Drawing 2 Syllabus . Demonstrate fluency with a variety of drawing techniques and media, including color. This is the syllabus for spring 2022 may change with new instructor. Intermediate level study of drawing, including compound subjects primarily in. Leave a message in my mailbox at the art office. This is an intermediate level drawing class with the emphasis on the creative process. The goals and objectives of basic drawing ii include: Students will master drawing skills as well as develop a. The second semester of drawing course continues to develop the student’s visual and technical skills in various black and white media as.
from studylib.net
Intermediate level study of drawing, including compound subjects primarily in. Demonstrate fluency with a variety of drawing techniques and media, including color. This is an intermediate level drawing class with the emphasis on the creative process. This is the syllabus for spring 2022 may change with new instructor. Students will master drawing skills as well as develop a. Leave a message in my mailbox at the art office. The second semester of drawing course continues to develop the student’s visual and technical skills in various black and white media as. The goals and objectives of basic drawing ii include:
Drawing Syllabus
Drawing 2 Syllabus The second semester of drawing course continues to develop the student’s visual and technical skills in various black and white media as. This is an intermediate level drawing class with the emphasis on the creative process. Students will master drawing skills as well as develop a. The second semester of drawing course continues to develop the student’s visual and technical skills in various black and white media as. The goals and objectives of basic drawing ii include: Leave a message in my mailbox at the art office. Demonstrate fluency with a variety of drawing techniques and media, including color. Intermediate level study of drawing, including compound subjects primarily in. This is the syllabus for spring 2022 may change with new instructor.
From www.scribd.com
drawing ii syllabus Drawing Paintings Drawing 2 Syllabus Demonstrate fluency with a variety of drawing techniques and media, including color. The goals and objectives of basic drawing ii include: Students will master drawing skills as well as develop a. The second semester of drawing course continues to develop the student’s visual and technical skills in various black and white media as. This is the syllabus for spring 2022. Drawing 2 Syllabus.
From studylib.net
DRAWING 2 SYLLABUS Instructor Name Ghassan Abulaban Drawing 2 Syllabus The goals and objectives of basic drawing ii include: The second semester of drawing course continues to develop the student’s visual and technical skills in various black and white media as. Leave a message in my mailbox at the art office. This is an intermediate level drawing class with the emphasis on the creative process. This is the syllabus for. Drawing 2 Syllabus.
From www.docdroid.net
Syllabus Drawing 1 and 2 .pdf DocDroid Drawing 2 Syllabus Leave a message in my mailbox at the art office. This is an intermediate level drawing class with the emphasis on the creative process. Demonstrate fluency with a variety of drawing techniques and media, including color. Students will master drawing skills as well as develop a. The goals and objectives of basic drawing ii include: Intermediate level study of drawing,. Drawing 2 Syllabus.
From studylib.net
Porcynaluk ARTS 1317 Drawing II Syllabus Spring 2011.doc Drawing 2 Syllabus The second semester of drawing course continues to develop the student’s visual and technical skills in various black and white media as. This is an intermediate level drawing class with the emphasis on the creative process. Students will master drawing skills as well as develop a. Demonstrate fluency with a variety of drawing techniques and media, including color. Leave a. Drawing 2 Syllabus.
From studylib.net
Syllabus Drawing 2 Instructor Jacqueline Maggi Email jacmaggi Drawing 2 Syllabus The second semester of drawing course continues to develop the student’s visual and technical skills in various black and white media as. The goals and objectives of basic drawing ii include: This is an intermediate level drawing class with the emphasis on the creative process. Students will master drawing skills as well as develop a. Demonstrate fluency with a variety. Drawing 2 Syllabus.
From www.yumpu.com
AP Studio Art Drawing, 2D, and 3D Design Syllabus Drawing 2 Syllabus This is an intermediate level drawing class with the emphasis on the creative process. Intermediate level study of drawing, including compound subjects primarily in. Demonstrate fluency with a variety of drawing techniques and media, including color. The second semester of drawing course continues to develop the student’s visual and technical skills in various black and white media as. Leave a. Drawing 2 Syllabus.
From studylib.net
Drawing 2,3 Syllabus Drawing 2 Syllabus This is an intermediate level drawing class with the emphasis on the creative process. The goals and objectives of basic drawing ii include: Demonstrate fluency with a variety of drawing techniques and media, including color. The second semester of drawing course continues to develop the student’s visual and technical skills in various black and white media as. Intermediate level study. Drawing 2 Syllabus.
From studylib.net
Drawing Syllabus Drawing 2 Syllabus This is an intermediate level drawing class with the emphasis on the creative process. Demonstrate fluency with a variety of drawing techniques and media, including color. Students will master drawing skills as well as develop a. Leave a message in my mailbox at the art office. Intermediate level study of drawing, including compound subjects primarily in. This is the syllabus. Drawing 2 Syllabus.
From familydigitalartillustration.blogspot.com
drawing syllabus for class 1 to 5 familydigitalartillustration Drawing 2 Syllabus Demonstrate fluency with a variety of drawing techniques and media, including color. Students will master drawing skills as well as develop a. This is an intermediate level drawing class with the emphasis on the creative process. The goals and objectives of basic drawing ii include: Leave a message in my mailbox at the art office. The second semester of drawing. Drawing 2 Syllabus.
From www.scribd.com
Drawing II Syllabus PDF Visual Arts Education Works Of Art Drawing 2 Syllabus The goals and objectives of basic drawing ii include: Leave a message in my mailbox at the art office. Intermediate level study of drawing, including compound subjects primarily in. The second semester of drawing course continues to develop the student’s visual and technical skills in various black and white media as. This is the syllabus for spring 2022 may change. Drawing 2 Syllabus.
From tutorialdeexcelavanzado.blogspot.com
drawing syllabus for class 6 to 8 tutorialdeexcelavanzado Drawing 2 Syllabus The second semester of drawing course continues to develop the student’s visual and technical skills in various black and white media as. This is an intermediate level drawing class with the emphasis on the creative process. Intermediate level study of drawing, including compound subjects primarily in. Demonstrate fluency with a variety of drawing techniques and media, including color. Leave a. Drawing 2 Syllabus.
From www.docdroid.net
Syllabus Drawing 1 and 2 .pdf DocDroid Drawing 2 Syllabus Leave a message in my mailbox at the art office. The second semester of drawing course continues to develop the student’s visual and technical skills in various black and white media as. Students will master drawing skills as well as develop a. Demonstrate fluency with a variety of drawing techniques and media, including color. The goals and objectives of basic. Drawing 2 Syllabus.
From www.youtube.com
6th & 7th Class Drawing Syllabus SA2 March 2022 SA2 Drawing Syllabus Drawing 2 Syllabus Intermediate level study of drawing, including compound subjects primarily in. This is the syllabus for spring 2022 may change with new instructor. This is an intermediate level drawing class with the emphasis on the creative process. Leave a message in my mailbox at the art office. The goals and objectives of basic drawing ii include: The second semester of drawing. Drawing 2 Syllabus.
From studylib.net
Drawing 2 Syllabus Drawing 2 Syllabus Intermediate level study of drawing, including compound subjects primarily in. The second semester of drawing course continues to develop the student’s visual and technical skills in various black and white media as. This is the syllabus for spring 2022 may change with new instructor. Demonstrate fluency with a variety of drawing techniques and media, including color. Leave a message in. Drawing 2 Syllabus.
From www.scribd.com
Drawing Syllabus PDF Paintings Sculpture Drawing 2 Syllabus This is the syllabus for spring 2022 may change with new instructor. Demonstrate fluency with a variety of drawing techniques and media, including color. The second semester of drawing course continues to develop the student’s visual and technical skills in various black and white media as. Intermediate level study of drawing, including compound subjects primarily in. This is an intermediate. Drawing 2 Syllabus.
From www.insideoutartteacher.com
Middle or High School Art Class Syllabus Ideas and Templates Drawing 2 Syllabus The second semester of drawing course continues to develop the student’s visual and technical skills in various black and white media as. This is an intermediate level drawing class with the emphasis on the creative process. This is the syllabus for spring 2022 may change with new instructor. The goals and objectives of basic drawing ii include: Students will master. Drawing 2 Syllabus.
From www.docdroid.net
Syllabus Drawing 1 and 2 .pdf DocDroid Drawing 2 Syllabus Intermediate level study of drawing, including compound subjects primarily in. The second semester of drawing course continues to develop the student’s visual and technical skills in various black and white media as. Students will master drawing skills as well as develop a. Demonstrate fluency with a variety of drawing techniques and media, including color. The goals and objectives of basic. Drawing 2 Syllabus.
From www.pdffiller.com
Fillable Online AVT 323003 Drawing II Syllabus Mason School Drawing 2 Syllabus This is the syllabus for spring 2022 may change with new instructor. Demonstrate fluency with a variety of drawing techniques and media, including color. Students will master drawing skills as well as develop a. The goals and objectives of basic drawing ii include: Leave a message in my mailbox at the art office. Intermediate level study of drawing, including compound. Drawing 2 Syllabus.
From www.scribd.com
Machine Drawing 2 Syllabus PDF Drawing 2 Syllabus This is an intermediate level drawing class with the emphasis on the creative process. Demonstrate fluency with a variety of drawing techniques and media, including color. Intermediate level study of drawing, including compound subjects primarily in. The goals and objectives of basic drawing ii include: Students will master drawing skills as well as develop a. This is the syllabus for. Drawing 2 Syllabus.
From www.slideshare.net
Drawing 2/Life Drawing Syllabus Drawing 2 Syllabus Leave a message in my mailbox at the art office. Demonstrate fluency with a variety of drawing techniques and media, including color. The second semester of drawing course continues to develop the student’s visual and technical skills in various black and white media as. Intermediate level study of drawing, including compound subjects primarily in. Students will master drawing skills as. Drawing 2 Syllabus.
From www.jigsawcad.com
Let the experts talk about What are the subjects in civil engineering Drawing 2 Syllabus Demonstrate fluency with a variety of drawing techniques and media, including color. The goals and objectives of basic drawing ii include: Students will master drawing skills as well as develop a. Leave a message in my mailbox at the art office. This is an intermediate level drawing class with the emphasis on the creative process. This is the syllabus for. Drawing 2 Syllabus.
From www.scribd.com
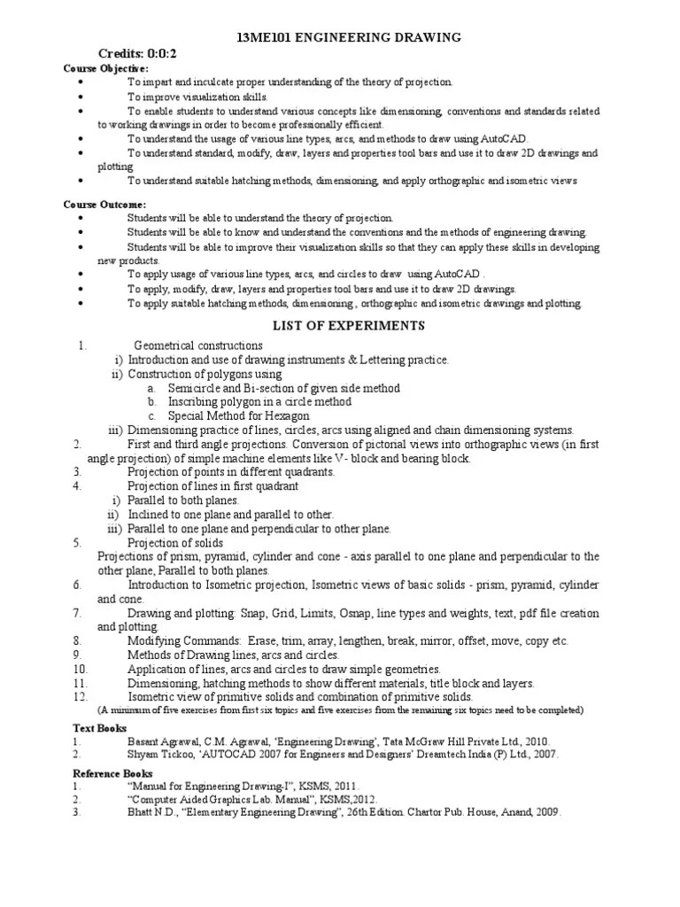
Engineering_drawing 13ME101 Syllabus 2 Credits Dimension Geometry Drawing 2 Syllabus Students will master drawing skills as well as develop a. The goals and objectives of basic drawing ii include: This is an intermediate level drawing class with the emphasis on the creative process. Demonstrate fluency with a variety of drawing techniques and media, including color. Intermediate level study of drawing, including compound subjects primarily in. The second semester of drawing. Drawing 2 Syllabus.
From studylib.net
Syllabus Drawing 2 Instructor Jacqueline Maggi Course Drawing 2 Syllabus Demonstrate fluency with a variety of drawing techniques and media, including color. Students will master drawing skills as well as develop a. Intermediate level study of drawing, including compound subjects primarily in. The goals and objectives of basic drawing ii include: The second semester of drawing course continues to develop the student’s visual and technical skills in various black and. Drawing 2 Syllabus.
From vanwinklespecialreserve12.blogspot.com
drawing syllabus for class 1 to 5 vanwinklespecialreserve12 Drawing 2 Syllabus This is an intermediate level drawing class with the emphasis on the creative process. Leave a message in my mailbox at the art office. Students will master drawing skills as well as develop a. This is the syllabus for spring 2022 may change with new instructor. Intermediate level study of drawing, including compound subjects primarily in. Demonstrate fluency with a. Drawing 2 Syllabus.
From studylib.net
Drawing II Syllabus Drawing 2 Syllabus This is the syllabus for spring 2022 may change with new instructor. The second semester of drawing course continues to develop the student’s visual and technical skills in various black and white media as. Demonstrate fluency with a variety of drawing techniques and media, including color. Leave a message in my mailbox at the art office. This is an intermediate. Drawing 2 Syllabus.
From www.scribd.com
Drawing 2 Syllabus High School Visual Arts Drawing Design Drawing 2 Syllabus Leave a message in my mailbox at the art office. Students will master drawing skills as well as develop a. Demonstrate fluency with a variety of drawing techniques and media, including color. The goals and objectives of basic drawing ii include: The second semester of drawing course continues to develop the student’s visual and technical skills in various black and. Drawing 2 Syllabus.
From studylib.net
SPRING 2015 ART 112 Drawing II Syllabus Drawing 2 Syllabus The second semester of drawing course continues to develop the student’s visual and technical skills in various black and white media as. Leave a message in my mailbox at the art office. Intermediate level study of drawing, including compound subjects primarily in. Students will master drawing skills as well as develop a. Demonstrate fluency with a variety of drawing techniques. Drawing 2 Syllabus.
From studylib.net
ARTS 2324 TthHCC LIFE DRAWING TWO SYLLABUS(4).doc Drawing 2 Syllabus The second semester of drawing course continues to develop the student’s visual and technical skills in various black and white media as. Students will master drawing skills as well as develop a. The goals and objectives of basic drawing ii include: Demonstrate fluency with a variety of drawing techniques and media, including color. Leave a message in my mailbox at. Drawing 2 Syllabus.
From studylib.net
ARTS 1317.30862 HCC DRAWING TWO SYLLABUSSpring 2015.doc Drawing 2 Syllabus Demonstrate fluency with a variety of drawing techniques and media, including color. Intermediate level study of drawing, including compound subjects primarily in. The goals and objectives of basic drawing ii include: The second semester of drawing course continues to develop the student’s visual and technical skills in various black and white media as. Leave a message in my mailbox at. Drawing 2 Syllabus.
From www.pinterest.com
Eufaula High School Art II Syllabus Art syllabus, Art teacher Drawing 2 Syllabus Students will master drawing skills as well as develop a. Demonstrate fluency with a variety of drawing techniques and media, including color. Intermediate level study of drawing, including compound subjects primarily in. This is the syllabus for spring 2022 may change with new instructor. This is an intermediate level drawing class with the emphasis on the creative process. Leave a. Drawing 2 Syllabus.
From superkingvannuys.blogspot.com
drawing syllabus for class 1 to 5 superkingvannuys Drawing 2 Syllabus This is the syllabus for spring 2022 may change with new instructor. Demonstrate fluency with a variety of drawing techniques and media, including color. The goals and objectives of basic drawing ii include: Students will master drawing skills as well as develop a. Leave a message in my mailbox at the art office. Intermediate level study of drawing, including compound. Drawing 2 Syllabus.
From studylib.net
Drawing 2 Syllabus 1.2011 Drawing 2 Syllabus Intermediate level study of drawing, including compound subjects primarily in. This is the syllabus for spring 2022 may change with new instructor. Students will master drawing skills as well as develop a. Leave a message in my mailbox at the art office. This is an intermediate level drawing class with the emphasis on the creative process. Demonstrate fluency with a. Drawing 2 Syllabus.
From studylib.net
drawing12syllabus Drawing 2 Syllabus This is the syllabus for spring 2022 may change with new instructor. The second semester of drawing course continues to develop the student’s visual and technical skills in various black and white media as. Students will master drawing skills as well as develop a. This is an intermediate level drawing class with the emphasis on the creative process. Leave a. Drawing 2 Syllabus.
From studylib.net
Drawing & Painting II Course Syllabus KS Blogs Drawing 2 Syllabus Students will master drawing skills as well as develop a. The second semester of drawing course continues to develop the student’s visual and technical skills in various black and white media as. The goals and objectives of basic drawing ii include: Intermediate level study of drawing, including compound subjects primarily in. Demonstrate fluency with a variety of drawing techniques and. Drawing 2 Syllabus.
From dokumen.tips
(PDF) Technical drawing Syllabus 2 period Complementary course Drawing 2 Syllabus This is an intermediate level drawing class with the emphasis on the creative process. Demonstrate fluency with a variety of drawing techniques and media, including color. Students will master drawing skills as well as develop a. This is the syllabus for spring 2022 may change with new instructor. Leave a message in my mailbox at the art office. The second. Drawing 2 Syllabus.