Temperature Of A Tungsten Filament . Tungsten is durable under such extreme temperature conditions. The characteristics of tungsten filaments as functions of temperature. For a significant portion of the visible wavelength range, the color temperature of tungsten is higher than the equivalent true temperature in degrees celsius. The goal of this work proposed for undergraduate students and teachers is the calibration of a tungsten filament lamp from electric. In this paper, the temperature of both the filament and the bulb were estimated from the solution of the energy balance equations in the. A simple way to measure the temperature of incandescent surface is to compare the colour of the filament of a known. Thus for a measured filament. The atoms are heated to 4000 f to emit visible light.
        
         
         
        from chart-studio.plotly.com 
     
        
        Tungsten is durable under such extreme temperature conditions. The goal of this work proposed for undergraduate students and teachers is the calibration of a tungsten filament lamp from electric. For a significant portion of the visible wavelength range, the color temperature of tungsten is higher than the equivalent true temperature in degrees celsius. In this paper, the temperature of both the filament and the bulb were estimated from the solution of the energy balance equations in the. The atoms are heated to 4000 f to emit visible light. The characteristics of tungsten filaments as functions of temperature. Thus for a measured filament. A simple way to measure the temperature of incandescent surface is to compare the colour of the filament of a known.
    
    	
            
	
		 
	 
         
    Relation between Rt/Rg and Temperature K for Tungsten Filament 
    Temperature Of A Tungsten Filament  The goal of this work proposed for undergraduate students and teachers is the calibration of a tungsten filament lamp from electric. Thus for a measured filament. In this paper, the temperature of both the filament and the bulb were estimated from the solution of the energy balance equations in the. For a significant portion of the visible wavelength range, the color temperature of tungsten is higher than the equivalent true temperature in degrees celsius. Tungsten is durable under such extreme temperature conditions. The characteristics of tungsten filaments as functions of temperature. The atoms are heated to 4000 f to emit visible light. The goal of this work proposed for undergraduate students and teachers is the calibration of a tungsten filament lamp from electric. A simple way to measure the temperature of incandescent surface is to compare the colour of the filament of a known.
            
	
		 
	 
         
 
    
         
        From www.numerade.com 
                    SOLVEDThink & Calculate A typical lightbulb contains a tungsten Temperature Of A Tungsten Filament  A simple way to measure the temperature of incandescent surface is to compare the colour of the filament of a known. Thus for a measured filament. The goal of this work proposed for undergraduate students and teachers is the calibration of a tungsten filament lamp from electric. The atoms are heated to 4000 f to emit visible light. The characteristics. Temperature Of A Tungsten Filament.
     
    
         
        From blog.thepipingmart.com 
                    Differences Between Tungsten Filament and Nichrome Wire Temperature Of A Tungsten Filament  The goal of this work proposed for undergraduate students and teachers is the calibration of a tungsten filament lamp from electric. A simple way to measure the temperature of incandescent surface is to compare the colour of the filament of a known. The characteristics of tungsten filaments as functions of temperature. In this paper, the temperature of both the filament. Temperature Of A Tungsten Filament.
     
    
         
        From www.numerade.com 
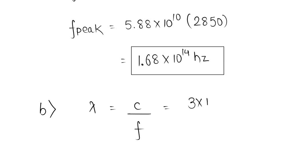
                    SOLVED The tungsten filament of a certain 100W lightbulb radiates 2. Temperature Of A Tungsten Filament  Tungsten is durable under such extreme temperature conditions. The atoms are heated to 4000 f to emit visible light. In this paper, the temperature of both the filament and the bulb were estimated from the solution of the energy balance equations in the. The goal of this work proposed for undergraduate students and teachers is the calibration of a tungsten. Temperature Of A Tungsten Filament.
     
    
         
        From www.numerade.com 
                    SOLVED The operating temperature of a tungsten filament in an Temperature Of A Tungsten Filament  The goal of this work proposed for undergraduate students and teachers is the calibration of a tungsten filament lamp from electric. The atoms are heated to 4000 f to emit visible light. For a significant portion of the visible wavelength range, the color temperature of tungsten is higher than the equivalent true temperature in degrees celsius. Tungsten is durable under. Temperature Of A Tungsten Filament.
     
    
         
        From www.numerade.com 
                    SOLVEDThe filament of an incandescent lightbulb is made of tungsten Temperature Of A Tungsten Filament  The atoms are heated to 4000 f to emit visible light. In this paper, the temperature of both the filament and the bulb were estimated from the solution of the energy balance equations in the. Thus for a measured filament. The goal of this work proposed for undergraduate students and teachers is the calibration of a tungsten filament lamp from. Temperature Of A Tungsten Filament.
     
    
         
        From www.researchgate.net 
                    Measurements on tungsten metallic isotropic filament (a) specific Temperature Of A Tungsten Filament  For a significant portion of the visible wavelength range, the color temperature of tungsten is higher than the equivalent true temperature in degrees celsius. Tungsten is durable under such extreme temperature conditions. The atoms are heated to 4000 f to emit visible light. A simple way to measure the temperature of incandescent surface is to compare the colour of the. Temperature Of A Tungsten Filament.
     
    
         
        From www.researchgate.net 
                    What is the highest temperature of tungsten at 10^6 vacuum when it is Temperature Of A Tungsten Filament  In this paper, the temperature of both the filament and the bulb were estimated from the solution of the energy balance equations in the. A simple way to measure the temperature of incandescent surface is to compare the colour of the filament of a known. Thus for a measured filament. The goal of this work proposed for undergraduate students and. Temperature Of A Tungsten Filament.
     
    
         
        From www.youtube.com 
                    Colour and temperature of a tungsten filament bulb (NCPQ) YouTube Temperature Of A Tungsten Filament  The characteristics of tungsten filaments as functions of temperature. The atoms are heated to 4000 f to emit visible light. For a significant portion of the visible wavelength range, the color temperature of tungsten is higher than the equivalent true temperature in degrees celsius. In this paper, the temperature of both the filament and the bulb were estimated from the. Temperature Of A Tungsten Filament.
     
    
         
        From www.numerade.com 
                    SOLVEDBefore bendable tungsten filaments were developed, Thomas Edison Temperature Of A Tungsten Filament  The goal of this work proposed for undergraduate students and teachers is the calibration of a tungsten filament lamp from electric. The atoms are heated to 4000 f to emit visible light. In this paper, the temperature of both the filament and the bulb were estimated from the solution of the energy balance equations in the. A simple way to. Temperature Of A Tungsten Filament.
     
    
         
        From www.numerade.com 
                    SOLVED A certain lightbulb has tungsten filament with a resistance of Temperature Of A Tungsten Filament  The atoms are heated to 4000 f to emit visible light. The characteristics of tungsten filaments as functions of temperature. Thus for a measured filament. Tungsten is durable under such extreme temperature conditions. A simple way to measure the temperature of incandescent surface is to compare the colour of the filament of a known. In this paper, the temperature of. Temperature Of A Tungsten Filament.
     
    
         
        From www.researchgate.net 
                    The calculated temperature of a 25 micron diameter tungsten wire in the Temperature Of A Tungsten Filament  For a significant portion of the visible wavelength range, the color temperature of tungsten is higher than the equivalent true temperature in degrees celsius. The characteristics of tungsten filaments as functions of temperature. Thus for a measured filament. In this paper, the temperature of both the filament and the bulb were estimated from the solution of the energy balance equations. Temperature Of A Tungsten Filament.
     
    
         
        From sincemat.en.made-in-china.com 
                    High Temperature Strength Tungsten Wire/Molybdenum Wire Dia 0.013mm Temperature Of A Tungsten Filament  Thus for a measured filament. The goal of this work proposed for undergraduate students and teachers is the calibration of a tungsten filament lamp from electric. The characteristics of tungsten filaments as functions of temperature. In this paper, the temperature of both the filament and the bulb were estimated from the solution of the energy balance equations in the. Tungsten. Temperature Of A Tungsten Filament.
     
    
         
        From www.researchgate.net 
                    Emissivity spectrum of tungsten for various temperatures both in Temperature Of A Tungsten Filament  The goal of this work proposed for undergraduate students and teachers is the calibration of a tungsten filament lamp from electric. A simple way to measure the temperature of incandescent surface is to compare the colour of the filament of a known. The characteristics of tungsten filaments as functions of temperature. For a significant portion of the visible wavelength range,. Temperature Of A Tungsten Filament.
     
    
         
        From sincemat.en.made-in-china.com 
                    Tungsten Filaments High Temperature Strength China Tungsten Filaments Temperature Of A Tungsten Filament  Thus for a measured filament. A simple way to measure the temperature of incandescent surface is to compare the colour of the filament of a known. The atoms are heated to 4000 f to emit visible light. In this paper, the temperature of both the filament and the bulb were estimated from the solution of the energy balance equations in. Temperature Of A Tungsten Filament.
     
    
         
        From brainly.in 
                    When burning normally, the temperature of the filament in a 230 V, 150 Temperature Of A Tungsten Filament  In this paper, the temperature of both the filament and the bulb were estimated from the solution of the energy balance equations in the. The goal of this work proposed for undergraduate students and teachers is the calibration of a tungsten filament lamp from electric. Thus for a measured filament. For a significant portion of the visible wavelength range, the. Temperature Of A Tungsten Filament.
     
    
         
        From www.semanticscholar.org 
                    Figure 1 from Calibration and temperature profile of a tungsten Temperature Of A Tungsten Filament  In this paper, the temperature of both the filament and the bulb were estimated from the solution of the energy balance equations in the. The atoms are heated to 4000 f to emit visible light. The goal of this work proposed for undergraduate students and teachers is the calibration of a tungsten filament lamp from electric. A simple way to. Temperature Of A Tungsten Filament.
     
    
         
        From www.semanticscholar.org 
                    Figure 4 from Calibration and temperature profile of a tungsten Temperature Of A Tungsten Filament  A simple way to measure the temperature of incandescent surface is to compare the colour of the filament of a known. In this paper, the temperature of both the filament and the bulb were estimated from the solution of the energy balance equations in the. Tungsten is durable under such extreme temperature conditions. For a significant portion of the visible. Temperature Of A Tungsten Filament.
     
    
         
        From www.researchgate.net 
                    Emissivity spectrum of tungsten for various temperatures both in Temperature Of A Tungsten Filament  For a significant portion of the visible wavelength range, the color temperature of tungsten is higher than the equivalent true temperature in degrees celsius. Thus for a measured filament. Tungsten is durable under such extreme temperature conditions. A simple way to measure the temperature of incandescent surface is to compare the colour of the filament of a known. The atoms. Temperature Of A Tungsten Filament.
     
    
         
        From www.researchgate.net 
                    Tungsten filament emission spectrum at different temperatures T F Temperature Of A Tungsten Filament  The atoms are heated to 4000 f to emit visible light. The characteristics of tungsten filaments as functions of temperature. A simple way to measure the temperature of incandescent surface is to compare the colour of the filament of a known. In this paper, the temperature of both the filament and the bulb were estimated from the solution of the. Temperature Of A Tungsten Filament.
     
    
         
        From byjus.com 
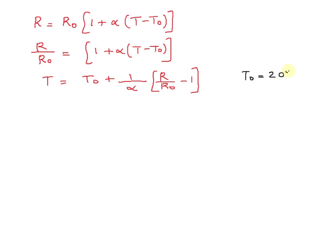
                    The temp coefficient of resistence of tungsten is 4.5×10^ 3 ^° C^ 1 and Temperature Of A Tungsten Filament  Thus for a measured filament. The atoms are heated to 4000 f to emit visible light. For a significant portion of the visible wavelength range, the color temperature of tungsten is higher than the equivalent true temperature in degrees celsius. Tungsten is durable under such extreme temperature conditions. The goal of this work proposed for undergraduate students and teachers is. Temperature Of A Tungsten Filament.
     
    
         
        From www.chegg.com 
                    Solved A standard 60 W 120 V light bulb has a tungsten Temperature Of A Tungsten Filament  For a significant portion of the visible wavelength range, the color temperature of tungsten is higher than the equivalent true temperature in degrees celsius. In this paper, the temperature of both the filament and the bulb were estimated from the solution of the energy balance equations in the. The atoms are heated to 4000 f to emit visible light. The. Temperature Of A Tungsten Filament.
     
    
         
        From www.toppr.com 
                    An electric bulb has a filament of surface area 20 cm^2 , The filament Temperature Of A Tungsten Filament  The atoms are heated to 4000 f to emit visible light. Thus for a measured filament. The characteristics of tungsten filaments as functions of temperature. In this paper, the temperature of both the filament and the bulb were estimated from the solution of the energy balance equations in the. For a significant portion of the visible wavelength range, the color. Temperature Of A Tungsten Filament.
     
    
         
        From www.chegg.com 
                    Solved The operating temperature of a tungsten filament in Temperature Of A Tungsten Filament  The goal of this work proposed for undergraduate students and teachers is the calibration of a tungsten filament lamp from electric. Tungsten is durable under such extreme temperature conditions. For a significant portion of the visible wavelength range, the color temperature of tungsten is higher than the equivalent true temperature in degrees celsius. The atoms are heated to 4000 f. Temperature Of A Tungsten Filament.
     
    
         
        From www.researchgate.net 
                    Emissivity spectrum of tungsten for various temperatures both in Temperature Of A Tungsten Filament  Tungsten is durable under such extreme temperature conditions. Thus for a measured filament. A simple way to measure the temperature of incandescent surface is to compare the colour of the filament of a known. For a significant portion of the visible wavelength range, the color temperature of tungsten is higher than the equivalent true temperature in degrees celsius. The atoms. Temperature Of A Tungsten Filament.
     
    
         
        From www.animalia-life.club 
                    Tungsten Filament Sem Temperature Of A Tungsten Filament  Tungsten is durable under such extreme temperature conditions. In this paper, the temperature of both the filament and the bulb were estimated from the solution of the energy balance equations in the. For a significant portion of the visible wavelength range, the color temperature of tungsten is higher than the equivalent true temperature in degrees celsius. Thus for a measured. Temperature Of A Tungsten Filament.
     
    
         
        From www.chegg.com 
                    Solved Set the temperature of the blackbody to 3000 K. This Temperature Of A Tungsten Filament  Thus for a measured filament. A simple way to measure the temperature of incandescent surface is to compare the colour of the filament of a known. Tungsten is durable under such extreme temperature conditions. The atoms are heated to 4000 f to emit visible light. In this paper, the temperature of both the filament and the bulb were estimated from. Temperature Of A Tungsten Filament.
     
    
         
        From www.mdpi.com 
                    Applied Sciences Free FullText Filament Xray Tube Current Control Temperature Of A Tungsten Filament  The atoms are heated to 4000 f to emit visible light. In this paper, the temperature of both the filament and the bulb were estimated from the solution of the energy balance equations in the. The characteristics of tungsten filaments as functions of temperature. For a significant portion of the visible wavelength range, the color temperature of tungsten is higher. Temperature Of A Tungsten Filament.
     
    
         
        From chart-studio.plotly.com 
                    Relation between Rt/Rg and Temperature K for Tungsten Filament Temperature Of A Tungsten Filament  For a significant portion of the visible wavelength range, the color temperature of tungsten is higher than the equivalent true temperature in degrees celsius. The characteristics of tungsten filaments as functions of temperature. Tungsten is durable under such extreme temperature conditions. Thus for a measured filament. The atoms are heated to 4000 f to emit visible light. In this paper,. Temperature Of A Tungsten Filament.
     
    
         
        From www.researchgate.net 
                    (PDF) Tungsten Temperature Of A Tungsten Filament  For a significant portion of the visible wavelength range, the color temperature of tungsten is higher than the equivalent true temperature in degrees celsius. In this paper, the temperature of both the filament and the bulb were estimated from the solution of the energy balance equations in the. The characteristics of tungsten filaments as functions of temperature. Thus for a. Temperature Of A Tungsten Filament.
     
    
         
        From www.semanticscholar.org 
                    Resistance and Radiation of Tungsten as a Function of Temperature Temperature Of A Tungsten Filament  A simple way to measure the temperature of incandescent surface is to compare the colour of the filament of a known. The atoms are heated to 4000 f to emit visible light. The characteristics of tungsten filaments as functions of temperature. The goal of this work proposed for undergraduate students and teachers is the calibration of a tungsten filament lamp. Temperature Of A Tungsten Filament.
     
    
         
        From www.globalsino.com 
                    Lifetime of Electron Gun Temperature Of A Tungsten Filament  The goal of this work proposed for undergraduate students and teachers is the calibration of a tungsten filament lamp from electric. Thus for a measured filament. A simple way to measure the temperature of incandescent surface is to compare the colour of the filament of a known. The characteristics of tungsten filaments as functions of temperature. Tungsten is durable under. Temperature Of A Tungsten Filament.
     
    
         
        From www.numerade.com 
                    Size of a LightBulb Filament. The operating temperature of a tungsten Temperature Of A Tungsten Filament  Tungsten is durable under such extreme temperature conditions. The atoms are heated to 4000 f to emit visible light. For a significant portion of the visible wavelength range, the color temperature of tungsten is higher than the equivalent true temperature in degrees celsius. The characteristics of tungsten filaments as functions of temperature. Thus for a measured filament. A simple way. Temperature Of A Tungsten Filament.
     
    
         
        From www.researchgate.net 
                    (a) Area of contact of tungsten filament with metallic conductor. (bd Temperature Of A Tungsten Filament  Tungsten is durable under such extreme temperature conditions. The characteristics of tungsten filaments as functions of temperature. The goal of this work proposed for undergraduate students and teachers is the calibration of a tungsten filament lamp from electric. A simple way to measure the temperature of incandescent surface is to compare the colour of the filament of a known. Thus. Temperature Of A Tungsten Filament.
     
    
         
        From www.doubtnut.com 
                    SunT3, tungsten filamentT2, welding arcT1 Temperature Of A Tungsten Filament  The characteristics of tungsten filaments as functions of temperature. In this paper, the temperature of both the filament and the bulb were estimated from the solution of the energy balance equations in the. For a significant portion of the visible wavelength range, the color temperature of tungsten is higher than the equivalent true temperature in degrees celsius. Thus for a. Temperature Of A Tungsten Filament.
     
    
         
        From www.toppr.com 
                    Resistance and Temperature26. A certain lightbulb has a tungsten Temperature Of A Tungsten Filament  Thus for a measured filament. In this paper, the temperature of both the filament and the bulb were estimated from the solution of the energy balance equations in the. The characteristics of tungsten filaments as functions of temperature. For a significant portion of the visible wavelength range, the color temperature of tungsten is higher than the equivalent true temperature in. Temperature Of A Tungsten Filament.