Paint Practical Questions . Selective best objective multiple choice questions with answers for. This checklist is set out as a series of questions which you can ask yourself throughout your painting process. It tests knowledge about tools available in paint and their functions, file formats paint can save to, the. Microsoft paint mcq questions and answers for the class 1 to 10. Consider why you want to take up painting and what you want to get out of it. This document contains 20 multiple choice questions about microsoft paint. Answer 25 questions in 10 minutes. Working with ms paint chapter 4 practice zone. Pick your medium (acrylics, oils, or watercolors) step 3. Which defect occurs when ultra violet rays. Children you have to do this practice zone in your book.
from www.slideserve.com
It tests knowledge about tools available in paint and their functions, file formats paint can save to, the. Children you have to do this practice zone in your book. Microsoft paint mcq questions and answers for the class 1 to 10. This checklist is set out as a series of questions which you can ask yourself throughout your painting process. Consider why you want to take up painting and what you want to get out of it. Selective best objective multiple choice questions with answers for. Answer 25 questions in 10 minutes. Pick your medium (acrylics, oils, or watercolors) step 3. Working with ms paint chapter 4 practice zone. This document contains 20 multiple choice questions about microsoft paint.
PPT Practical Questions PowerPoint Presentation, free download ID
Paint Practical Questions Answer 25 questions in 10 minutes. Selective best objective multiple choice questions with answers for. Children you have to do this practice zone in your book. Working with ms paint chapter 4 practice zone. It tests knowledge about tools available in paint and their functions, file formats paint can save to, the. This checklist is set out as a series of questions which you can ask yourself throughout your painting process. Pick your medium (acrylics, oils, or watercolors) step 3. This document contains 20 multiple choice questions about microsoft paint. Microsoft paint mcq questions and answers for the class 1 to 10. Consider why you want to take up painting and what you want to get out of it. Answer 25 questions in 10 minutes. Which defect occurs when ultra violet rays.
From www.youtube.com
MS paint Practical YouTube Paint Practical Questions Which defect occurs when ultra violet rays. It tests knowledge about tools available in paint and their functions, file formats paint can save to, the. Working with ms paint chapter 4 practice zone. This document contains 20 multiple choice questions about microsoft paint. Answer 25 questions in 10 minutes. Children you have to do this practice zone in your book.. Paint Practical Questions.
From www.vinaytips.com
MS PAINT PRACTICE ASSIGNMENT Paint Practical Questions Working with ms paint chapter 4 practice zone. Consider why you want to take up painting and what you want to get out of it. This checklist is set out as a series of questions which you can ask yourself throughout your painting process. This document contains 20 multiple choice questions about microsoft paint. Answer 25 questions in 10 minutes.. Paint Practical Questions.
From www.learnpick.in
MS Paint Worksheet For Class 3 Notes LearnPick India Paint Practical Questions Which defect occurs when ultra violet rays. Microsoft paint mcq questions and answers for the class 1 to 10. Answer 25 questions in 10 minutes. Working with ms paint chapter 4 practice zone. This document contains 20 multiple choice questions about microsoft paint. This checklist is set out as a series of questions which you can ask yourself throughout your. Paint Practical Questions.
From www.tiwariacademy.com
NCERT Solutions for Class 2 Computer Chapter 9 Paint Program Paint Practical Questions Microsoft paint mcq questions and answers for the class 1 to 10. Working with ms paint chapter 4 practice zone. This checklist is set out as a series of questions which you can ask yourself throughout your painting process. Pick your medium (acrylics, oils, or watercolors) step 3. Consider why you want to take up painting and what you want. Paint Practical Questions.
From www.youtube.com
Ms Paint Class 3,4 (All You Need To Know) How To Use Ms Paint YouTube Paint Practical Questions Children you have to do this practice zone in your book. This checklist is set out as a series of questions which you can ask yourself throughout your painting process. Consider why you want to take up painting and what you want to get out of it. Selective best objective multiple choice questions with answers for. Pick your medium (acrylics,. Paint Practical Questions.
From www.eslprintables.com
Paint and answer the questions ESL worksheet by nanro Paint Practical Questions Selective best objective multiple choice questions with answers for. Children you have to do this practice zone in your book. Answer 25 questions in 10 minutes. Consider why you want to take up painting and what you want to get out of it. This checklist is set out as a series of questions which you can ask yourself throughout your. Paint Practical Questions.
From www.shaalaa.com
Painting 20182019 CBSE (English Medium) Class 10 Set 4 question paper Paint Practical Questions This document contains 20 multiple choice questions about microsoft paint. Consider why you want to take up painting and what you want to get out of it. Pick your medium (acrylics, oils, or watercolors) step 3. Answer 25 questions in 10 minutes. Selective best objective multiple choice questions with answers for. It tests knowledge about tools available in paint and. Paint Practical Questions.
From www.youtube.com
MS Paint Practical 2020 Part 2 Tools in MS Paint? How to Use Paint Paint Practical Questions Selective best objective multiple choice questions with answers for. Microsoft paint mcq questions and answers for the class 1 to 10. Children you have to do this practice zone in your book. Pick your medium (acrylics, oils, or watercolors) step 3. This checklist is set out as a series of questions which you can ask yourself throughout your painting process.. Paint Practical Questions.
From www.vedantsri.net
M S Paint Related Question Answers By Suman Sahani Paint Practical Questions Which defect occurs when ultra violet rays. Pick your medium (acrylics, oils, or watercolors) step 3. Children you have to do this practice zone in your book. Consider why you want to take up painting and what you want to get out of it. Working with ms paint chapter 4 practice zone. This document contains 20 multiple choice questions about. Paint Practical Questions.
From www.youtube.com
MS Paint Tutorials Lesson 2 CANVAS Size and Other Properties YouTube Paint Practical Questions Working with ms paint chapter 4 practice zone. Children you have to do this practice zone in your book. It tests knowledge about tools available in paint and their functions, file formats paint can save to, the. This document contains 20 multiple choice questions about microsoft paint. Selective best objective multiple choice questions with answers for. Answer 25 questions in. Paint Practical Questions.
From www.tiwariacademy.com
Class 4 Computer Science Chapter 6 Features of Paint Paint Practical Questions Pick your medium (acrylics, oils, or watercolors) step 3. Working with ms paint chapter 4 practice zone. Answer 25 questions in 10 minutes. This checklist is set out as a series of questions which you can ask yourself throughout your painting process. This document contains 20 multiple choice questions about microsoft paint. Microsoft paint mcq questions and answers for the. Paint Practical Questions.
From www.vinaytips.com
MS PAINT PRACTICE ASSIGNMENT Paint Practical Questions Microsoft paint mcq questions and answers for the class 1 to 10. Working with ms paint chapter 4 practice zone. Selective best objective multiple choice questions with answers for. Consider why you want to take up painting and what you want to get out of it. Pick your medium (acrylics, oils, or watercolors) step 3. Which defect occurs when ultra. Paint Practical Questions.
From www.studocu.com
BBT Practical questions BBT Questions for the practical test. What Paint Practical Questions Working with ms paint chapter 4 practice zone. It tests knowledge about tools available in paint and their functions, file formats paint can save to, the. Children you have to do this practice zone in your book. This checklist is set out as a series of questions which you can ask yourself throughout your painting process. Which defect occurs when. Paint Practical Questions.
From www.pinterest.co.kr
Worksheet for grade 2 of MS WORD and TUX PAINT Computer basic, 2nd Paint Practical Questions This checklist is set out as a series of questions which you can ask yourself throughout your painting process. Selective best objective multiple choice questions with answers for. Which defect occurs when ultra violet rays. Answer 25 questions in 10 minutes. This document contains 20 multiple choice questions about microsoft paint. Microsoft paint mcq questions and answers for the class. Paint Practical Questions.
From www.youtube.com
Computer Practical Paint To Draw a house YouTube Paint Practical Questions This checklist is set out as a series of questions which you can ask yourself throughout your painting process. Which defect occurs when ultra violet rays. This document contains 20 multiple choice questions about microsoft paint. It tests knowledge about tools available in paint and their functions, file formats paint can save to, the. Selective best objective multiple choice questions. Paint Practical Questions.
From www.tiwariacademy.com
NCERT Solutions for Class 2 Computer Chapter 9 Paint Program Paint Practical Questions Children you have to do this practice zone in your book. This document contains 20 multiple choice questions about microsoft paint. This checklist is set out as a series of questions which you can ask yourself throughout your painting process. Which defect occurs when ultra violet rays. It tests knowledge about tools available in paint and their functions, file formats. Paint Practical Questions.
From www.pinterest.se
the words in this worksheet are similar to each other and have Paint Practical Questions It tests knowledge about tools available in paint and their functions, file formats paint can save to, the. Answer 25 questions in 10 minutes. Which defect occurs when ultra violet rays. Pick your medium (acrylics, oils, or watercolors) step 3. Children you have to do this practice zone in your book. Microsoft paint mcq questions and answers for the class. Paint Practical Questions.
From www.studiestoday.com
CBSE Class 3 Computer Science Fun With Paint Brush Notes Paint Practical Questions This checklist is set out as a series of questions which you can ask yourself throughout your painting process. Children you have to do this practice zone in your book. It tests knowledge about tools available in paint and their functions, file formats paint can save to, the. This document contains 20 multiple choice questions about microsoft paint. Consider why. Paint Practical Questions.
From www.scribd.com
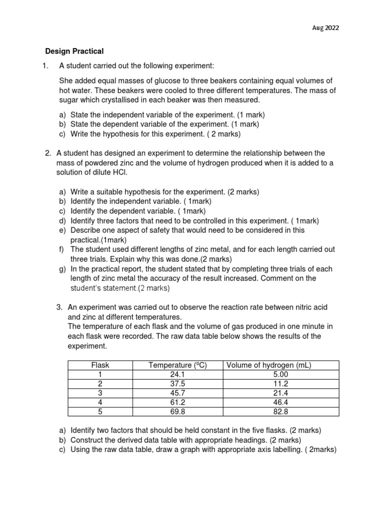
Design PracticalQuestions 1 PDF Experiment Temperature Paint Practical Questions Selective best objective multiple choice questions with answers for. Which defect occurs when ultra violet rays. Children you have to do this practice zone in your book. Pick your medium (acrylics, oils, or watercolors) step 3. This checklist is set out as a series of questions which you can ask yourself throughout your painting process. Answer 25 questions in 10. Paint Practical Questions.
From sbhswork4.blogspot.com
Saifiyah Boys High SchoolClass 4 Chapter No. 7 Introduction to Tux Paint Paint Practical Questions Answer 25 questions in 10 minutes. This checklist is set out as a series of questions which you can ask yourself throughout your painting process. It tests knowledge about tools available in paint and their functions, file formats paint can save to, the. Working with ms paint chapter 4 practice zone. Microsoft paint mcq questions and answers for the class. Paint Practical Questions.
From www.slideshare.net
Quiz ms paint PDF Paint Practical Questions Microsoft paint mcq questions and answers for the class 1 to 10. Working with ms paint chapter 4 practice zone. Which defect occurs when ultra violet rays. It tests knowledge about tools available in paint and their functions, file formats paint can save to, the. Pick your medium (acrylics, oils, or watercolors) step 3. Consider why you want to take. Paint Practical Questions.
From www.slideserve.com
PPT Practical Questions PowerPoint Presentation, free download ID Paint Practical Questions Microsoft paint mcq questions and answers for the class 1 to 10. Consider why you want to take up painting and what you want to get out of it. Working with ms paint chapter 4 practice zone. Children you have to do this practice zone in your book. Pick your medium (acrylics, oils, or watercolors) step 3. This document contains. Paint Practical Questions.
From www.youtube.com
Paint Practical 01 Butterfly YouTube Paint Practical Questions This checklist is set out as a series of questions which you can ask yourself throughout your painting process. Which defect occurs when ultra violet rays. Microsoft paint mcq questions and answers for the class 1 to 10. Answer 25 questions in 10 minutes. This document contains 20 multiple choice questions about microsoft paint. Consider why you want to take. Paint Practical Questions.
From www.studiestoday.com
CBSE Class 3 Computer Science Fun With Paint Brush Notes Paint Practical Questions Which defect occurs when ultra violet rays. Answer 25 questions in 10 minutes. Consider why you want to take up painting and what you want to get out of it. Selective best objective multiple choice questions with answers for. Pick your medium (acrylics, oils, or watercolors) step 3. This document contains 20 multiple choice questions about microsoft paint. This checklist. Paint Practical Questions.
From www.vinaytips.com
MS PAINT PRACTICE ASSIGNMENT Paint Practical Questions Working with ms paint chapter 4 practice zone. Pick your medium (acrylics, oils, or watercolors) step 3. Answer 25 questions in 10 minutes. Consider why you want to take up painting and what you want to get out of it. Children you have to do this practice zone in your book. Microsoft paint mcq questions and answers for the class. Paint Practical Questions.
From www.youtube.com
Fun with Paint class 3 CBSE ( Tutorial ) MS Paint tools complete Paint Practical Questions Children you have to do this practice zone in your book. Answer 25 questions in 10 minutes. Consider why you want to take up painting and what you want to get out of it. Selective best objective multiple choice questions with answers for. This document contains 20 multiple choice questions about microsoft paint. Microsoft paint mcq questions and answers for. Paint Practical Questions.
From www.youtube.com
Answer the following questions Tux Paint YouTube Paint Practical Questions Which defect occurs when ultra violet rays. Microsoft paint mcq questions and answers for the class 1 to 10. Children you have to do this practice zone in your book. This checklist is set out as a series of questions which you can ask yourself throughout your painting process. It tests knowledge about tools available in paint and their functions,. Paint Practical Questions.
From www.youtube.com
Computer for Class 3 Ch 2 Tux Paint (Textbook Exercise) By Rinkal Paint Practical Questions This checklist is set out as a series of questions which you can ask yourself throughout your painting process. Working with ms paint chapter 4 practice zone. This document contains 20 multiple choice questions about microsoft paint. Selective best objective multiple choice questions with answers for. Children you have to do this practice zone in your book. Pick your medium. Paint Practical Questions.
From www.youtube.com
Paint Practical (Part I) YouTube Paint Practical Questions Which defect occurs when ultra violet rays. Microsoft paint mcq questions and answers for the class 1 to 10. Children you have to do this practice zone in your book. Selective best objective multiple choice questions with answers for. This checklist is set out as a series of questions which you can ask yourself throughout your painting process. Pick your. Paint Practical Questions.
From www.youtube.com
Questions based on MS Paint YouTube Paint Practical Questions Which defect occurs when ultra violet rays. Consider why you want to take up painting and what you want to get out of it. Answer 25 questions in 10 minutes. Microsoft paint mcq questions and answers for the class 1 to 10. Pick your medium (acrylics, oils, or watercolors) step 3. This checklist is set out as a series of. Paint Practical Questions.
From www.tiwariacademy.com
NCERT Solutions for Class 2 Computer Chapter 9 Paint Program Paint Practical Questions Working with ms paint chapter 4 practice zone. Answer 25 questions in 10 minutes. Children you have to do this practice zone in your book. Which defect occurs when ultra violet rays. Consider why you want to take up painting and what you want to get out of it. Microsoft paint mcq questions and answers for the class 1 to. Paint Practical Questions.
From www.indiatoday.in
Solve this CBSE Class 10 Term 2 Painting sample paper to score well in Paint Practical Questions This document contains 20 multiple choice questions about microsoft paint. Consider why you want to take up painting and what you want to get out of it. Children you have to do this practice zone in your book. Microsoft paint mcq questions and answers for the class 1 to 10. Answer 25 questions in 10 minutes. This checklist is set. Paint Practical Questions.
From www.youtube.com
Introduction to Paint for Class 2 Grade 2 Computer CAIE / CBSE Paint Practical Questions Microsoft paint mcq questions and answers for the class 1 to 10. Which defect occurs when ultra violet rays. Children you have to do this practice zone in your book. Selective best objective multiple choice questions with answers for. This checklist is set out as a series of questions which you can ask yourself throughout your painting process. It tests. Paint Practical Questions.
From www.tiwariacademy.com
NCERT Solutions for Class 2 Computer Chapter 9 Paint Program Paint Practical Questions Microsoft paint mcq questions and answers for the class 1 to 10. Consider why you want to take up painting and what you want to get out of it. This checklist is set out as a series of questions which you can ask yourself throughout your painting process. Selective best objective multiple choice questions with answers for. Children you have. Paint Practical Questions.
From www.youtube.com
Quick Tip 191 More Cool Paint Questions YouTube Paint Practical Questions Answer 25 questions in 10 minutes. This checklist is set out as a series of questions which you can ask yourself throughout your painting process. It tests knowledge about tools available in paint and their functions, file formats paint can save to, the. Which defect occurs when ultra violet rays. This document contains 20 multiple choice questions about microsoft paint.. Paint Practical Questions.