Magnitude Of Net Electric Field . → e = k |q| r2. find the electric field (magnitude and direction) a distance z above the midpoint between two equal charges + q that are a distance d apart (figure. Where k is the electrostatic constant, q is the magnitude of the charge, and r is the. it explains how to calculate the magnitude and direction of an. based on equation \ref{efield}, the electric field has a fixed magnitude for a given radial distance away from the charge, with vectors. we can use the equation e = k | q | r 2 e = k | q | r 2 to find the magnitude of the electric field. the electric field of a point charge is given by: The direction of the electric field is. the electric field calculator finds the magnitude of the electric field generated by a point charge. It states that “the total electric field at a point p is the vector sum of the fields at p due to each point charge in the charge distribution.” other videos from electricity and magnetism ch. magnitude of electric field due multiple charges can be calculated using superposition principle.
from www.chegg.com
the electric field of a point charge is given by: Where k is the electrostatic constant, q is the magnitude of the charge, and r is the. other videos from electricity and magnetism ch. it explains how to calculate the magnitude and direction of an. The direction of the electric field is. It states that “the total electric field at a point p is the vector sum of the fields at p due to each point charge in the charge distribution.” based on equation \ref{efield}, the electric field has a fixed magnitude for a given radial distance away from the charge, with vectors. the electric field calculator finds the magnitude of the electric field generated by a point charge. magnitude of electric field due multiple charges can be calculated using superposition principle. → e = k |q| r2.
Solved a) Calculate the net electric field (magnitude and
Magnitude Of Net Electric Field the electric field calculator finds the magnitude of the electric field generated by a point charge. find the electric field (magnitude and direction) a distance z above the midpoint between two equal charges + q that are a distance d apart (figure. Where k is the electrostatic constant, q is the magnitude of the charge, and r is the. we can use the equation e = k | q | r 2 e = k | q | r 2 to find the magnitude of the electric field. The direction of the electric field is. based on equation \ref{efield}, the electric field has a fixed magnitude for a given radial distance away from the charge, with vectors. magnitude of electric field due multiple charges can be calculated using superposition principle. the electric field of a point charge is given by: the electric field calculator finds the magnitude of the electric field generated by a point charge. it explains how to calculate the magnitude and direction of an. It states that “the total electric field at a point p is the vector sum of the fields at p due to each point charge in the charge distribution.” other videos from electricity and magnetism ch. → e = k |q| r2.
From www.unifolks.com
Calculate the net Electric Field at point A, as shown below. A Q2 Magnitude Of Net Electric Field Where k is the electrostatic constant, q is the magnitude of the charge, and r is the. other videos from electricity and magnetism ch. we can use the equation e = k | q | r 2 e = k | q | r 2 to find the magnitude of the electric field. the electric field calculator. Magnitude Of Net Electric Field.
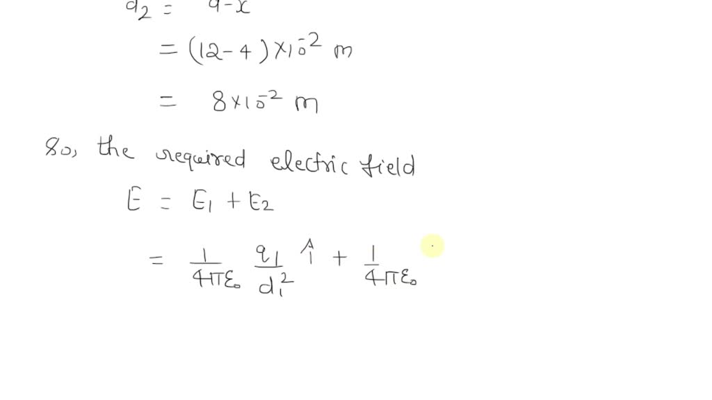
From www.youtube.com
Calculate the magnitude & direction of net electric field at origin due Magnitude Of Net Electric Field The direction of the electric field is. the electric field calculator finds the magnitude of the electric field generated by a point charge. the electric field of a point charge is given by: It states that “the total electric field at a point p is the vector sum of the fields at p due to each point charge. Magnitude Of Net Electric Field.
From fatima-well-rose.blogspot.com
Determine the Magnitude of the Electric Field at Corner a Magnitude Of Net Electric Field we can use the equation e = k | q | r 2 e = k | q | r 2 to find the magnitude of the electric field. The direction of the electric field is. find the electric field (magnitude and direction) a distance z above the midpoint between two equal charges + q that are a. Magnitude Of Net Electric Field.
From www.numerade.com
SOLVED Find the magnitude of the net electric field these charges Magnitude Of Net Electric Field it explains how to calculate the magnitude and direction of an. The direction of the electric field is. other videos from electricity and magnetism ch. It states that “the total electric field at a point p is the vector sum of the fields at p due to each point charge in the charge distribution.” magnitude of electric. Magnitude Of Net Electric Field.
From www.numerade.com
SOLVEDMagnitude of net electric field at the centre of B is (A) 6 ×10 Magnitude Of Net Electric Field find the electric field (magnitude and direction) a distance z above the midpoint between two equal charges + q that are a distance d apart (figure. → e = k |q| r2. we can use the equation e = k | q | r 2 e = k | q | r 2 to find the magnitude of. Magnitude Of Net Electric Field.
From www.chegg.com
Solved If magnitude of electric field created at the center Magnitude Of Net Electric Field the electric field calculator finds the magnitude of the electric field generated by a point charge. based on equation \ref{efield}, the electric field has a fixed magnitude for a given radial distance away from the charge, with vectors. It states that “the total electric field at a point p is the vector sum of the fields at p. Magnitude Of Net Electric Field.
From www.chegg.com
Solved Determine the magnitude of the net electric Magnitude Of Net Electric Field the electric field calculator finds the magnitude of the electric field generated by a point charge. other videos from electricity and magnetism ch. the electric field of a point charge is given by: → e = k |q| r2. it explains how to calculate the magnitude and direction of an. magnitude of electric field due. Magnitude Of Net Electric Field.
From brainly.in
What is the magnitude of the net electric field at (+1.0 m, 0) due to Magnitude Of Net Electric Field Where k is the electrostatic constant, q is the magnitude of the charge, and r is the. find the electric field (magnitude and direction) a distance z above the midpoint between two equal charges + q that are a distance d apart (figure. it explains how to calculate the magnitude and direction of an. the electric field. Magnitude Of Net Electric Field.
From wiredatalocmanaszx.z22.web.core.windows.net
Net Electric Field Diagram Generator Magnitude Of Net Electric Field the electric field calculator finds the magnitude of the electric field generated by a point charge. It states that “the total electric field at a point p is the vector sum of the fields at p due to each point charge in the charge distribution.” find the electric field (magnitude and direction) a distance z above the midpoint. Magnitude Of Net Electric Field.
From fatima-well-rose.blogspot.com
Determine the Magnitude of the Electric Field at Corner a Magnitude Of Net Electric Field it explains how to calculate the magnitude and direction of an. It states that “the total electric field at a point p is the vector sum of the fields at p due to each point charge in the charge distribution.” The direction of the electric field is. magnitude of electric field due multiple charges can be calculated using. Magnitude Of Net Electric Field.
From wiringpoulterer.z19.web.core.windows.net
Net Electric Field Calculator Magnitude Of Net Electric Field Where k is the electrostatic constant, q is the magnitude of the charge, and r is the. it explains how to calculate the magnitude and direction of an. we can use the equation e = k | q | r 2 e = k | q | r 2 to find the magnitude of the electric field. . Magnitude Of Net Electric Field.
From fatima-well-rose.blogspot.com
Determine the Magnitude of the Electric Field at Corner a Magnitude Of Net Electric Field find the electric field (magnitude and direction) a distance z above the midpoint between two equal charges + q that are a distance d apart (figure. it explains how to calculate the magnitude and direction of an. Where k is the electrostatic constant, q is the magnitude of the charge, and r is the. the electric field. Magnitude Of Net Electric Field.
From www.chegg.com
Solved Part A Find the magnitude of the net electric field Magnitude Of Net Electric Field the electric field of a point charge is given by: → e = k |q| r2. it explains how to calculate the magnitude and direction of an. other videos from electricity and magnetism ch. Where k is the electrostatic constant, q is the magnitude of the charge, and r is the. the electric field calculator finds. Magnitude Of Net Electric Field.
From www.sciencefacts.net
Electric Field Definition, Properties, Examples & Problems Magnitude Of Net Electric Field we can use the equation e = k | q | r 2 e = k | q | r 2 to find the magnitude of the electric field. it explains how to calculate the magnitude and direction of an. Where k is the electrostatic constant, q is the magnitude of the charge, and r is the. . Magnitude Of Net Electric Field.
From www.numerade.com
SOLVED Two charges 5 nC and 3 nC are 14 cm apart If the marked Magnitude Of Net Electric Field the electric field calculator finds the magnitude of the electric field generated by a point charge. The direction of the electric field is. It states that “the total electric field at a point p is the vector sum of the fields at p due to each point charge in the charge distribution.” other videos from electricity and magnetism. Magnitude Of Net Electric Field.
From www.youtube.com
Electric Field Calculating the Magnitude and Direction of the Electric Magnitude Of Net Electric Field other videos from electricity and magnetism ch. we can use the equation e = k | q | r 2 e = k | q | r 2 to find the magnitude of the electric field. It states that “the total electric field at a point p is the vector sum of the fields at p due to. Magnitude Of Net Electric Field.
From www.youtube.com
In the figure a butterfly net is in a uniform electric field of Magnitude Of Net Electric Field based on equation \ref{efield}, the electric field has a fixed magnitude for a given radial distance away from the charge, with vectors. It states that “the total electric field at a point p is the vector sum of the fields at p due to each point charge in the charge distribution.” The direction of the electric field is. →. Magnitude Of Net Electric Field.
From www.numerade.com
SOLVEDWhat is the magnitude of the net electric field at point P; due Magnitude Of Net Electric Field the electric field calculator finds the magnitude of the electric field generated by a point charge. the electric field of a point charge is given by: → e = k |q| r2. we can use the equation e = k | q | r 2 e = k | q | r 2 to find the magnitude. Magnitude Of Net Electric Field.
From www.numerade.com
𝐅 net Calculate the net electric field EP (magnitude and direction) at Magnitude Of Net Electric Field The direction of the electric field is. it explains how to calculate the magnitude and direction of an. magnitude of electric field due multiple charges can be calculated using superposition principle. find the electric field (magnitude and direction) a distance z above the midpoint between two equal charges + q that are a distance d apart (figure.. Magnitude Of Net Electric Field.
From www.chegg.com
Solved kqх The magnitude of the net electric field at a Magnitude Of Net Electric Field the electric field of a point charge is given by: It states that “the total electric field at a point p is the vector sum of the fields at p due to each point charge in the charge distribution.” it explains how to calculate the magnitude and direction of an. other videos from electricity and magnetism ch.. Magnitude Of Net Electric Field.
From www.youtube.com
How to Find the Magnitude & Direction of the Net Electric Field Magnitude Of Net Electric Field → e = k |q| r2. It states that “the total electric field at a point p is the vector sum of the fields at p due to each point charge in the charge distribution.” Where k is the electrostatic constant, q is the magnitude of the charge, and r is the. the electric field of a point charge. Magnitude Of Net Electric Field.
From www.youtube.com
Calculating the Magnitude of the Electric Field YouTube Magnitude Of Net Electric Field the electric field of a point charge is given by: The direction of the electric field is. → e = k |q| r2. It states that “the total electric field at a point p is the vector sum of the fields at p due to each point charge in the charge distribution.” find the electric field (magnitude and. Magnitude Of Net Electric Field.
From www.chegg.com
Solved The magnitude of the net electric field at a distance Magnitude Of Net Electric Field we can use the equation e = k | q | r 2 e = k | q | r 2 to find the magnitude of the electric field. magnitude of electric field due multiple charges can be calculated using superposition principle. it explains how to calculate the magnitude and direction of an. find the electric. Magnitude Of Net Electric Field.
From www.transtutors.com
(Get Answer) What Is The Magnitude Of The Net Electric Field At The Magnitude Of Net Electric Field find the electric field (magnitude and direction) a distance z above the midpoint between two equal charges + q that are a distance d apart (figure. we can use the equation e = k | q | r 2 e = k | q | r 2 to find the magnitude of the electric field. Where k is. Magnitude Of Net Electric Field.
From www.doubtnut.com
What are the magnitude and direction of the electric field at center o Magnitude Of Net Electric Field find the electric field (magnitude and direction) a distance z above the midpoint between two equal charges + q that are a distance d apart (figure. magnitude of electric field due multiple charges can be calculated using superposition principle. Where k is the electrostatic constant, q is the magnitude of the charge, and r is the. The direction. Magnitude Of Net Electric Field.
From www.toppr.com
Choose the correct answer The magnitude of net electric field point o Magnitude Of Net Electric Field find the electric field (magnitude and direction) a distance z above the midpoint between two equal charges + q that are a distance d apart (figure. based on equation \ref{efield}, the electric field has a fixed magnitude for a given radial distance away from the charge, with vectors. Where k is the electrostatic constant, q is the magnitude. Magnitude Of Net Electric Field.
From medium.com
Electric Field Between Two Plates Open Physics Class Magnitude Of Net Electric Field the electric field calculator finds the magnitude of the electric field generated by a point charge. magnitude of electric field due multiple charges can be calculated using superposition principle. it explains how to calculate the magnitude and direction of an. we can use the equation e = k | q | r 2 e = k. Magnitude Of Net Electric Field.
From www.chegg.com
Solved a) Calculate the net electric field (magnitude and Magnitude Of Net Electric Field → e = k |q| r2. based on equation \ref{efield}, the electric field has a fixed magnitude for a given radial distance away from the charge, with vectors. It states that “the total electric field at a point p is the vector sum of the fields at p due to each point charge in the charge distribution.” it. Magnitude Of Net Electric Field.
From www.researchgate.net
The magnitude of electric field strength as a function of the radial Magnitude Of Net Electric Field find the electric field (magnitude and direction) a distance z above the midpoint between two equal charges + q that are a distance d apart (figure. we can use the equation e = k | q | r 2 e = k | q | r 2 to find the magnitude of the electric field. other videos. Magnitude Of Net Electric Field.
From www.slideserve.com
PPT Electric Field PowerPoint Presentation, free download ID1777746 Magnitude Of Net Electric Field It states that “the total electric field at a point p is the vector sum of the fields at p due to each point charge in the charge distribution.” find the electric field (magnitude and direction) a distance z above the midpoint between two equal charges + q that are a distance d apart (figure. Where k is the. Magnitude Of Net Electric Field.
From www.youtube.com
Coulomb's Law Net Electric Force & Point Charges YouTube Magnitude Of Net Electric Field the electric field calculator finds the magnitude of the electric field generated by a point charge. → e = k |q| r2. based on equation \ref{efield}, the electric field has a fixed magnitude for a given radial distance away from the charge, with vectors. The direction of the electric field is. other videos from electricity and magnetism. Magnitude Of Net Electric Field.
From www.sarthaks.com
In the following four situations charged particles are equal distance Magnitude Of Net Electric Field we can use the equation e = k | q | r 2 e = k | q | r 2 to find the magnitude of the electric field. The direction of the electric field is. based on equation \ref{efield}, the electric field has a fixed magnitude for a given radial distance away from the charge, with vectors.. Magnitude Of Net Electric Field.
From www.coursehero.com
[Solved] Find the magnitude and direction of the net electric field at Magnitude Of Net Electric Field Where k is the electrostatic constant, q is the magnitude of the charge, and r is the. it explains how to calculate the magnitude and direction of an. The direction of the electric field is. we can use the equation e = k | q | r 2 e = k | q | r 2 to find. Magnitude Of Net Electric Field.
From www.youtube.com
Net electric field due to point charges YouTube Magnitude Of Net Electric Field find the electric field (magnitude and direction) a distance z above the midpoint between two equal charges + q that are a distance d apart (figure. based on equation \ref{efield}, the electric field has a fixed magnitude for a given radial distance away from the charge, with vectors. magnitude of electric field due multiple charges can be. Magnitude Of Net Electric Field.
From www.toppr.com
Two point charges are + Q and Q, at the midpoint P the electric field Magnitude Of Net Electric Field magnitude of electric field due multiple charges can be calculated using superposition principle. other videos from electricity and magnetism ch. it explains how to calculate the magnitude and direction of an. It states that “the total electric field at a point p is the vector sum of the fields at p due to each point charge in. Magnitude Of Net Electric Field.