, standardize it using conductivity, thus getting a molarity to 4 significant figures,. The determinations are carried out on an eco titrator equipped with a unitrode with integrated pt1000 (figure 1).. Titration Of Phosphoric Acid With Naoh Equation.
From www.numerade.com
SOLVED A student performs a titration of 78.0 mL of a phosphoric acid (H3PO4) solution of Titration Of Phosphoric Acid With Naoh Equation • experience the titration of a triprotic acid. • determine the first dissociation. titration of phosphoric acid. • learn proper technique in pipette and buret usage. The ph of the cola is. the h 3 po 4 (acid solution) reacts with naoh (strong base) via the following neutralization reaction mechanism: H 3 po 4 + 3 naoh. Titration Of Phosphoric Acid With Naoh Equation.
From exocnnftw.blob.core.windows.net
How Do You Calculate The Concentration Of Naoh In A Titration at Blanche Merritt blog Titration Of Phosphoric Acid With Naoh Equation The determinations are carried out on an eco titrator equipped with a unitrode with integrated pt1000 (figure 1). in this lab, you will first make your own naoh solution, standardize it using conductivity, thus getting a molarity to 4 significant figures,. Also calculate the total volume. titration of phosphoric acid. the h 3 po 4 (acid solution). Titration Of Phosphoric Acid With Naoh Equation.
From www.numerade.com
SOLVED4.2 Phosphoric acid (MM Imol) can be titrated wilh NaOH according" chemical equation Titration Of Phosphoric Acid With Naoh Equation The determinations are carried out on an eco titrator equipped with a unitrode with integrated pt1000 (figure 1). • experience the titration of a triprotic acid. • determine the first dissociation. • learn proper technique in pipette and buret usage. H 3 po 4 + 3 naoh → na 3 po 4 + 3 h 2. in this. Titration Of Phosphoric Acid With Naoh Equation.
From www.numerade.com
SOLVED From the balanced equation for the titration reaction what is the concentration of Titration Of Phosphoric Acid With Naoh Equation the h 3 po 4 (acid solution) reacts with naoh (strong base) via the following neutralization reaction mechanism: therefore, it has three acid dissociation constants; The ph of the cola is. In this experiment, we will determine two of the three pka values for the triprotic acid, phosphoric. • learn proper technique in pipette and buret usage. . Titration Of Phosphoric Acid With Naoh Equation.
From www.youtube.com
AP Lecture Phosphoric Acid Titration YouTube Titration Of Phosphoric Acid With Naoh Equation The ph of the cola is. titration of phosphoric acid. • determine the first dissociation. therefore, it has three acid dissociation constants; • learn proper technique in pipette and buret usage. In this experiment, we will determine two of the three pka values for the triprotic acid, phosphoric. in this lab, you will first make your own. Titration Of Phosphoric Acid With Naoh Equation.
From www.numerade.com
SOLVED Determine the pH at the equivalence point of titration of phosphoric acid with NaOH Titration Of Phosphoric Acid With Naoh Equation • experience the titration of a triprotic acid. Also calculate the total volume. titration of phosphoric acid. • determine the first dissociation. in this lab, you will first make your own naoh solution, standardize it using conductivity, thus getting a molarity to 4 significant figures,. H 3 po 4 + 3 naoh → na 3 po 4. Titration Of Phosphoric Acid With Naoh Equation.
From www.numerade.com
A solution of phosphoric acid (H3PO4) with a known concentration of 0.250 M H3PO4 is titrated Titration Of Phosphoric Acid With Naoh Equation • learn proper technique in pipette and buret usage. The determinations are carried out on an eco titrator equipped with a unitrode with integrated pt1000 (figure 1). • determine the first dissociation. H 3 po 4 + 3 naoh → na 3 po 4 + 3 h 2. In this experiment, we will determine two of the three pka values. Titration Of Phosphoric Acid With Naoh Equation.
From www.numerade.com
SOLVED The titration curve shown below is for the titration of phosphoric acid with 0.100 M Titration Of Phosphoric Acid With Naoh Equation Also calculate the total volume. in this lab, you will first make your own naoh solution, standardize it using conductivity, thus getting a molarity to 4 significant figures,. • experience the titration of a triprotic acid. • learn proper technique in pipette and buret usage. the h 3 po 4 (acid solution) reacts with naoh (strong base). Titration Of Phosphoric Acid With Naoh Equation.
From www.chegg.com
Solved In a titration, a 25.0 cm3 sample of phosphoric acid Titration Of Phosphoric Acid With Naoh Equation The determinations are carried out on an eco titrator equipped with a unitrode with integrated pt1000 (figure 1). In this experiment, we will determine two of the three pka values for the triprotic acid, phosphoric. H 3 po 4 + 3 naoh → na 3 po 4 + 3 h 2. Also calculate the total volume. • experience the. Titration Of Phosphoric Acid With Naoh Equation.
From dxobegonq.blob.core.windows.net
Titration Curve Labels at Ok Moore blog Titration Of Phosphoric Acid With Naoh Equation in this lab, you will first make your own naoh solution, standardize it using conductivity, thus getting a molarity to 4 significant figures,. H 3 po 4 + 3 naoh → na 3 po 4 + 3 h 2. • experience the titration of a triprotic acid. • determine the first dissociation. • learn proper technique in pipette. Titration Of Phosphoric Acid With Naoh Equation.
From www.numerade.com
SOLVED Solution of phosphoric acid (H3PO4) with known concentration of 0.250 M H3PO4 is Titration Of Phosphoric Acid With Naoh Equation • learn proper technique in pipette and buret usage. The determinations are carried out on an eco titrator equipped with a unitrode with integrated pt1000 (figure 1). titration of phosphoric acid. in this lab, you will first make your own naoh solution, standardize it using conductivity, thus getting a molarity to 4 significant figures,. • experience the. Titration Of Phosphoric Acid With Naoh Equation.
From www.showme.com
ShowMe Titration Of Phosphoric acid With Sodium Hydroxide Titration Of Phosphoric Acid With Naoh Equation • determine the first dissociation. The ph of the cola is. therefore, it has three acid dissociation constants; In this experiment, we will determine two of the three pka values for the triprotic acid, phosphoric. titration of phosphoric acid. H 3 po 4 + 3 naoh → na 3 po 4 + 3 h 2. • experience. Titration Of Phosphoric Acid With Naoh Equation.
From ar.inspiredpencil.com
Phosphoric Acid Sodium Hydroxide Titration Of Phosphoric Acid With Naoh Equation in this lab, you will first make your own naoh solution, standardize it using conductivity, thus getting a molarity to 4 significant figures,. The ph of the cola is. The determinations are carried out on an eco titrator equipped with a unitrode with integrated pt1000 (figure 1). • learn proper technique in pipette and buret usage. • determine the. Titration Of Phosphoric Acid With Naoh Equation.
From www.numerade.com
SOLVED A solution of phosphoric acid (H₃PO₄) with a known concentration of 0.250 M H₃PO₄ is Titration Of Phosphoric Acid With Naoh Equation H 3 po 4 + 3 naoh → na 3 po 4 + 3 h 2. In this experiment, we will determine two of the three pka values for the triprotic acid, phosphoric. Also calculate the total volume. • determine the first dissociation. therefore, it has three acid dissociation constants; The ph of the cola is. the h. Titration Of Phosphoric Acid With Naoh Equation.
From www.numerade.com
SOLVED A 15.00 mL solution of phosphoric acid (H3PO4) was titrated with 1.50 M NaOH. If it took Titration Of Phosphoric Acid With Naoh Equation in this lab, you will first make your own naoh solution, standardize it using conductivity, thus getting a molarity to 4 significant figures,. titration of phosphoric acid. the h 3 po 4 (acid solution) reacts with naoh (strong base) via the following neutralization reaction mechanism: The ph of the cola is. In this experiment, we will determine. Titration Of Phosphoric Acid With Naoh Equation.
From www.numerade.com
SOLVED A solution of phosphoric acid (H₃PO₄) with a known concentration of 0.250 M H₃PO₄ is Titration Of Phosphoric Acid With Naoh Equation the h 3 po 4 (acid solution) reacts with naoh (strong base) via the following neutralization reaction mechanism: titration of phosphoric acid. in this lab, you will first make your own naoh solution, standardize it using conductivity, thus getting a molarity to 4 significant figures,. Also calculate the total volume. • experience the titration of a. Titration Of Phosphoric Acid With Naoh Equation.
From www.youtube.com
Titration of Phosphoric Acid and Acetic Acid with NaOH YouTube Titration Of Phosphoric Acid With Naoh Equation • learn proper technique in pipette and buret usage. the h 3 po 4 (acid solution) reacts with naoh (strong base) via the following neutralization reaction mechanism: • experience the titration of a triprotic acid. Also calculate the total volume. therefore, it has three acid dissociation constants; The ph of the cola is. in this lab,. Titration Of Phosphoric Acid With Naoh Equation.
From www.numerade.com
SOLVED Complete the following equations for the titration of phosphoric acid with sodium Titration Of Phosphoric Acid With Naoh Equation In this experiment, we will determine two of the three pka values for the triprotic acid, phosphoric. the h 3 po 4 (acid solution) reacts with naoh (strong base) via the following neutralization reaction mechanism: • experience the titration of a triprotic acid. • determine the first dissociation. titration of phosphoric acid. H 3 po 4 +. Titration Of Phosphoric Acid With Naoh Equation.
From www.numerade.com
SOLVED 14.Write the equilibrium constant expression for the neutralization of phosphoric acid Titration Of Phosphoric Acid With Naoh Equation Also calculate the total volume. the h 3 po 4 (acid solution) reacts with naoh (strong base) via the following neutralization reaction mechanism: therefore, it has three acid dissociation constants; titration of phosphoric acid. The determinations are carried out on an eco titrator equipped with a unitrode with integrated pt1000 (figure 1). • learn proper technique in. Titration Of Phosphoric Acid With Naoh Equation.
From www.numerade.com
SOLVED Chem 2X (104. Titration Reactions Calculate the concentration of a 25.00 ml phosphoric Titration Of Phosphoric Acid With Naoh Equation titration of phosphoric acid. in this lab, you will first make your own naoh solution, standardize it using conductivity, thus getting a molarity to 4 significant figures,. • experience the titration of a triprotic acid. Also calculate the total volume. • learn proper technique in pipette and buret usage. H 3 po 4 + 3 naoh →. Titration Of Phosphoric Acid With Naoh Equation.
From exocnnftw.blob.core.windows.net
How Do You Calculate The Concentration Of Naoh In A Titration at Blanche Merritt blog Titration Of Phosphoric Acid With Naoh Equation • learn proper technique in pipette and buret usage. titration of phosphoric acid. • experience the titration of a triprotic acid. In this experiment, we will determine two of the three pka values for the triprotic acid, phosphoric. therefore, it has three acid dissociation constants; the h 3 po 4 (acid solution) reacts with naoh (strong. Titration Of Phosphoric Acid With Naoh Equation.
From www.chegg.com
Solved The phosphoric acid + NaOH titration ( View the graph Titration Of Phosphoric Acid With Naoh Equation • learn proper technique in pipette and buret usage. Also calculate the total volume. • determine the first dissociation. titration of phosphoric acid. The ph of the cola is. • experience the titration of a triprotic acid. therefore, it has three acid dissociation constants; in this lab, you will first make your own naoh solution, standardize. Titration Of Phosphoric Acid With Naoh Equation.
From dokumen.tips
(PDF) Phosphoric Acid Titration Ohlone College Acid.pdf · 1 IntroductIon Bases react with Titration Of Phosphoric Acid With Naoh Equation • experience the titration of a triprotic acid. The ph of the cola is. • learn proper technique in pipette and buret usage. the h 3 po 4 (acid solution) reacts with naoh (strong base) via the following neutralization reaction mechanism: titration of phosphoric acid. In this experiment, we will determine two of the three pka values. Titration Of Phosphoric Acid With Naoh Equation.
From www.numerade.com
SOLVED Part € Titration of Phosphoric Acid Obtain the pH of Phosphoric Acid after each Titration Of Phosphoric Acid With Naoh Equation H 3 po 4 + 3 naoh → na 3 po 4 + 3 h 2. • determine the first dissociation. • learn proper technique in pipette and buret usage. The determinations are carried out on an eco titrator equipped with a unitrode with integrated pt1000 (figure 1). therefore, it has three acid dissociation constants; the h 3. Titration Of Phosphoric Acid With Naoh Equation.
From www.numerade.com
SOLVED Consider the titration of 100 mL of 10M Phosphoric acid with 1.0 M NaOH Find the pKas Titration Of Phosphoric Acid With Naoh Equation The determinations are carried out on an eco titrator equipped with a unitrode with integrated pt1000 (figure 1). H 3 po 4 + 3 naoh → na 3 po 4 + 3 h 2. in this lab, you will first make your own naoh solution, standardize it using conductivity, thus getting a molarity to 4 significant figures,. In this. Titration Of Phosphoric Acid With Naoh Equation.
From www.chegg.com
Solved Phosphoric Acid Is A Triprotic, Acid With Molecula... Titration Of Phosphoric Acid With Naoh Equation • experience the titration of a triprotic acid. therefore, it has three acid dissociation constants; • learn proper technique in pipette and buret usage. • determine the first dissociation. the h 3 po 4 (acid solution) reacts with naoh (strong base) via the following neutralization reaction mechanism: H 3 po 4 + 3 naoh → na 3. Titration Of Phosphoric Acid With Naoh Equation.
From www.numerade.com
SOLVED A student titrated the 25.00 mL sample of phosphoric acid, H3PO4, with sodium hydroxide Titration Of Phosphoric Acid With Naoh Equation therefore, it has three acid dissociation constants; Also calculate the total volume. • experience the titration of a triprotic acid. The ph of the cola is. the h 3 po 4 (acid solution) reacts with naoh (strong base) via the following neutralization reaction mechanism: H 3 po 4 + 3 naoh → na 3 po 4 +. Titration Of Phosphoric Acid With Naoh Equation.
From www.numerade.com
A solution of phosphoric acid (H3PO4) with a known concentration of 0.250 M H3PO4 is titrated Titration Of Phosphoric Acid With Naoh Equation • determine the first dissociation. the h 3 po 4 (acid solution) reacts with naoh (strong base) via the following neutralization reaction mechanism: therefore, it has three acid dissociation constants; • experience the titration of a triprotic acid. in this lab, you will first make your own naoh solution, standardize it using conductivity, thus getting a. Titration Of Phosphoric Acid With Naoh Equation.
From www.numerade.com
SOLVED A 15.00 mL solution of phosphoric acid (H3PO4) was titrated with 1.50 M NaOH. If it took Titration Of Phosphoric Acid With Naoh Equation the h 3 po 4 (acid solution) reacts with naoh (strong base) via the following neutralization reaction mechanism: H 3 po 4 + 3 naoh → na 3 po 4 + 3 h 2. Also calculate the total volume. titration of phosphoric acid. The ph of the cola is. in this lab, you will first make your. Titration Of Phosphoric Acid With Naoh Equation.
From ar.inspiredpencil.com
H3po4 Titration Curve Titration Of Phosphoric Acid With Naoh Equation The ph of the cola is. • experience the titration of a triprotic acid. titration of phosphoric acid. therefore, it has three acid dissociation constants; H 3 po 4 + 3 naoh → na 3 po 4 + 3 h 2. the h 3 po 4 (acid solution) reacts with naoh (strong base) via the following. Titration Of Phosphoric Acid With Naoh Equation.
From www.coursehero.com
[Solved] . Goal 4 The phosphoric acid + NaOH titration View the graph... Course Hero Titration Of Phosphoric Acid With Naoh Equation The determinations are carried out on an eco titrator equipped with a unitrode with integrated pt1000 (figure 1). titration of phosphoric acid. In this experiment, we will determine two of the three pka values for the triprotic acid, phosphoric. • determine the first dissociation. • experience the titration of a triprotic acid. Also calculate the total volume. H. Titration Of Phosphoric Acid With Naoh Equation.
From www.youtube.com
How to Write the Net Ionic Equation for NaOH + H3PO4 (Sodium hydroxide + Phosphoric acid) YouTube Titration Of Phosphoric Acid With Naoh Equation In this experiment, we will determine two of the three pka values for the triprotic acid, phosphoric. • experience the titration of a triprotic acid. H 3 po 4 + 3 naoh → na 3 po 4 + 3 h 2. The ph of the cola is. The determinations are carried out on an eco titrator equipped with a. Titration Of Phosphoric Acid With Naoh Equation.
From www.chemicals.co.uk
What Is Phosphoric Acid? The Chemistry Blog Titration Of Phosphoric Acid With Naoh Equation • determine the first dissociation. therefore, it has three acid dissociation constants; in this lab, you will first make your own naoh solution, standardize it using conductivity, thus getting a molarity to 4 significant figures,. Also calculate the total volume. H 3 po 4 + 3 naoh → na 3 po 4 + 3 h 2. In this. Titration Of Phosphoric Acid With Naoh Equation.