What Are Mops And Moes . Measures of effectiveness (moes), while commonly defined across army doctrinal publications, are explained in different and sometimes confusing ways throughout. Measure of effectiveness (moe) — a criterion used to assess changes in system behavior, capability, or operational environment that is. A metric used to measure a current system state. Mops and moes are defined as follows in the jcisfa sfa assessments handbook (2015) and the jcisfa sfa planning guide (forthcoming): The terms “mops” and “moes” are not interchangeable since they. Of effectiveness (moes) and measures of performance (mops) to determine progress relative to the mission, objectives, and end. Measures of effectiveness (moes) focus on the outcomes or results achieved by assessing how well objectives are met in terms of meeting stakeholder expectations or. “are we on track to achieve the intended new system state.
from www.mopsnmoes.com
Measure of effectiveness (moe) — a criterion used to assess changes in system behavior, capability, or operational environment that is. A metric used to measure a current system state. Of effectiveness (moes) and measures of performance (mops) to determine progress relative to the mission, objectives, and end. Mops and moes are defined as follows in the jcisfa sfa assessments handbook (2015) and the jcisfa sfa planning guide (forthcoming): Measures of effectiveness (moes), while commonly defined across army doctrinal publications, are explained in different and sometimes confusing ways throughout. “are we on track to achieve the intended new system state. The terms “mops” and “moes” are not interchangeable since they. Measures of effectiveness (moes) focus on the outcomes or results achieved by assessing how well objectives are met in terms of meeting stakeholder expectations or.
ExPOSEd Running Technique Doctrine or Ethics Violation? — MOPs and MOEs
What Are Mops And Moes Of effectiveness (moes) and measures of performance (mops) to determine progress relative to the mission, objectives, and end. Measures of effectiveness (moes) focus on the outcomes or results achieved by assessing how well objectives are met in terms of meeting stakeholder expectations or. “are we on track to achieve the intended new system state. A metric used to measure a current system state. The terms “mops” and “moes” are not interchangeable since they. Of effectiveness (moes) and measures of performance (mops) to determine progress relative to the mission, objectives, and end. Measure of effectiveness (moe) — a criterion used to assess changes in system behavior, capability, or operational environment that is. Mops and moes are defined as follows in the jcisfa sfa assessments handbook (2015) and the jcisfa sfa planning guide (forthcoming): Measures of effectiveness (moes), while commonly defined across army doctrinal publications, are explained in different and sometimes confusing ways throughout.
From www.mopsnmoes.com
Combining Fitness and Community — MOPs and MOEs What Are Mops And Moes “are we on track to achieve the intended new system state. Measures of effectiveness (moes) focus on the outcomes or results achieved by assessing how well objectives are met in terms of meeting stakeholder expectations or. Measure of effectiveness (moe) — a criterion used to assess changes in system behavior, capability, or operational environment that is. The terms “mops” and. What Are Mops And Moes.
From podcasters.spotify.com
How to Win Best Ranger with Vince Paikowski by MOPs & MOEs What Are Mops And Moes Measures of effectiveness (moes) focus on the outcomes or results achieved by assessing how well objectives are met in terms of meeting stakeholder expectations or. Measure of effectiveness (moe) — a criterion used to assess changes in system behavior, capability, or operational environment that is. “are we on track to achieve the intended new system state. A metric used to. What Are Mops And Moes.
From www.mopsnmoes.com
The Ozempic Episode — MOPs and MOEs What Are Mops And Moes Measure of effectiveness (moe) — a criterion used to assess changes in system behavior, capability, or operational environment that is. Of effectiveness (moes) and measures of performance (mops) to determine progress relative to the mission, objectives, and end. The terms “mops” and “moes” are not interchangeable since they. A metric used to measure a current system state. “are we on. What Are Mops And Moes.
From www.facebook.com
MOPs & MOEs THE RAND ACFT STUDY The executive summary... What Are Mops And Moes “are we on track to achieve the intended new system state. Of effectiveness (moes) and measures of performance (mops) to determine progress relative to the mission, objectives, and end. Mops and moes are defined as follows in the jcisfa sfa assessments handbook (2015) and the jcisfa sfa planning guide (forthcoming): Measures of effectiveness (moes), while commonly defined across army doctrinal. What Are Mops And Moes.
From www.mopsnmoes.com
Building a Culture of Performance — MOPs and MOEs What Are Mops And Moes A metric used to measure a current system state. “are we on track to achieve the intended new system state. Mops and moes are defined as follows in the jcisfa sfa assessments handbook (2015) and the jcisfa sfa planning guide (forthcoming): The terms “mops” and “moes” are not interchangeable since they. Of effectiveness (moes) and measures of performance (mops) to. What Are Mops And Moes.
From www.slideshare.net
Technical Performance Measures What Are Mops And Moes Of effectiveness (moes) and measures of performance (mops) to determine progress relative to the mission, objectives, and end. Mops and moes are defined as follows in the jcisfa sfa assessments handbook (2015) and the jcisfa sfa planning guide (forthcoming): Measures of effectiveness (moes), while commonly defined across army doctrinal publications, are explained in different and sometimes confusing ways throughout. Measures. What Are Mops And Moes.
From www.mopsnmoes.com
Three Things We've Change Our Minds About — MOPs and MOEs What Are Mops And Moes Mops and moes are defined as follows in the jcisfa sfa assessments handbook (2015) and the jcisfa sfa planning guide (forthcoming): A metric used to measure a current system state. “are we on track to achieve the intended new system state. The terms “mops” and “moes” are not interchangeable since they. Measures of effectiveness (moes) focus on the outcomes or. What Are Mops And Moes.
From www.mopsnmoes.com
The President’s Council on Sports, Fitness, and Nutrition — MOPs and MOEs What Are Mops And Moes Measures of effectiveness (moes), while commonly defined across army doctrinal publications, are explained in different and sometimes confusing ways throughout. A metric used to measure a current system state. Measure of effectiveness (moe) — a criterion used to assess changes in system behavior, capability, or operational environment that is. Mops and moes are defined as follows in the jcisfa sfa. What Are Mops And Moes.
From www.mopsnmoes.com
MOPs and MOEs What Are Mops And Moes A metric used to measure a current system state. Measures of effectiveness (moes), while commonly defined across army doctrinal publications, are explained in different and sometimes confusing ways throughout. Of effectiveness (moes) and measures of performance (mops) to determine progress relative to the mission, objectives, and end. Mops and moes are defined as follows in the jcisfa sfa assessments handbook. What Are Mops And Moes.
From www.slideserve.com
PPT New Methods for Approaching OT&E MOEs and MOPs PowerPoint What Are Mops And Moes Measures of effectiveness (moes) focus on the outcomes or results achieved by assessing how well objectives are met in terms of meeting stakeholder expectations or. A metric used to measure a current system state. Measures of effectiveness (moes), while commonly defined across army doctrinal publications, are explained in different and sometimes confusing ways throughout. The terms “mops” and “moes” are. What Are Mops And Moes.
From podcasts.apple.com
MOPs & MOEs The Dr Seuss of Strength Coach Mark Taysom on Apple Podcasts What Are Mops And Moes Measures of effectiveness (moes) focus on the outcomes or results achieved by assessing how well objectives are met in terms of meeting stakeholder expectations or. Measure of effectiveness (moe) — a criterion used to assess changes in system behavior, capability, or operational environment that is. Of effectiveness (moes) and measures of performance (mops) to determine progress relative to the mission,. What Are Mops And Moes.
From www.facebook.com
MOPs & MOEs ACFT ANNOUNCEMENT We finally have official... What Are Mops And Moes Measures of effectiveness (moes) focus on the outcomes or results achieved by assessing how well objectives are met in terms of meeting stakeholder expectations or. Measures of effectiveness (moes), while commonly defined across army doctrinal publications, are explained in different and sometimes confusing ways throughout. Measure of effectiveness (moe) — a criterion used to assess changes in system behavior, capability,. What Are Mops And Moes.
From www.slideserve.com
PPT Measures, Metrics, and SystemsofSystems PowerPoint Presentation What Are Mops And Moes Mops and moes are defined as follows in the jcisfa sfa assessments handbook (2015) and the jcisfa sfa planning guide (forthcoming): “are we on track to achieve the intended new system state. Measures of effectiveness (moes), while commonly defined across army doctrinal publications, are explained in different and sometimes confusing ways throughout. The terms “mops” and “moes” are not interchangeable. What Are Mops And Moes.
From www.mopsnmoes.com
Human Performance in the Cockpit — MOPs and MOEs What Are Mops And Moes The terms “mops” and “moes” are not interchangeable since they. Measures of effectiveness (moes), while commonly defined across army doctrinal publications, are explained in different and sometimes confusing ways throughout. A metric used to measure a current system state. Of effectiveness (moes) and measures of performance (mops) to determine progress relative to the mission, objectives, and end. Measure of effectiveness. What Are Mops And Moes.
From www.mopsnmoes.com
About — MOPs and MOEs What Are Mops And Moes Measure of effectiveness (moe) — a criterion used to assess changes in system behavior, capability, or operational environment that is. Mops and moes are defined as follows in the jcisfa sfa assessments handbook (2015) and the jcisfa sfa planning guide (forthcoming): A metric used to measure a current system state. Measures of effectiveness (moes), while commonly defined across army doctrinal. What Are Mops And Moes.
From www.scribd.com
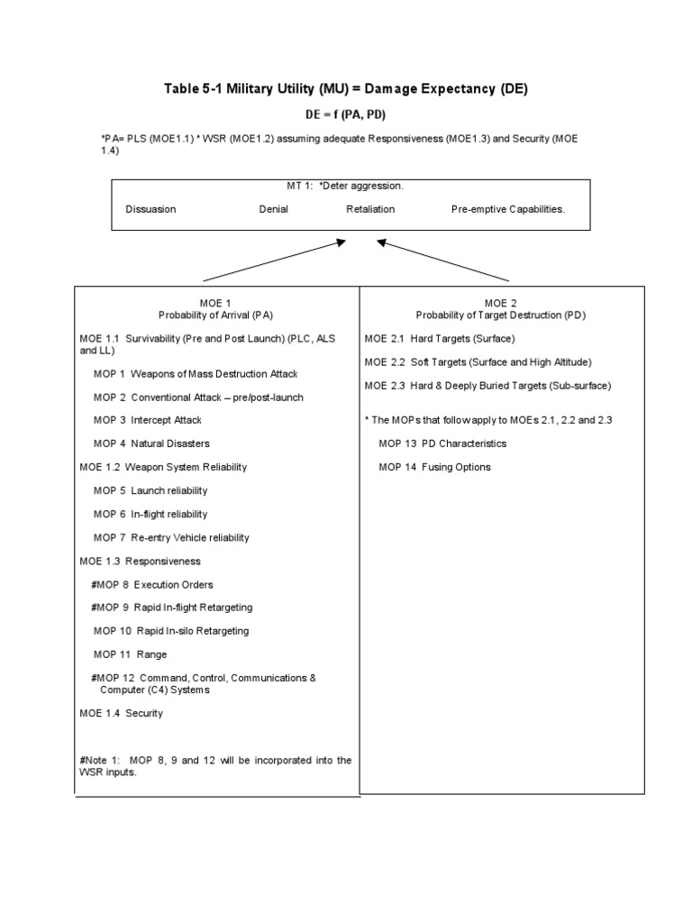
Moes and Mops PDF Command And Control Nuclear Weapons What Are Mops And Moes Measures of effectiveness (moes), while commonly defined across army doctrinal publications, are explained in different and sometimes confusing ways throughout. “are we on track to achieve the intended new system state. Measures of effectiveness (moes) focus on the outcomes or results achieved by assessing how well objectives are met in terms of meeting stakeholder expectations or. Measure of effectiveness (moe). What Are Mops And Moes.
From www.facebook.com
MOPs & MOEs THE RAND ACFT STUDY The executive summary... What Are Mops And Moes Mops and moes are defined as follows in the jcisfa sfa assessments handbook (2015) and the jcisfa sfa planning guide (forthcoming): “are we on track to achieve the intended new system state. Measure of effectiveness (moe) — a criterion used to assess changes in system behavior, capability, or operational environment that is. Measures of effectiveness (moes), while commonly defined across. What Are Mops And Moes.
From www.facebook.com
MOPs & MOEs ACFT ANNOUNCEMENT We finally have official... Facebook What Are Mops And Moes The terms “mops” and “moes” are not interchangeable since they. Measures of effectiveness (moes), while commonly defined across army doctrinal publications, are explained in different and sometimes confusing ways throughout. Measure of effectiveness (moe) — a criterion used to assess changes in system behavior, capability, or operational environment that is. Of effectiveness (moes) and measures of performance (mops) to determine. What Are Mops And Moes.
From www.mopsnmoes.com
MOPs and MOEs What Are Mops And Moes “are we on track to achieve the intended new system state. Measures of effectiveness (moes), while commonly defined across army doctrinal publications, are explained in different and sometimes confusing ways throughout. Of effectiveness (moes) and measures of performance (mops) to determine progress relative to the mission, objectives, and end. Mops and moes are defined as follows in the jcisfa sfa. What Are Mops And Moes.
From www.facebook.com
MOPs & MOEs THE RAND ACFT STUDY The executive summary... What Are Mops And Moes Of effectiveness (moes) and measures of performance (mops) to determine progress relative to the mission, objectives, and end. Mops and moes are defined as follows in the jcisfa sfa assessments handbook (2015) and the jcisfa sfa planning guide (forthcoming): Measures of effectiveness (moes) focus on the outcomes or results achieved by assessing how well objectives are met in terms of. What Are Mops And Moes.
From www.facebook.com
MOPs & MOEs MOPs & MOEs, now in podcast form! Social... Facebook What Are Mops And Moes Measures of effectiveness (moes) focus on the outcomes or results achieved by assessing how well objectives are met in terms of meeting stakeholder expectations or. Of effectiveness (moes) and measures of performance (mops) to determine progress relative to the mission, objectives, and end. Measures of effectiveness (moes), while commonly defined across army doctrinal publications, are explained in different and sometimes. What Are Mops And Moes.
From www.mopsnmoes.com
Roundtable Women in Tactical Strength and Conditioning — MOPs and MOEs What Are Mops And Moes Of effectiveness (moes) and measures of performance (mops) to determine progress relative to the mission, objectives, and end. Measures of effectiveness (moes), while commonly defined across army doctrinal publications, are explained in different and sometimes confusing ways throughout. “are we on track to achieve the intended new system state. Measure of effectiveness (moe) — a criterion used to assess changes. What Are Mops And Moes.
From www.slideserve.com
PPT Measuring the immeasurable? The EffectsBased Approach in What Are Mops And Moes Measure of effectiveness (moe) — a criterion used to assess changes in system behavior, capability, or operational environment that is. Of effectiveness (moes) and measures of performance (mops) to determine progress relative to the mission, objectives, and end. Measures of effectiveness (moes) focus on the outcomes or results achieved by assessing how well objectives are met in terms of meeting. What Are Mops And Moes.
From www.youtube.com
MOPs & MOEs YouTube What Are Mops And Moes Of effectiveness (moes) and measures of performance (mops) to determine progress relative to the mission, objectives, and end. Measures of effectiveness (moes), while commonly defined across army doctrinal publications, are explained in different and sometimes confusing ways throughout. “are we on track to achieve the intended new system state. Measure of effectiveness (moe) — a criterion used to assess changes. What Are Mops And Moes.
From www.mopsnmoes.com
ExPOSEd Running Technique Doctrine or Ethics Violation? — MOPs and MOEs What Are Mops And Moes Measures of effectiveness (moes), while commonly defined across army doctrinal publications, are explained in different and sometimes confusing ways throughout. Of effectiveness (moes) and measures of performance (mops) to determine progress relative to the mission, objectives, and end. The terms “mops” and “moes” are not interchangeable since they. Measures of effectiveness (moes) focus on the outcomes or results achieved by. What Are Mops And Moes.
From www.mopsnmoes.com
MOPs and MOEs What Are Mops And Moes Measure of effectiveness (moe) — a criterion used to assess changes in system behavior, capability, or operational environment that is. A metric used to measure a current system state. Measures of effectiveness (moes), while commonly defined across army doctrinal publications, are explained in different and sometimes confusing ways throughout. “are we on track to achieve the intended new system state.. What Are Mops And Moes.
From www.facebook.com
MOPs & MOEs THE RAND ACFT STUDY The executive summary... What Are Mops And Moes A metric used to measure a current system state. Measures of effectiveness (moes), while commonly defined across army doctrinal publications, are explained in different and sometimes confusing ways throughout. The terms “mops” and “moes” are not interchangeable since they. Measures of effectiveness (moes) focus on the outcomes or results achieved by assessing how well objectives are met in terms of. What Are Mops And Moes.
From www.slideserve.com
PPT Measures, Metrics, and SystemsofSystems PowerPoint Presentation What Are Mops And Moes Measure of effectiveness (moe) — a criterion used to assess changes in system behavior, capability, or operational environment that is. Measures of effectiveness (moes) focus on the outcomes or results achieved by assessing how well objectives are met in terms of meeting stakeholder expectations or. Mops and moes are defined as follows in the jcisfa sfa assessments handbook (2015) and. What Are Mops And Moes.
From www.slideserve.com
PPT New Methods for Approaching OT&E MOEs and MOPs PowerPoint What Are Mops And Moes A metric used to measure a current system state. “are we on track to achieve the intended new system state. Measures of effectiveness (moes), while commonly defined across army doctrinal publications, are explained in different and sometimes confusing ways throughout. Of effectiveness (moes) and measures of performance (mops) to determine progress relative to the mission, objectives, and end. Mops and. What Are Mops And Moes.
From www.semanticscholar.org
Table 64 from Technical Measurement. A Collaborative Project of PSM What Are Mops And Moes “are we on track to achieve the intended new system state. Measures of effectiveness (moes) focus on the outcomes or results achieved by assessing how well objectives are met in terms of meeting stakeholder expectations or. Of effectiveness (moes) and measures of performance (mops) to determine progress relative to the mission, objectives, and end. The terms “mops” and “moes” are. What Are Mops And Moes.
From www.facebook.com
MOPs & MOEs What Are Mops And Moes Of effectiveness (moes) and measures of performance (mops) to determine progress relative to the mission, objectives, and end. The terms “mops” and “moes” are not interchangeable since they. Measures of effectiveness (moes) focus on the outcomes or results achieved by assessing how well objectives are met in terms of meeting stakeholder expectations or. A metric used to measure a current. What Are Mops And Moes.
From www.mopsnmoes.com
NASA Series Part 4 — MOPs and MOEs What Are Mops And Moes A metric used to measure a current system state. Measure of effectiveness (moe) — a criterion used to assess changes in system behavior, capability, or operational environment that is. Measures of effectiveness (moes), while commonly defined across army doctrinal publications, are explained in different and sometimes confusing ways throughout. Mops and moes are defined as follows in the jcisfa sfa. What Are Mops And Moes.
From wildlandfire101.com
MOPS & MOES Podcast Featuring Katrina Mohr of What Are Mops And Moes Measures of effectiveness (moes), while commonly defined across army doctrinal publications, are explained in different and sometimes confusing ways throughout. Of effectiveness (moes) and measures of performance (mops) to determine progress relative to the mission, objectives, and end. “are we on track to achieve the intended new system state. Measures of effectiveness (moes) focus on the outcomes or results achieved. What Are Mops And Moes.
From podtail.com
Human Performance in the Cockpit with A10 Pilot Mike "Johnny Bravo What Are Mops And Moes Mops and moes are defined as follows in the jcisfa sfa assessments handbook (2015) and the jcisfa sfa planning guide (forthcoming): A metric used to measure a current system state. Measures of effectiveness (moes), while commonly defined across army doctrinal publications, are explained in different and sometimes confusing ways throughout. The terms “mops” and “moes” are not interchangeable since they.. What Are Mops And Moes.
From www.mopsnmoes.com
Sergeant Major of the Army (Retired) — MOPs and MOEs What Are Mops And Moes Mops and moes are defined as follows in the jcisfa sfa assessments handbook (2015) and the jcisfa sfa planning guide (forthcoming): Measures of effectiveness (moes) focus on the outcomes or results achieved by assessing how well objectives are met in terms of meeting stakeholder expectations or. A metric used to measure a current system state. The terms “mops” and “moes”. What Are Mops And Moes.