Optical Invariant Equation . The product has several names including the optical invariant, lagrange invariant, and smith. There are four main optical invariants: For equal refractive index, the product θ 1 h 1 is invariant through an optical system. The optical invariant is a useful tool that allows optical designers to determine various values without having to completely ray trace a system. The lagrange invariant or the optical invariant.
from www.slideserve.com
The optical invariant is a useful tool that allows optical designers to determine various values without having to completely ray trace a system. There are four main optical invariants: The product has several names including the optical invariant, lagrange invariant, and smith. For equal refractive index, the product θ 1 h 1 is invariant through an optical system. The lagrange invariant or the optical invariant.
PPT Adaptive Optics in the VLT and ELT era PowerPoint Presentation
Optical Invariant Equation There are four main optical invariants: For equal refractive index, the product θ 1 h 1 is invariant through an optical system. The optical invariant is a useful tool that allows optical designers to determine various values without having to completely ray trace a system. The product has several names including the optical invariant, lagrange invariant, and smith. There are four main optical invariants: The lagrange invariant or the optical invariant.
From physics.stackexchange.com
special relativity What is a simple example of Lorentz invariant Optical Invariant Equation The product has several names including the optical invariant, lagrange invariant, and smith. There are four main optical invariants: The optical invariant is a useful tool that allows optical designers to determine various values without having to completely ray trace a system. The lagrange invariant or the optical invariant. For equal refractive index, the product θ 1 h 1 is. Optical Invariant Equation.
From www.chegg.com
Consider the discretetime time invariant system Optical Invariant Equation The lagrange invariant or the optical invariant. The optical invariant is a useful tool that allows optical designers to determine various values without having to completely ray trace a system. The product has several names including the optical invariant, lagrange invariant, and smith. There are four main optical invariants: For equal refractive index, the product θ 1 h 1 is. Optical Invariant Equation.
From www.chegg.com
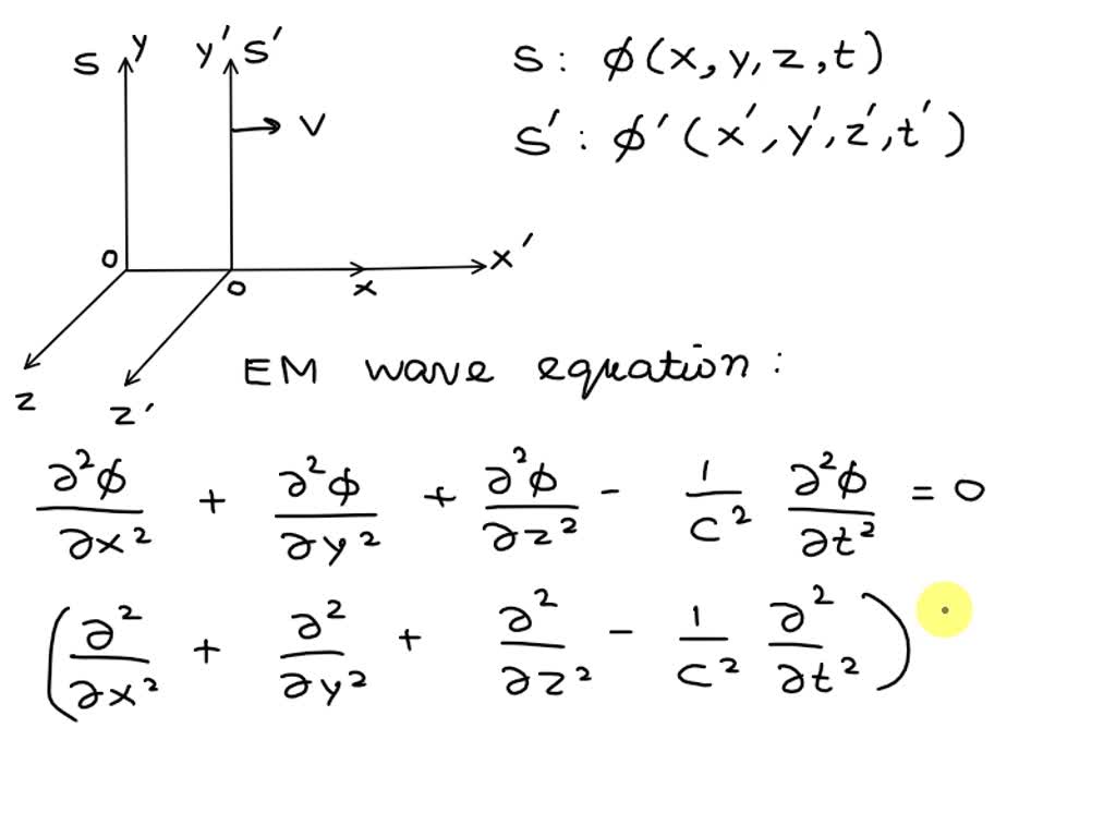
Solved i) Show that the wave equation is invariant under a Optical Invariant Equation For equal refractive index, the product θ 1 h 1 is invariant through an optical system. The optical invariant is a useful tool that allows optical designers to determine various values without having to completely ray trace a system. The lagrange invariant or the optical invariant. The product has several names including the optical invariant, lagrange invariant, and smith. There. Optical Invariant Equation.
From www.researchgate.net
Lens as an optical Fourier transforming element for tilt invariant Optical Invariant Equation The lagrange invariant or the optical invariant. The product has several names including the optical invariant, lagrange invariant, and smith. For equal refractive index, the product θ 1 h 1 is invariant through an optical system. There are four main optical invariants: The optical invariant is a useful tool that allows optical designers to determine various values without having to. Optical Invariant Equation.
From www.researchgate.net
Flowchart of transformations to derive the PPE from Maxwell's equations Optical Invariant Equation There are four main optical invariants: The optical invariant is a useful tool that allows optical designers to determine various values without having to completely ray trace a system. The lagrange invariant or the optical invariant. For equal refractive index, the product θ 1 h 1 is invariant through an optical system. The product has several names including the optical. Optical Invariant Equation.
From studylib.net
03b) Optical Invariant_1_18.docx Optical Invariant Equation For equal refractive index, the product θ 1 h 1 is invariant through an optical system. There are four main optical invariants: The optical invariant is a useful tool that allows optical designers to determine various values without having to completely ray trace a system. The lagrange invariant or the optical invariant. The product has several names including the optical. Optical Invariant Equation.
From www.toppr.com
"(b) Points ( (4,0) ) and ( (3,0) ) are invariant points under Optical Invariant Equation The lagrange invariant or the optical invariant. There are four main optical invariants: For equal refractive index, the product θ 1 h 1 is invariant through an optical system. The product has several names including the optical invariant, lagrange invariant, and smith. The optical invariant is a useful tool that allows optical designers to determine various values without having to. Optical Invariant Equation.
From www.slideserve.com
PPT Maxwell’s Equations are Lorentz Invariant PowerPoint Presentation Optical Invariant Equation For equal refractive index, the product θ 1 h 1 is invariant through an optical system. The optical invariant is a useful tool that allows optical designers to determine various values without having to completely ray trace a system. The lagrange invariant or the optical invariant. There are four main optical invariants: The product has several names including the optical. Optical Invariant Equation.
From www.slideserve.com
PPT Laser Cooling and Trapping of Atom PowerPoint Presentation ID Optical Invariant Equation For equal refractive index, the product θ 1 h 1 is invariant through an optical system. The optical invariant is a useful tool that allows optical designers to determine various values without having to completely ray trace a system. The product has several names including the optical invariant, lagrange invariant, and smith. The lagrange invariant or the optical invariant. There. Optical Invariant Equation.
From www.bartleby.com
Answered 3. A discrete linear timeinvariant… bartleby Optical Invariant Equation The lagrange invariant or the optical invariant. For equal refractive index, the product θ 1 h 1 is invariant through an optical system. There are four main optical invariants: The optical invariant is a useful tool that allows optical designers to determine various values without having to completely ray trace a system. The product has several names including the optical. Optical Invariant Equation.
From www.researchgate.net
Groupvelocitytunable propagationinvariant optical wavepacket Optical Invariant Equation For equal refractive index, the product θ 1 h 1 is invariant through an optical system. The lagrange invariant or the optical invariant. There are four main optical invariants: The optical invariant is a useful tool that allows optical designers to determine various values without having to completely ray trace a system. The product has several names including the optical. Optical Invariant Equation.
From www.numerade.com
SOLVED Prove the invariance of the wave equation in Optical Invariant Equation There are four main optical invariants: For equal refractive index, the product θ 1 h 1 is invariant through an optical system. The lagrange invariant or the optical invariant. The optical invariant is a useful tool that allows optical designers to determine various values without having to completely ray trace a system. The product has several names including the optical. Optical Invariant Equation.
From shop.handwrittennotes.in
Ray optics formula sheet Notes Optical Invariant Equation For equal refractive index, the product θ 1 h 1 is invariant through an optical system. The optical invariant is a useful tool that allows optical designers to determine various values without having to completely ray trace a system. There are four main optical invariants: The product has several names including the optical invariant, lagrange invariant, and smith. The lagrange. Optical Invariant Equation.
From www.spiedigitallibrary.org
Designing a large fieldofview twophoton microscope using optical Optical Invariant Equation The optical invariant is a useful tool that allows optical designers to determine various values without having to completely ray trace a system. The product has several names including the optical invariant, lagrange invariant, and smith. For equal refractive index, the product θ 1 h 1 is invariant through an optical system. The lagrange invariant or the optical invariant. There. Optical Invariant Equation.
From physics.stackexchange.com
special relativity What is a simple example of Lorentz invariant Optical Invariant Equation The product has several names including the optical invariant, lagrange invariant, and smith. There are four main optical invariants: The lagrange invariant or the optical invariant. The optical invariant is a useful tool that allows optical designers to determine various values without having to completely ray trace a system. For equal refractive index, the product θ 1 h 1 is. Optical Invariant Equation.
From www.researchgate.net
Anisotropy invariant map and the asymptotic forms for the unknown Optical Invariant Equation There are four main optical invariants: The optical invariant is a useful tool that allows optical designers to determine various values without having to completely ray trace a system. The lagrange invariant or the optical invariant. The product has several names including the optical invariant, lagrange invariant, and smith. For equal refractive index, the product θ 1 h 1 is. Optical Invariant Equation.
From physics.stackexchange.com
optics "Time travel" difference in double slit experiment Physics Optical Invariant Equation The product has several names including the optical invariant, lagrange invariant, and smith. The lagrange invariant or the optical invariant. There are four main optical invariants: For equal refractive index, the product θ 1 h 1 is invariant through an optical system. The optical invariant is a useful tool that allows optical designers to determine various values without having to. Optical Invariant Equation.
From www.numerade.com
SOLVED Show that the wave equation 2 is invariant under the Lorentz Optical Invariant Equation The lagrange invariant or the optical invariant. The product has several names including the optical invariant, lagrange invariant, and smith. The optical invariant is a useful tool that allows optical designers to determine various values without having to completely ray trace a system. There are four main optical invariants: For equal refractive index, the product θ 1 h 1 is. Optical Invariant Equation.
From www.savemyexams.com
Invariant Points & Lines Edexcel A Level Further Maths Core Pure Optical Invariant Equation For equal refractive index, the product θ 1 h 1 is invariant through an optical system. The product has several names including the optical invariant, lagrange invariant, and smith. The optical invariant is a useful tool that allows optical designers to determine various values without having to completely ray trace a system. The lagrange invariant or the optical invariant. There. Optical Invariant Equation.
From www.slideserve.com
PPT Maxwell’s Equations are Lorentz Invariant PowerPoint Presentation Optical Invariant Equation There are four main optical invariants: The product has several names including the optical invariant, lagrange invariant, and smith. For equal refractive index, the product θ 1 h 1 is invariant through an optical system. The optical invariant is a useful tool that allows optical designers to determine various values without having to completely ray trace a system. The lagrange. Optical Invariant Equation.
From www.youtube.com
Find Equation on Invariant Lines through origin Linear Transformation Optical Invariant Equation The product has several names including the optical invariant, lagrange invariant, and smith. The lagrange invariant or the optical invariant. For equal refractive index, the product θ 1 h 1 is invariant through an optical system. There are four main optical invariants: The optical invariant is a useful tool that allows optical designers to determine various values without having to. Optical Invariant Equation.
From www.slideserve.com
PPT Maxwell’s Equations are Lorentz Invariant PowerPoint Presentation Optical Invariant Equation The lagrange invariant or the optical invariant. For equal refractive index, the product θ 1 h 1 is invariant through an optical system. There are four main optical invariants: The product has several names including the optical invariant, lagrange invariant, and smith. The optical invariant is a useful tool that allows optical designers to determine various values without having to. Optical Invariant Equation.
From www.slideserve.com
PPT Maxwell’s Equations are Lorentz Invariant PowerPoint Presentation Optical Invariant Equation The lagrange invariant or the optical invariant. The product has several names including the optical invariant, lagrange invariant, and smith. There are four main optical invariants: The optical invariant is a useful tool that allows optical designers to determine various values without having to completely ray trace a system. For equal refractive index, the product θ 1 h 1 is. Optical Invariant Equation.
From www.savemyexams.com
Invariant Points & Lines Edexcel A Level Further Maths Core Pure Optical Invariant Equation For equal refractive index, the product θ 1 h 1 is invariant through an optical system. The optical invariant is a useful tool that allows optical designers to determine various values without having to completely ray trace a system. The lagrange invariant or the optical invariant. There are four main optical invariants: The product has several names including the optical. Optical Invariant Equation.
From www.slideserve.com
PPT Adaptive Optics in the VLT and ELT era PowerPoint Presentation Optical Invariant Equation There are four main optical invariants: For equal refractive index, the product θ 1 h 1 is invariant through an optical system. The product has several names including the optical invariant, lagrange invariant, and smith. The optical invariant is a useful tool that allows optical designers to determine various values without having to completely ray trace a system. The lagrange. Optical Invariant Equation.
From www.youtube.com
Lagrange Invariant Explained YouTube Optical Invariant Equation For equal refractive index, the product θ 1 h 1 is invariant through an optical system. There are four main optical invariants: The lagrange invariant or the optical invariant. The optical invariant is a useful tool that allows optical designers to determine various values without having to completely ray trace a system. The product has several names including the optical. Optical Invariant Equation.
From www.slideserve.com
PPT 3. Image motion due to optical element motion PowerPoint Optical Invariant Equation The product has several names including the optical invariant, lagrange invariant, and smith. For equal refractive index, the product θ 1 h 1 is invariant through an optical system. There are four main optical invariants: The optical invariant is a useful tool that allows optical designers to determine various values without having to completely ray trace a system. The lagrange. Optical Invariant Equation.
From www.researchgate.net
Axicon generated propagationinvariant optical wavepackets for Optical Invariant Equation For equal refractive index, the product θ 1 h 1 is invariant through an optical system. The lagrange invariant or the optical invariant. The optical invariant is a useful tool that allows optical designers to determine various values without having to completely ray trace a system. There are four main optical invariants: The product has several names including the optical. Optical Invariant Equation.
From www.researchgate.net
Invariant optical soliton solutions to the CoupledHiggs equation Optical Invariant Equation There are four main optical invariants: The product has several names including the optical invariant, lagrange invariant, and smith. The lagrange invariant or the optical invariant. For equal refractive index, the product θ 1 h 1 is invariant through an optical system. The optical invariant is a useful tool that allows optical designers to determine various values without having to. Optical Invariant Equation.
From www.researchgate.net
Groupvelocitytunable propagationinvariant optical wavepacket Optical Invariant Equation There are four main optical invariants: The product has several names including the optical invariant, lagrange invariant, and smith. The lagrange invariant or the optical invariant. The optical invariant is a useful tool that allows optical designers to determine various values without having to completely ray trace a system. For equal refractive index, the product θ 1 h 1 is. Optical Invariant Equation.
From www.researchgate.net
The Formation of Invariant Exact Optical Soliton Solutions of Landau Optical Invariant Equation The product has several names including the optical invariant, lagrange invariant, and smith. The lagrange invariant or the optical invariant. For equal refractive index, the product θ 1 h 1 is invariant through an optical system. There are four main optical invariants: The optical invariant is a useful tool that allows optical designers to determine various values without having to. Optical Invariant Equation.
From www.coursera.org
Lagrange invariant Finite Aperture Optics Coursera Optical Invariant Equation The product has several names including the optical invariant, lagrange invariant, and smith. There are four main optical invariants: For equal refractive index, the product θ 1 h 1 is invariant through an optical system. The lagrange invariant or the optical invariant. The optical invariant is a useful tool that allows optical designers to determine various values without having to. Optical Invariant Equation.
From www.chegg.com
Solved A linear timeinvariant system is described by the Optical Invariant Equation The optical invariant is a useful tool that allows optical designers to determine various values without having to completely ray trace a system. For equal refractive index, the product θ 1 h 1 is invariant through an optical system. There are four main optical invariants: The product has several names including the optical invariant, lagrange invariant, and smith. The lagrange. Optical Invariant Equation.
From www.chegg.com
Solved Problem 5 (10 Pts.) A linear, time invariant system Optical Invariant Equation The optical invariant is a useful tool that allows optical designers to determine various values without having to completely ray trace a system. The lagrange invariant or the optical invariant. The product has several names including the optical invariant, lagrange invariant, and smith. There are four main optical invariants: For equal refractive index, the product θ 1 h 1 is. Optical Invariant Equation.
From www.savemyexams.com
Invariant Points & Lines Edexcel A Level Further Maths Core Pure Optical Invariant Equation The optical invariant is a useful tool that allows optical designers to determine various values without having to completely ray trace a system. The lagrange invariant or the optical invariant. There are four main optical invariants: The product has several names including the optical invariant, lagrange invariant, and smith. For equal refractive index, the product θ 1 h 1 is. Optical Invariant Equation.