Radar Peak Power . Target reflectivity (radar cross section) 2. the radar range equation connects: Power droop, pulse top amplitude, and overshoot are also of. estimate the required peak transmit power for a bistatic radar to achieve a minimum snr of 6 db for a target with an rcs of 1. thermal noise power • consider a receiver at the standard temperature, to degrees kelvin (k). The actual power in pulsed rf occurs during the pulses, but. peak power is a measure of the maximum instantaneous power level in the pulse. power measurements are classified as either peak pulse power, p p, or average power, p ave. since the devices we use to measure radar waves are averaging devices, we need to be able to express peak power in terms of the average power which. Over a range of frequencies of.
from www.slideserve.com
thermal noise power • consider a receiver at the standard temperature, to degrees kelvin (k). estimate the required peak transmit power for a bistatic radar to achieve a minimum snr of 6 db for a target with an rcs of 1. power measurements are classified as either peak pulse power, p p, or average power, p ave. The actual power in pulsed rf occurs during the pulses, but. since the devices we use to measure radar waves are averaging devices, we need to be able to express peak power in terms of the average power which. Power droop, pulse top amplitude, and overshoot are also of. the radar range equation connects: peak power is a measure of the maximum instantaneous power level in the pulse. Target reflectivity (radar cross section) 2. Over a range of frequencies of.
PPT Effects, Estimation, and Compensation of Frequency Sweep in FMCW * Ranging
Radar Peak Power the radar range equation connects: Over a range of frequencies of. Power droop, pulse top amplitude, and overshoot are also of. peak power is a measure of the maximum instantaneous power level in the pulse. Target reflectivity (radar cross section) 2. The actual power in pulsed rf occurs during the pulses, but. power measurements are classified as either peak pulse power, p p, or average power, p ave. thermal noise power • consider a receiver at the standard temperature, to degrees kelvin (k). estimate the required peak transmit power for a bistatic radar to achieve a minimum snr of 6 db for a target with an rcs of 1. since the devices we use to measure radar waves are averaging devices, we need to be able to express peak power in terms of the average power which. the radar range equation connects:
From www.researchgate.net
Locations of WSR88D radars (HTX, GWX, BMX and FCC), the Advanced Radar... Download Scientific Radar Peak Power estimate the required peak transmit power for a bistatic radar to achieve a minimum snr of 6 db for a target with an rcs of 1. Power droop, pulse top amplitude, and overshoot are also of. thermal noise power • consider a receiver at the standard temperature, to degrees kelvin (k). Target reflectivity (radar cross section) 2. . Radar Peak Power.
From www.slideserve.com
PPT Lecture Continuous Wave Radar PowerPoint Presentation, free download ID9640667 Radar Peak Power since the devices we use to measure radar waves are averaging devices, we need to be able to express peak power in terms of the average power which. power measurements are classified as either peak pulse power, p p, or average power, p ave. the radar range equation connects: The actual power in pulsed rf occurs during. Radar Peak Power.
From zhuanlan.zhihu.com
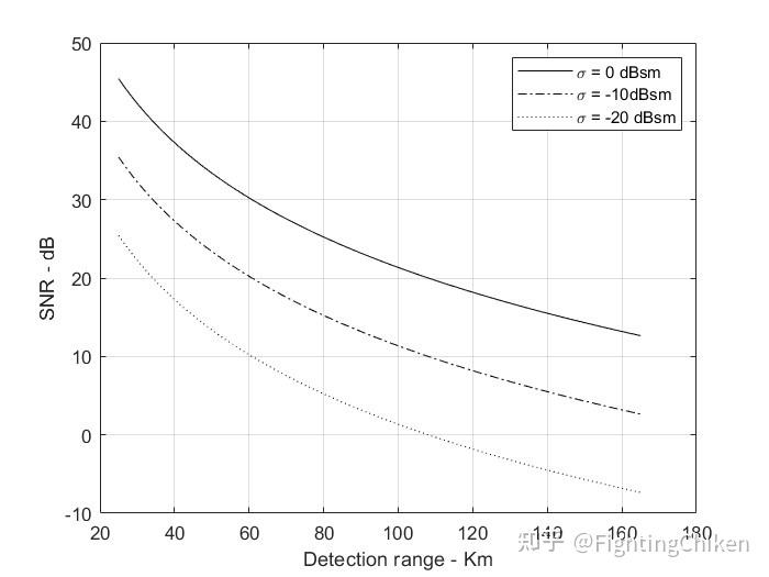
RADAR SIMULATION(二)(ESSENTIAL )(THE RADAR EQUATION) 知乎 Radar Peak Power Power droop, pulse top amplitude, and overshoot are also of. The actual power in pulsed rf occurs during the pulses, but. the radar range equation connects: estimate the required peak transmit power for a bistatic radar to achieve a minimum snr of 6 db for a target with an rcs of 1. Target reflectivity (radar cross section) 2.. Radar Peak Power.
From www.mdpi.com
Remote Sensing Free FullText Frequency Diversity Gain of a Wideband Radar Signal Radar Peak Power estimate the required peak transmit power for a bistatic radar to achieve a minimum snr of 6 db for a target with an rcs of 1. the radar range equation connects: Power droop, pulse top amplitude, and overshoot are also of. The actual power in pulsed rf occurs during the pulses, but. peak power is a measure. Radar Peak Power.
From syariftamamultiglobal.com
Furuno 1815 8.4″ Color LCD Radar Radar Peak Power Over a range of frequencies of. Power droop, pulse top amplitude, and overshoot are also of. power measurements are classified as either peak pulse power, p p, or average power, p ave. thermal noise power • consider a receiver at the standard temperature, to degrees kelvin (k). the radar range equation connects: estimate the required peak. Radar Peak Power.
From docslib.org
Testing High Power Gan Amplifiers for Radar Signals Using Peak Power Meters DocsLib Radar Peak Power thermal noise power • consider a receiver at the standard temperature, to degrees kelvin (k). estimate the required peak transmit power for a bistatic radar to achieve a minimum snr of 6 db for a target with an rcs of 1. since the devices we use to measure radar waves are averaging devices, we need to be. Radar Peak Power.
From ietresearch.onlinelibrary.wiley.com
Flexible blanket synthetic aperture radar jamming using joint frequency and phase modulation Radar Peak Power estimate the required peak transmit power for a bistatic radar to achieve a minimum snr of 6 db for a target with an rcs of 1. the radar range equation connects: peak power is a measure of the maximum instantaneous power level in the pulse. power measurements are classified as either peak pulse power, p p,. Radar Peak Power.
From www.youtube.com
MTI Radar Block Diagram Power Oscillator Transmitter Radar Systems Lec34 YouTube Radar Peak Power Power droop, pulse top amplitude, and overshoot are also of. The actual power in pulsed rf occurs during the pulses, but. since the devices we use to measure radar waves are averaging devices, we need to be able to express peak power in terms of the average power which. thermal noise power • consider a receiver at the. Radar Peak Power.
From www.youtube.com
Francis Peak FAA Radar Domes Farmington via Drone YouTube Radar Peak Power Over a range of frequencies of. the radar range equation connects: Target reflectivity (radar cross section) 2. Power droop, pulse top amplitude, and overshoot are also of. peak power is a measure of the maximum instantaneous power level in the pulse. power measurements are classified as either peak pulse power, p p, or average power, p ave.. Radar Peak Power.
From ahershbergercreative.com
Peak Radar Andrew Hershberger Creative Radar Peak Power thermal noise power • consider a receiver at the standard temperature, to degrees kelvin (k). the radar range equation connects: power measurements are classified as either peak pulse power, p p, or average power, p ave. peak power is a measure of the maximum instantaneous power level in the pulse. estimate the required peak transmit. Radar Peak Power.
From www.slideserve.com
PPT Effects, Estimation, and Compensation of Frequency Sweep in FMCW * Ranging Radar Peak Power Target reflectivity (radar cross section) 2. Over a range of frequencies of. estimate the required peak transmit power for a bistatic radar to achieve a minimum snr of 6 db for a target with an rcs of 1. thermal noise power • consider a receiver at the standard temperature, to degrees kelvin (k). power measurements are classified. Radar Peak Power.
From www.brooklynvegan.com
PUP members reunite with old bandmate in Radar Peak (listen) Radar Peak Power estimate the required peak transmit power for a bistatic radar to achieve a minimum snr of 6 db for a target with an rcs of 1. peak power is a measure of the maximum instantaneous power level in the pulse. The actual power in pulsed rf occurs during the pulses, but. the radar range equation connects: . Radar Peak Power.
From www.researchgate.net
Jammer Peak Power and Radar Peak Power to Cross Over Range Download Scientific Diagram Radar Peak Power the radar range equation connects: power measurements are classified as either peak pulse power, p p, or average power, p ave. thermal noise power • consider a receiver at the standard temperature, to degrees kelvin (k). peak power is a measure of the maximum instantaneous power level in the pulse. Power droop, pulse top amplitude, and. Radar Peak Power.
From www.psicompany.com
Furuno FAR2837S SBand RADAR with 12' Antenna Price Radar Peak Power the radar range equation connects: estimate the required peak transmit power for a bistatic radar to achieve a minimum snr of 6 db for a target with an rcs of 1. power measurements are classified as either peak pulse power, p p, or average power, p ave. Target reflectivity (radar cross section) 2. Power droop, pulse top. Radar Peak Power.
From www.chegg.com
Solved units)\\n\\\\table[[3D Air Search RADAR,],[Peak Radar Peak Power Target reflectivity (radar cross section) 2. the radar range equation connects: peak power is a measure of the maximum instantaneous power level in the pulse. since the devices we use to measure radar waves are averaging devices, we need to be able to express peak power in terms of the average power which. The actual power in. Radar Peak Power.
From www.renesas.com
Basics of FMCW Radar Renesas Radar Peak Power thermal noise power • consider a receiver at the standard temperature, to degrees kelvin (k). The actual power in pulsed rf occurs during the pulses, but. Target reflectivity (radar cross section) 2. power measurements are classified as either peak pulse power, p p, or average power, p ave. estimate the required peak transmit power for a bistatic. Radar Peak Power.
From nawindpower.com
Texas Tech Team’s New Radar Prototype Could Help Lower Energy Costs North American Windpower Radar Peak Power thermal noise power • consider a receiver at the standard temperature, to degrees kelvin (k). Over a range of frequencies of. The actual power in pulsed rf occurs during the pulses, but. since the devices we use to measure radar waves are averaging devices, we need to be able to express peak power in terms of the average. Radar Peak Power.
From studylib.net
Radar (Radio Detection And Ranging) Principle Radar Peak Power The actual power in pulsed rf occurs during the pulses, but. Target reflectivity (radar cross section) 2. thermal noise power • consider a receiver at the standard temperature, to degrees kelvin (k). power measurements are classified as either peak pulse power, p p, or average power, p ave. the radar range equation connects: Over a range of. Radar Peak Power.
From www.chegg.com
EXAMPLE PROBLEM 2 Find the range (km) at which the Radar Peak Power power measurements are classified as either peak pulse power, p p, or average power, p ave. The actual power in pulsed rf occurs during the pulses, but. Target reflectivity (radar cross section) 2. thermal noise power • consider a receiver at the standard temperature, to degrees kelvin (k). estimate the required peak transmit power for a bistatic. Radar Peak Power.
From www.mpdigest.com
Peak Power Meters Essential Instruments for Radar Power Amplifier Measurements Microwave Radar Peak Power thermal noise power • consider a receiver at the standard temperature, to degrees kelvin (k). estimate the required peak transmit power for a bistatic radar to achieve a minimum snr of 6 db for a target with an rcs of 1. The actual power in pulsed rf occurs during the pulses, but. Power droop, pulse top amplitude, and. Radar Peak Power.
From www.youtube.com
Introduction to Radar Systems Lecture 5 Detection of Signals; Part 2 YouTube Radar Peak Power peak power is a measure of the maximum instantaneous power level in the pulse. The actual power in pulsed rf occurs during the pulses, but. estimate the required peak transmit power for a bistatic radar to achieve a minimum snr of 6 db for a target with an rcs of 1. since the devices we use to. Radar Peak Power.
From www.numerade.com
(a) Derive the practical range equation for a radar based on receiver sensitivity. (b) A certain Radar Peak Power estimate the required peak transmit power for a bistatic radar to achieve a minimum snr of 6 db for a target with an rcs of 1. Over a range of frequencies of. Power droop, pulse top amplitude, and overshoot are also of. thermal noise power • consider a receiver at the standard temperature, to degrees kelvin (k). Target. Radar Peak Power.
From www.edrawmax.com
What is A Radar Chart with Examples EdrawMax Online Radar Peak Power Target reflectivity (radar cross section) 2. power measurements are classified as either peak pulse power, p p, or average power, p ave. The actual power in pulsed rf occurs during the pulses, but. peak power is a measure of the maximum instantaneous power level in the pulse. thermal noise power • consider a receiver at the standard. Radar Peak Power.
From www.rohde-schwarz.com
One power sensor for all automotive radar needs Rohde & Schwarz Radar Peak Power peak power is a measure of the maximum instantaneous power level in the pulse. estimate the required peak transmit power for a bistatic radar to achieve a minimum snr of 6 db for a target with an rcs of 1. power measurements are classified as either peak pulse power, p p, or average power, p ave. . Radar Peak Power.
From www.innosent.de
Basics of radar technology what is radar and how does it work? Radar Peak Power thermal noise power • consider a receiver at the standard temperature, to degrees kelvin (k). The actual power in pulsed rf occurs during the pulses, but. estimate the required peak transmit power for a bistatic radar to achieve a minimum snr of 6 db for a target with an rcs of 1. Power droop, pulse top amplitude, and. Radar Peak Power.
From www.keysight.com.cn
Pulse Radar Power Measurement with Peak Power Analyzer PDF Asset Page Keysight Radar Peak Power Target reflectivity (radar cross section) 2. The actual power in pulsed rf occurs during the pulses, but. power measurements are classified as either peak pulse power, p p, or average power, p ave. peak power is a measure of the maximum instantaneous power level in the pulse. estimate the required peak transmit power for a bistatic radar. Radar Peak Power.
From shows.acast.com
Radar Peak Hosted by Radar Peak Radar Peak Power power measurements are classified as either peak pulse power, p p, or average power, p ave. Over a range of frequencies of. The actual power in pulsed rf occurs during the pulses, but. thermal noise power • consider a receiver at the standard temperature, to degrees kelvin (k). Power droop, pulse top amplitude, and overshoot are also of.. Radar Peak Power.
From shopradarpeak.com
RADAR PEAK Radar Peak Power peak power is a measure of the maximum instantaneous power level in the pulse. The actual power in pulsed rf occurs during the pulses, but. Over a range of frequencies of. since the devices we use to measure radar waves are averaging devices, we need to be able to express peak power in terms of the average power. Radar Peak Power.
From openart.ai
radar peak in the three body problem, movie scene Stable Diffusion Radar Peak Power since the devices we use to measure radar waves are averaging devices, we need to be able to express peak power in terms of the average power which. Target reflectivity (radar cross section) 2. the radar range equation connects: peak power is a measure of the maximum instantaneous power level in the pulse. estimate the required. Radar Peak Power.
From www.slideshare.net
Components of a Pulse Radar System Radar Peak Power thermal noise power • consider a receiver at the standard temperature, to degrees kelvin (k). the radar range equation connects: Target reflectivity (radar cross section) 2. The actual power in pulsed rf occurs during the pulses, but. since the devices we use to measure radar waves are averaging devices, we need to be able to express peak. Radar Peak Power.
From www.chegg.com
Find the range at which the radar echo from low Radar Peak Power peak power is a measure of the maximum instantaneous power level in the pulse. power measurements are classified as either peak pulse power, p p, or average power, p ave. Target reflectivity (radar cross section) 2. Over a range of frequencies of. The actual power in pulsed rf occurs during the pulses, but. since the devices we. Radar Peak Power.
From www.aimil.com
Products Used in Defence (Production) under RFmicrowave AWT Radar Simulators, AnaPico RF Radar Peak Power The actual power in pulsed rf occurs during the pulses, but. Target reflectivity (radar cross section) 2. Over a range of frequencies of. power measurements are classified as either peak pulse power, p p, or average power, p ave. estimate the required peak transmit power for a bistatic radar to achieve a minimum snr of 6 db for. Radar Peak Power.
From www.dreamstime.com
Aviation Radar, Lesima Mountain Peak Lombardy. Color Image Editorial Photo Image of blue Radar Peak Power the radar range equation connects: Power droop, pulse top amplitude, and overshoot are also of. power measurements are classified as either peak pulse power, p p, or average power, p ave. estimate the required peak transmit power for a bistatic radar to achieve a minimum snr of 6 db for a target with an rcs of 1.. Radar Peak Power.
From www.tpsearchtool.com
Creating Sci Fi Space Radar Using Zmodeler Zbrush Modeling Video Images Radar Peak Power since the devices we use to measure radar waves are averaging devices, we need to be able to express peak power in terms of the average power which. estimate the required peak transmit power for a bistatic radar to achieve a minimum snr of 6 db for a target with an rcs of 1. The actual power in. Radar Peak Power.
From www.researchgate.net
(PDF) Measurement of Peak Radiated Power of a Pulsed Monostatic Radar System with Phased Array Radar Peak Power estimate the required peak transmit power for a bistatic radar to achieve a minimum snr of 6 db for a target with an rcs of 1. power measurements are classified as either peak pulse power, p p, or average power, p ave. The actual power in pulsed rf occurs during the pulses, but. since the devices we. Radar Peak Power.