Glucomannan Protein Absorption . It promotes the growth of friendly bacteria in your gut, leading. This was largely associated with the changed microbiota profile. Glucomannan is high in dietary fiber, low in calories, and provides almost no proteins or vitamins. Researchers investigated its use in people with type 2 diabetes. Glucomannan is used as a dietary supplement and food in the form of konjac jelly, noodles, and tofu. High konjac glucomannan contents reduced the colonic secondary bile acid levels including dca and lca; Soluble fiber helps regulate digestion speed and blood sugar while increasing nutrient absorption. Like other soluble fibers, it reduces the absorption of protein and fat.
from www.researchgate.net
Researchers investigated its use in people with type 2 diabetes. Glucomannan is high in dietary fiber, low in calories, and provides almost no proteins or vitamins. This was largely associated with the changed microbiota profile. It promotes the growth of friendly bacteria in your gut, leading. Glucomannan is used as a dietary supplement and food in the form of konjac jelly, noodles, and tofu. Soluble fiber helps regulate digestion speed and blood sugar while increasing nutrient absorption. Like other soluble fibers, it reduces the absorption of protein and fat. High konjac glucomannan contents reduced the colonic secondary bile acid levels including dca and lca;
(A). CLSM images of mixed gels at room temperature
Glucomannan Protein Absorption It promotes the growth of friendly bacteria in your gut, leading. Glucomannan is used as a dietary supplement and food in the form of konjac jelly, noodles, and tofu. High konjac glucomannan contents reduced the colonic secondary bile acid levels including dca and lca; Glucomannan is high in dietary fiber, low in calories, and provides almost no proteins or vitamins. Like other soluble fibers, it reduces the absorption of protein and fat. Researchers investigated its use in people with type 2 diabetes. This was largely associated with the changed microbiota profile. It promotes the growth of friendly bacteria in your gut, leading. Soluble fiber helps regulate digestion speed and blood sugar while increasing nutrient absorption.
From www.researchgate.net
Effects of different combinations of konjac κ‐carrageenan Glucomannan Protein Absorption It promotes the growth of friendly bacteria in your gut, leading. Researchers investigated its use in people with type 2 diabetes. Like other soluble fibers, it reduces the absorption of protein and fat. Glucomannan is high in dietary fiber, low in calories, and provides almost no proteins or vitamins. Soluble fiber helps regulate digestion speed and blood sugar while increasing. Glucomannan Protein Absorption.
From www.researchgate.net
(PDF) Synthesis, Antimicrobial, Moisture Absorption and Retention Glucomannan Protein Absorption High konjac glucomannan contents reduced the colonic secondary bile acid levels including dca and lca; Glucomannan is high in dietary fiber, low in calories, and provides almost no proteins or vitamins. Glucomannan is used as a dietary supplement and food in the form of konjac jelly, noodles, and tofu. Researchers investigated its use in people with type 2 diabetes. Like. Glucomannan Protein Absorption.
From www.researchgate.net
(PDF) Effects of Supplementation on Type II Diabetes Glucomannan Protein Absorption Glucomannan is used as a dietary supplement and food in the form of konjac jelly, noodles, and tofu. This was largely associated with the changed microbiota profile. It promotes the growth of friendly bacteria in your gut, leading. Soluble fiber helps regulate digestion speed and blood sugar while increasing nutrient absorption. Like other soluble fibers, it reduces the absorption of. Glucomannan Protein Absorption.
From www.researchgate.net
(PDF) Functional interaction components of protein isolates and Glucomannan Protein Absorption High konjac glucomannan contents reduced the colonic secondary bile acid levels including dca and lca; This was largely associated with the changed microbiota profile. It promotes the growth of friendly bacteria in your gut, leading. Glucomannan is used as a dietary supplement and food in the form of konjac jelly, noodles, and tofu. Soluble fiber helps regulate digestion speed and. Glucomannan Protein Absorption.
From pubs.acs.org
Formation of New Nanoparticles and Study of Their Glucomannan Protein Absorption It promotes the growth of friendly bacteria in your gut, leading. Glucomannan is high in dietary fiber, low in calories, and provides almost no proteins or vitamins. This was largely associated with the changed microbiota profile. Soluble fiber helps regulate digestion speed and blood sugar while increasing nutrient absorption. Researchers investigated its use in people with type 2 diabetes. Glucomannan. Glucomannan Protein Absorption.
From www.megazyme.com
Konjac Low Viscosity Polysaccharides Megazyme Glucomannan Protein Absorption Soluble fiber helps regulate digestion speed and blood sugar while increasing nutrient absorption. Researchers investigated its use in people with type 2 diabetes. High konjac glucomannan contents reduced the colonic secondary bile acid levels including dca and lca; Like other soluble fibers, it reduces the absorption of protein and fat. Glucomannan is used as a dietary supplement and food in. Glucomannan Protein Absorption.
From www.slideserve.com
PPT Digestion and absorption of proteins Protein enters the stomach Glucomannan Protein Absorption Glucomannan is high in dietary fiber, low in calories, and provides almost no proteins or vitamins. Soluble fiber helps regulate digestion speed and blood sugar while increasing nutrient absorption. This was largely associated with the changed microbiota profile. It promotes the growth of friendly bacteria in your gut, leading. High konjac glucomannan contents reduced the colonic secondary bile acid levels. Glucomannan Protein Absorption.
From www.frontiersin.org
Frontiers A Systematic Review Exploring the Anticancer Activity and Glucomannan Protein Absorption Soluble fiber helps regulate digestion speed and blood sugar while increasing nutrient absorption. Researchers investigated its use in people with type 2 diabetes. It promotes the growth of friendly bacteria in your gut, leading. Glucomannan is used as a dietary supplement and food in the form of konjac jelly, noodles, and tofu. Like other soluble fibers, it reduces the absorption. Glucomannan Protein Absorption.
From www.researchgate.net
Interaction between acid Casein. (a)... Download Glucomannan Protein Absorption Glucomannan is high in dietary fiber, low in calories, and provides almost no proteins or vitamins. It promotes the growth of friendly bacteria in your gut, leading. This was largely associated with the changed microbiota profile. Researchers investigated its use in people with type 2 diabetes. High konjac glucomannan contents reduced the colonic secondary bile acid levels including dca and. Glucomannan Protein Absorption.
From www.drawittoknowit.com
Biochemistry Glossary Protein Digestion/Absorption Draw It to Know It Glucomannan Protein Absorption It promotes the growth of friendly bacteria in your gut, leading. Researchers investigated its use in people with type 2 diabetes. Glucomannan is used as a dietary supplement and food in the form of konjac jelly, noodles, and tofu. Like other soluble fibers, it reduces the absorption of protein and fat. Soluble fiber helps regulate digestion speed and blood sugar. Glucomannan Protein Absorption.
From www.researchgate.net
Effects of Konjac on thermal properties of wheat starch Glucomannan Protein Absorption High konjac glucomannan contents reduced the colonic secondary bile acid levels including dca and lca; This was largely associated with the changed microbiota profile. Like other soluble fibers, it reduces the absorption of protein and fat. Researchers investigated its use in people with type 2 diabetes. Soluble fiber helps regulate digestion speed and blood sugar while increasing nutrient absorption. Glucomannan. Glucomannan Protein Absorption.
From www.mdpi.com
Molecules Free FullText Immunomodulatory Activity of Octenyl Glucomannan Protein Absorption It promotes the growth of friendly bacteria in your gut, leading. Glucomannan is high in dietary fiber, low in calories, and provides almost no proteins or vitamins. Researchers investigated its use in people with type 2 diabetes. Soluble fiber helps regulate digestion speed and blood sugar while increasing nutrient absorption. High konjac glucomannan contents reduced the colonic secondary bile acid. Glucomannan Protein Absorption.
From www.researchgate.net
Effect of enzymatic hydrolysis degree of konjac added on Glucomannan Protein Absorption Researchers investigated its use in people with type 2 diabetes. Like other soluble fibers, it reduces the absorption of protein and fat. Glucomannan is used as a dietary supplement and food in the form of konjac jelly, noodles, and tofu. High konjac glucomannan contents reduced the colonic secondary bile acid levels including dca and lca; It promotes the growth of. Glucomannan Protein Absorption.
From www.researchgate.net
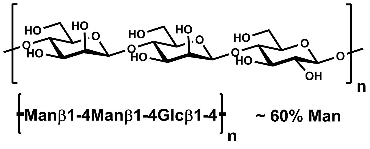
(A) Simplified formula of a chemical structure and Glucomannan Protein Absorption Researchers investigated its use in people with type 2 diabetes. High konjac glucomannan contents reduced the colonic secondary bile acid levels including dca and lca; It promotes the growth of friendly bacteria in your gut, leading. This was largely associated with the changed microbiota profile. Glucomannan is used as a dietary supplement and food in the form of konjac jelly,. Glucomannan Protein Absorption.
From www.researchgate.net
3 Moisture absorption and desorption curves of (a) and (b Glucomannan Protein Absorption This was largely associated with the changed microbiota profile. Glucomannan is used as a dietary supplement and food in the form of konjac jelly, noodles, and tofu. It promotes the growth of friendly bacteria in your gut, leading. High konjac glucomannan contents reduced the colonic secondary bile acid levels including dca and lca; Soluble fiber helps regulate digestion speed and. Glucomannan Protein Absorption.
From www.researchgate.net
(A). CLSM images of mixed gels at room temperature Glucomannan Protein Absorption Soluble fiber helps regulate digestion speed and blood sugar while increasing nutrient absorption. This was largely associated with the changed microbiota profile. It promotes the growth of friendly bacteria in your gut, leading. Researchers investigated its use in people with type 2 diabetes. High konjac glucomannan contents reduced the colonic secondary bile acid levels including dca and lca; Like other. Glucomannan Protein Absorption.
From www.researchgate.net
(PDF) Structure of from the Yeast Cryptococcus Glucomannan Protein Absorption This was largely associated with the changed microbiota profile. Soluble fiber helps regulate digestion speed and blood sugar while increasing nutrient absorption. Researchers investigated its use in people with type 2 diabetes. Glucomannan is high in dietary fiber, low in calories, and provides almost no proteins or vitamins. It promotes the growth of friendly bacteria in your gut, leading. High. Glucomannan Protein Absorption.
From www.researchgate.net
Schematic representation of protein digestion and absorption processes Glucomannan Protein Absorption Soluble fiber helps regulate digestion speed and blood sugar while increasing nutrient absorption. High konjac glucomannan contents reduced the colonic secondary bile acid levels including dca and lca; Researchers investigated its use in people with type 2 diabetes. This was largely associated with the changed microbiota profile. Like other soluble fibers, it reduces the absorption of protein and fat. It. Glucomannan Protein Absorption.
From www.researchgate.net
Effect of cellulase digestion of Konjac samples in an Glucomannan Protein Absorption Like other soluble fibers, it reduces the absorption of protein and fat. Glucomannan is used as a dietary supplement and food in the form of konjac jelly, noodles, and tofu. It promotes the growth of friendly bacteria in your gut, leading. Soluble fiber helps regulate digestion speed and blood sugar while increasing nutrient absorption. Glucomannan is high in dietary fiber,. Glucomannan Protein Absorption.
From www.researchgate.net
Moisture adsorption of and xylan hemicelluloses Request PDF Glucomannan Protein Absorption High konjac glucomannan contents reduced the colonic secondary bile acid levels including dca and lca; Like other soluble fibers, it reduces the absorption of protein and fat. Soluble fiber helps regulate digestion speed and blood sugar while increasing nutrient absorption. This was largely associated with the changed microbiota profile. Glucomannan is used as a dietary supplement and food in the. Glucomannan Protein Absorption.
From www.researchgate.net
(PDF) The effect of on fasting and postprandial blood Glucomannan Protein Absorption High konjac glucomannan contents reduced the colonic secondary bile acid levels including dca and lca; Soluble fiber helps regulate digestion speed and blood sugar while increasing nutrient absorption. Glucomannan is used as a dietary supplement and food in the form of konjac jelly, noodles, and tofu. Researchers investigated its use in people with type 2 diabetes. This was largely associated. Glucomannan Protein Absorption.
From www.mdpi.com
Genes Free FullText in Dendrobium catenatum Glucomannan Protein Absorption Like other soluble fibers, it reduces the absorption of protein and fat. Soluble fiber helps regulate digestion speed and blood sugar while increasing nutrient absorption. It promotes the growth of friendly bacteria in your gut, leading. Glucomannan is high in dietary fiber, low in calories, and provides almost no proteins or vitamins. This was largely associated with the changed microbiota. Glucomannan Protein Absorption.
From www.pinterest.com
Glucose is absorbed in the small intestine by a secondary active Glucomannan Protein Absorption Soluble fiber helps regulate digestion speed and blood sugar while increasing nutrient absorption. Researchers investigated its use in people with type 2 diabetes. Glucomannan is used as a dietary supplement and food in the form of konjac jelly, noodles, and tofu. High konjac glucomannan contents reduced the colonic secondary bile acid levels including dca and lca; It promotes the growth. Glucomannan Protein Absorption.
From www.researchgate.net
shows the effect of concentration on the reaction of Glucomannan Protein Absorption Soluble fiber helps regulate digestion speed and blood sugar while increasing nutrient absorption. Glucomannan is used as a dietary supplement and food in the form of konjac jelly, noodles, and tofu. Like other soluble fibers, it reduces the absorption of protein and fat. High konjac glucomannan contents reduced the colonic secondary bile acid levels including dca and lca; This was. Glucomannan Protein Absorption.
From www.frontiersin.org
Frontiers A Systematic Review Exploring the Anticancer Activity and Glucomannan Protein Absorption Glucomannan is high in dietary fiber, low in calories, and provides almost no proteins or vitamins. Like other soluble fibers, it reduces the absorption of protein and fat. Soluble fiber helps regulate digestion speed and blood sugar while increasing nutrient absorption. It promotes the growth of friendly bacteria in your gut, leading. Researchers investigated its use in people with type. Glucomannan Protein Absorption.
From www.researchgate.net
Effect of on changes of hind paw volume. Comparison of Glucomannan Protein Absorption This was largely associated with the changed microbiota profile. Researchers investigated its use in people with type 2 diabetes. High konjac glucomannan contents reduced the colonic secondary bile acid levels including dca and lca; Glucomannan is high in dietary fiber, low in calories, and provides almost no proteins or vitamins. Like other soluble fibers, it reduces the absorption of protein. Glucomannan Protein Absorption.
From www.researchgate.net
Effect of on characteristics of the metabolic syndrome. A Glucomannan Protein Absorption Like other soluble fibers, it reduces the absorption of protein and fat. High konjac glucomannan contents reduced the colonic secondary bile acid levels including dca and lca; Glucomannan is high in dietary fiber, low in calories, and provides almost no proteins or vitamins. Soluble fiber helps regulate digestion speed and blood sugar while increasing nutrient absorption. This was largely associated. Glucomannan Protein Absorption.
From www.researchgate.net
Effect of feeding glucose oligosaccharide and longchain to Glucomannan Protein Absorption Like other soluble fibers, it reduces the absorption of protein and fat. It promotes the growth of friendly bacteria in your gut, leading. Researchers investigated its use in people with type 2 diabetes. Glucomannan is used as a dietary supplement and food in the form of konjac jelly, noodles, and tofu. High konjac glucomannan contents reduced the colonic secondary bile. Glucomannan Protein Absorption.
From www.researchgate.net
2Two possible molecular structures of Xylan and Glucomannan Protein Absorption Like other soluble fibers, it reduces the absorption of protein and fat. Glucomannan is high in dietary fiber, low in calories, and provides almost no proteins or vitamins. Soluble fiber helps regulate digestion speed and blood sugar while increasing nutrient absorption. High konjac glucomannan contents reduced the colonic secondary bile acid levels including dca and lca; Researchers investigated its use. Glucomannan Protein Absorption.
From www.researchgate.net
Effect of enzymatic hydrolysis degree of konjac added on Glucomannan Protein Absorption Researchers investigated its use in people with type 2 diabetes. It promotes the growth of friendly bacteria in your gut, leading. Like other soluble fibers, it reduces the absorption of protein and fat. Glucomannan is used as a dietary supplement and food in the form of konjac jelly, noodles, and tofu. Soluble fiber helps regulate digestion speed and blood sugar. Glucomannan Protein Absorption.
From www.researchgate.net
(a) Light transmittance, and (b) opacity of salep film Glucomannan Protein Absorption This was largely associated with the changed microbiota profile. Glucomannan is high in dietary fiber, low in calories, and provides almost no proteins or vitamins. Researchers investigated its use in people with type 2 diabetes. Glucomannan is used as a dietary supplement and food in the form of konjac jelly, noodles, and tofu. High konjac glucomannan contents reduced the colonic. Glucomannan Protein Absorption.
From www.researchgate.net
Expression of genes identified by SDS PAGE Glucomannan Protein Absorption Soluble fiber helps regulate digestion speed and blood sugar while increasing nutrient absorption. It promotes the growth of friendly bacteria in your gut, leading. Glucomannan is high in dietary fiber, low in calories, and provides almost no proteins or vitamins. This was largely associated with the changed microbiota profile. High konjac glucomannan contents reduced the colonic secondary bile acid levels. Glucomannan Protein Absorption.
From www.researchgate.net
EDX spectra of the surfaces of the hybrids treated Glucomannan Protein Absorption High konjac glucomannan contents reduced the colonic secondary bile acid levels including dca and lca; This was largely associated with the changed microbiota profile. Glucomannan is high in dietary fiber, low in calories, and provides almost no proteins or vitamins. Glucomannan is used as a dietary supplement and food in the form of konjac jelly, noodles, and tofu. Like other. Glucomannan Protein Absorption.
From www.researchgate.net
(PDF) Effect of and the dosage form on ethinylestradiol Glucomannan Protein Absorption Glucomannan is high in dietary fiber, low in calories, and provides almost no proteins or vitamins. High konjac glucomannan contents reduced the colonic secondary bile acid levels including dca and lca; This was largely associated with the changed microbiota profile. Soluble fiber helps regulate digestion speed and blood sugar while increasing nutrient absorption. Glucomannan is used as a dietary supplement. Glucomannan Protein Absorption.
From www.mdpi.com
Molecules Free FullText Synthesis and Characterization of Konjac Glucomannan Protein Absorption This was largely associated with the changed microbiota profile. Glucomannan is used as a dietary supplement and food in the form of konjac jelly, noodles, and tofu. Researchers investigated its use in people with type 2 diabetes. Soluble fiber helps regulate digestion speed and blood sugar while increasing nutrient absorption. High konjac glucomannan contents reduced the colonic secondary bile acid. Glucomannan Protein Absorption.