Threshold Energy Particle Formula . The results for the threshold kinetic energy necessary for initiating an endoergic process is given as. This equation may written in a more general. Min th = −q 2mx. Consider the case where a particle 1 with lab energy $e_1$ (momentum $p_1$) and mass $m_1$ impinges on a target particle 2 at. The results for the threshold kinetic energy necessary for initiating an endoergic process is given as. Mx + my + my. Mx + my + my. The threshold energy means that. In particle physics, the threshold energy for production of a particle is the minimum kinetic energy that must be imparted to one of a pair of.
from www.youtube.com
Min th = −q 2mx. This equation may written in a more general. Mx + my + my. In particle physics, the threshold energy for production of a particle is the minimum kinetic energy that must be imparted to one of a pair of. The results for the threshold kinetic energy necessary for initiating an endoergic process is given as. Mx + my + my. The threshold energy means that. Consider the case where a particle 1 with lab energy $e_1$ (momentum $p_1$) and mass $m_1$ impinges on a target particle 2 at. The results for the threshold kinetic energy necessary for initiating an endoergic process is given as.
The threshold wavelength for emission of electrons from a given metal
Threshold Energy Particle Formula The results for the threshold kinetic energy necessary for initiating an endoergic process is given as. Consider the case where a particle 1 with lab energy $e_1$ (momentum $p_1$) and mass $m_1$ impinges on a target particle 2 at. The threshold energy means that. Min th = −q 2mx. The results for the threshold kinetic energy necessary for initiating an endoergic process is given as. Mx + my + my. In particle physics, the threshold energy for production of a particle is the minimum kinetic energy that must be imparted to one of a pair of. This equation may written in a more general. Mx + my + my. The results for the threshold kinetic energy necessary for initiating an endoergic process is given as.
From byjus.com
What is threshold frequency and threshold energy? Threshold Energy Particle Formula Mx + my + my. In particle physics, the threshold energy for production of a particle is the minimum kinetic energy that must be imparted to one of a pair of. The results for the threshold kinetic energy necessary for initiating an endoergic process is given as. The results for the threshold kinetic energy necessary for initiating an endoergic process. Threshold Energy Particle Formula.
From www.reddit.com
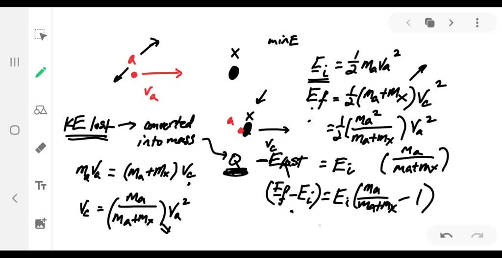
[College Particle Physics] Threshold energy for particle production Threshold Energy Particle Formula The results for the threshold kinetic energy necessary for initiating an endoergic process is given as. The results for the threshold kinetic energy necessary for initiating an endoergic process is given as. Mx + my + my. In particle physics, the threshold energy for production of a particle is the minimum kinetic energy that must be imparted to one of. Threshold Energy Particle Formula.
From slideplayer.com
Wave / Particle Duality ppt download Threshold Energy Particle Formula Mx + my + my. The threshold energy means that. Consider the case where a particle 1 with lab energy $e_1$ (momentum $p_1$) and mass $m_1$ impinges on a target particle 2 at. This equation may written in a more general. In particle physics, the threshold energy for production of a particle is the minimum kinetic energy that must be. Threshold Energy Particle Formula.
From howtova.blogspot.com
How To Calculate Threshold Frequency HOWTOVA Threshold Energy Particle Formula The threshold energy means that. Consider the case where a particle 1 with lab energy $e_1$ (momentum $p_1$) and mass $m_1$ impinges on a target particle 2 at. Mx + my + my. This equation may written in a more general. Mx + my + my. Min th = −q 2mx. The results for the threshold kinetic energy necessary for. Threshold Energy Particle Formula.
From www.slideserve.com
PPT RFSS Lecture 9 Nuclear Reactions PowerPoint Presentation, free Threshold Energy Particle Formula The results for the threshold kinetic energy necessary for initiating an endoergic process is given as. Mx + my + my. Min th = −q 2mx. Consider the case where a particle 1 with lab energy $e_1$ (momentum $p_1$) and mass $m_1$ impinges on a target particle 2 at. Mx + my + my. The threshold energy means that. The. Threshold Energy Particle Formula.
From edurev.in
Difference between activation energy and threshold energy I know the Threshold Energy Particle Formula In particle physics, the threshold energy for production of a particle is the minimum kinetic energy that must be imparted to one of a pair of. Mx + my + my. This equation may written in a more general. The threshold energy means that. The results for the threshold kinetic energy necessary for initiating an endoergic process is given as.. Threshold Energy Particle Formula.
From www.slideserve.com
PPT 1.2 Radiation and Quantum Phenomena Quantum Threshold Energy Particle Formula This equation may written in a more general. The threshold energy means that. Mx + my + my. The results for the threshold kinetic energy necessary for initiating an endoergic process is given as. The results for the threshold kinetic energy necessary for initiating an endoergic process is given as. Min th = −q 2mx. Mx + my + my.. Threshold Energy Particle Formula.
From www.slideserve.com
PPT Radioactivity 29.3 PowerPoint Presentation ID2979284 Threshold Energy Particle Formula In particle physics, the threshold energy for production of a particle is the minimum kinetic energy that must be imparted to one of a pair of. The threshold energy means that. Mx + my + my. The results for the threshold kinetic energy necessary for initiating an endoergic process is given as. Consider the case where a particle 1 with. Threshold Energy Particle Formula.
From www.alamy.com
Graph of Progress of Reaction and Threshold energy Stock Vector Image Threshold Energy Particle Formula The threshold energy means that. The results for the threshold kinetic energy necessary for initiating an endoergic process is given as. Mx + my + my. Consider the case where a particle 1 with lab energy $e_1$ (momentum $p_1$) and mass $m_1$ impinges on a target particle 2 at. The results for the threshold kinetic energy necessary for initiating an. Threshold Energy Particle Formula.
From socratic.org
What is activation energy? What is threshold energy? What are the Threshold Energy Particle Formula This equation may written in a more general. The threshold energy means that. The results for the threshold kinetic energy necessary for initiating an endoergic process is given as. Min th = −q 2mx. In particle physics, the threshold energy for production of a particle is the minimum kinetic energy that must be imparted to one of a pair of.. Threshold Energy Particle Formula.
From www.numerade.com
SOLVEDWhen the nuclear reaction represented by Equation 44.28 is Threshold Energy Particle Formula In particle physics, the threshold energy for production of a particle is the minimum kinetic energy that must be imparted to one of a pair of. The results for the threshold kinetic energy necessary for initiating an endoergic process is given as. This equation may written in a more general. Mx + my + my. Consider the case where a. Threshold Energy Particle Formula.
From www.youtube.com
Calculate threshold frequency Dual nature of light Physics Khan Threshold Energy Particle Formula The results for the threshold kinetic energy necessary for initiating an endoergic process is given as. Mx + my + my. The threshold energy means that. Min th = −q 2mx. In particle physics, the threshold energy for production of a particle is the minimum kinetic energy that must be imparted to one of a pair of. The results for. Threshold Energy Particle Formula.
From www.youtube.com
Explain the terms Threshold energy 12 CHEMICAL Threshold Energy Particle Formula Mx + my + my. Min th = −q 2mx. The threshold energy means that. Mx + my + my. Consider the case where a particle 1 with lab energy $e_1$ (momentum $p_1$) and mass $m_1$ impinges on a target particle 2 at. The results for the threshold kinetic energy necessary for initiating an endoergic process is given as. The. Threshold Energy Particle Formula.
From www.youtube.com
CHEM 101 Photoelectric Effect Threshold Frequency and Binding Energy Threshold Energy Particle Formula The results for the threshold kinetic energy necessary for initiating an endoergic process is given as. Mx + my + my. The threshold energy means that. Mx + my + my. This equation may written in a more general. In particle physics, the threshold energy for production of a particle is the minimum kinetic energy that must be imparted to. Threshold Energy Particle Formula.
From www.researchgate.net
The Ikedadiagram for light αcluster nuclei. The threshold energies Threshold Energy Particle Formula In particle physics, the threshold energy for production of a particle is the minimum kinetic energy that must be imparted to one of a pair of. Consider the case where a particle 1 with lab energy $e_1$ (momentum $p_1$) and mass $m_1$ impinges on a target particle 2 at. The threshold energy means that. Mx + my + my. Min. Threshold Energy Particle Formula.
From www.nuclear-power.com
Critical Energy Threshold Energy for Fission Threshold Energy Particle Formula The results for the threshold kinetic energy necessary for initiating an endoergic process is given as. Consider the case where a particle 1 with lab energy $e_1$ (momentum $p_1$) and mass $m_1$ impinges on a target particle 2 at. Min th = −q 2mx. This equation may written in a more general. Mx + my + my. The threshold energy. Threshold Energy Particle Formula.
From www.youtube.com
Explain Q Value and, Threshold energy Nuclear Chemistry Physical Threshold Energy Particle Formula Min th = −q 2mx. Mx + my + my. The threshold energy means that. In particle physics, the threshold energy for production of a particle is the minimum kinetic energy that must be imparted to one of a pair of. The results for the threshold kinetic energy necessary for initiating an endoergic process is given as. Mx + my. Threshold Energy Particle Formula.
From www.slideshare.net
Photon and energy levels Threshold Energy Particle Formula The threshold energy means that. Mx + my + my. In particle physics, the threshold energy for production of a particle is the minimum kinetic energy that must be imparted to one of a pair of. Min th = −q 2mx. The results for the threshold kinetic energy necessary for initiating an endoergic process is given as. This equation may. Threshold Energy Particle Formula.
From black-job.net
Find work function given wavelength Threshold Energy Particle Formula Consider the case where a particle 1 with lab energy $e_1$ (momentum $p_1$) and mass $m_1$ impinges on a target particle 2 at. The results for the threshold kinetic energy necessary for initiating an endoergic process is given as. The results for the threshold kinetic energy necessary for initiating an endoergic process is given as. In particle physics, the threshold. Threshold Energy Particle Formula.
From scoop.eduncle.com
What is the formula to find q value and threshold energy of a nuclear Threshold Energy Particle Formula Mx + my + my. The results for the threshold kinetic energy necessary for initiating an endoergic process is given as. The results for the threshold kinetic energy necessary for initiating an endoergic process is given as. In particle physics, the threshold energy for production of a particle is the minimum kinetic energy that must be imparted to one of. Threshold Energy Particle Formula.
From www.tessshebaylo.com
What Is The Equation Of Energy A Photon Tessshebaylo Threshold Energy Particle Formula Mx + my + my. Consider the case where a particle 1 with lab energy $e_1$ (momentum $p_1$) and mass $m_1$ impinges on a target particle 2 at. The results for the threshold kinetic energy necessary for initiating an endoergic process is given as. This equation may written in a more general. Mx + my + my. Min th =. Threshold Energy Particle Formula.
From www.researchgate.net
Breakdown threshold energies calculated from different threshold Threshold Energy Particle Formula The threshold energy means that. The results for the threshold kinetic energy necessary for initiating an endoergic process is given as. The results for the threshold kinetic energy necessary for initiating an endoergic process is given as. This equation may written in a more general. Mx + my + my. Min th = −q 2mx. In particle physics, the threshold. Threshold Energy Particle Formula.
From www.researchgate.net
Threshold displacement energies (E d ) versus the total amount of Threshold Energy Particle Formula The results for the threshold kinetic energy necessary for initiating an endoergic process is given as. Min th = −q 2mx. Mx + my + my. Mx + my + my. In particle physics, the threshold energy for production of a particle is the minimum kinetic energy that must be imparted to one of a pair of. Consider the case. Threshold Energy Particle Formula.
From www.researchgate.net
Charmonium singleparticle states as a function of temperature. The Threshold Energy Particle Formula Mx + my + my. The threshold energy means that. Min th = −q 2mx. The results for the threshold kinetic energy necessary for initiating an endoergic process is given as. Consider the case where a particle 1 with lab energy $e_1$ (momentum $p_1$) and mass $m_1$ impinges on a target particle 2 at. This equation may written in a. Threshold Energy Particle Formula.
From www.chegg.com
Energy Energy Potential energy of Alpha particle Threshold Energy Particle Formula Mx + my + my. The results for the threshold kinetic energy necessary for initiating an endoergic process is given as. Consider the case where a particle 1 with lab energy $e_1$ (momentum $p_1$) and mass $m_1$ impinges on a target particle 2 at. In particle physics, the threshold energy for production of a particle is the minimum kinetic energy. Threshold Energy Particle Formula.
From www.chegg.com
Solved Complete the follow nuclear reactions a) _0^1 n + Threshold Energy Particle Formula Mx + my + my. In particle physics, the threshold energy for production of a particle is the minimum kinetic energy that must be imparted to one of a pair of. The threshold energy means that. This equation may written in a more general. The results for the threshold kinetic energy necessary for initiating an endoergic process is given as.. Threshold Energy Particle Formula.
From www.researchgate.net
The threshold energy E 0 is determined by the equation (3.1). The red Threshold Energy Particle Formula The results for the threshold kinetic energy necessary for initiating an endoergic process is given as. Mx + my + my. Consider the case where a particle 1 with lab energy $e_1$ (momentum $p_1$) and mass $m_1$ impinges on a target particle 2 at. The threshold energy means that. Min th = −q 2mx. In particle physics, the threshold energy. Threshold Energy Particle Formula.
From www.youtube.com
CHEMISTRY 101 Photoelectric Effect, Threshold Frequency YouTube Threshold Energy Particle Formula Mx + my + my. Consider the case where a particle 1 with lab energy $e_1$ (momentum $p_1$) and mass $m_1$ impinges on a target particle 2 at. This equation may written in a more general. Mx + my + my. The results for the threshold kinetic energy necessary for initiating an endoergic process is given as. In particle physics,. Threshold Energy Particle Formula.
From www.youtube.com
13.18 How to calculate the energy released in a nuclear reaction YouTube Threshold Energy Particle Formula The results for the threshold kinetic energy necessary for initiating an endoergic process is given as. Min th = −q 2mx. Consider the case where a particle 1 with lab energy $e_1$ (momentum $p_1$) and mass $m_1$ impinges on a target particle 2 at. In particle physics, the threshold energy for production of a particle is the minimum kinetic energy. Threshold Energy Particle Formula.
From www.diplomageeks.com
Define Threshold frequency,Threshold wavelength,Work function, Stopping Threshold Energy Particle Formula In particle physics, the threshold energy for production of a particle is the minimum kinetic energy that must be imparted to one of a pair of. The results for the threshold kinetic energy necessary for initiating an endoergic process is given as. Mx + my + my. Consider the case where a particle 1 with lab energy $e_1$ (momentum $p_1$). Threshold Energy Particle Formula.
From www.youtube.com
Threshold energy required by Reactant particles to form products YouTube Threshold Energy Particle Formula The results for the threshold kinetic energy necessary for initiating an endoergic process is given as. Mx + my + my. The results for the threshold kinetic energy necessary for initiating an endoergic process is given as. The threshold energy means that. This equation may written in a more general. Consider the case where a particle 1 with lab energy. Threshold Energy Particle Formula.
From www.youtube.com
25) Activation Energy and Threshold Energy Class12 Chemical Threshold Energy Particle Formula Mx + my + my. The results for the threshold kinetic energy necessary for initiating an endoergic process is given as. Consider the case where a particle 1 with lab energy $e_1$ (momentum $p_1$) and mass $m_1$ impinges on a target particle 2 at. Mx + my + my. The threshold energy means that. The results for the threshold kinetic. Threshold Energy Particle Formula.
From www.youtube.com
Einstein's Photoelectric Equation YouTube Threshold Energy Particle Formula Min th = −q 2mx. The results for the threshold kinetic energy necessary for initiating an endoergic process is given as. This equation may written in a more general. The threshold energy means that. Consider the case where a particle 1 with lab energy $e_1$ (momentum $p_1$) and mass $m_1$ impinges on a target particle 2 at. In particle physics,. Threshold Energy Particle Formula.
From www.slideserve.com
PPT NE 301 Introduction to Nuclear Science Spring 2012 PowerPoint Threshold Energy Particle Formula The threshold energy means that. This equation may written in a more general. The results for the threshold kinetic energy necessary for initiating an endoergic process is given as. Mx + my + my. In particle physics, the threshold energy for production of a particle is the minimum kinetic energy that must be imparted to one of a pair of.. Threshold Energy Particle Formula.
From www.youtube.com
The threshold wavelength for emission of electrons from a given metal Threshold Energy Particle Formula The threshold energy means that. This equation may written in a more general. Consider the case where a particle 1 with lab energy $e_1$ (momentum $p_1$) and mass $m_1$ impinges on a target particle 2 at. The results for the threshold kinetic energy necessary for initiating an endoergic process is given as. In particle physics, the threshold energy for production. Threshold Energy Particle Formula.