Intake Valve Lift Calculator . The formulas are as follows: Enter the required information into the white boxes. 9 rows this calculator will help you rapidly determine the perfect camshaft for your application. Next, gather the formula from above. Lift can be measured using a dial indicator. To measure and confirm the rocker arm ratio calculation, determine the exact distance between the center of the pivot point. On most engines, valve lift will be greater than the lobe lift. In the upper area, calculate individual valve events and lobe centerlines by entering intake and exhaust duration, lobe separation and advance. This calculator will figure the intake valve lift using your parameters. Lift changes with rocker arm ratio variations. You will need to know the rocker arm ratio to calculate. The valve curtain area is the area of the flow window that opens when the valve is lifted off its seat. Next, determine the rocker ratio. Valve lift from rocker ratio calculator. First, determine the maximum lobe lift.
from www.researchgate.net
To measure and confirm the rocker arm ratio calculation, determine the exact distance between the center of the pivot point. Lift can be measured using a dial indicator. The valve curtain area is the area of the flow window that opens when the valve is lifted off its seat. This calculator will figure the intake valve lift using your parameters. Enter the required information into the white boxes. The following steps outline how to calculate the valve lift. Valve lift from rocker ratio calculator. Next, determine the rocker ratio. On most engines, valve lift will be greater than the lobe lift. In the upper area, calculate individual valve events and lobe centerlines by entering intake and exhaust duration, lobe separation and advance.
Experimental intake valve lift and speed at intake valve seating stage
Intake Valve Lift Calculator Lift changes with rocker arm ratio variations. Lift can be measured using a dial indicator. In the upper area, calculate individual valve events and lobe centerlines by entering intake and exhaust duration, lobe separation and advance. This calculator will figure the intake valve lift using your parameters. On most engines, valve lift will be greater than the lobe lift. 9 rows this calculator will help you rapidly determine the perfect camshaft for your application. The formulas are as follows: Enter the required information into the white boxes. Valve lift from rocker ratio calculator. You will need to know the rocker arm ratio to calculate. First, determine the maximum lobe lift. Next, gather the formula from above. Next, determine the rocker ratio. The following steps outline how to calculate the valve lift. To measure and confirm the rocker arm ratio calculation, determine the exact distance between the center of the pivot point. Lift changes with rocker arm ratio variations.
From www.researchgate.net
Intake and exhaust valve lift profiles of the TCC engine. Download Intake Valve Lift Calculator First, determine the maximum lobe lift. Enter the required information into the white boxes. The following steps outline how to calculate the valve lift. In the upper area, calculate individual valve events and lobe centerlines by entering intake and exhaust duration, lobe separation and advance. On most engines, valve lift will be greater than the lobe lift. Lift changes with. Intake Valve Lift Calculator.
From www.motortrend.com
Intake Valve Closing Point Critical for Maximizing Performance Intake Valve Lift Calculator When contemplating engine combinations and camshafts in particular, it is often useful to calculate the valve curtain area for a given valve lift and compare it to proposed changes by percentage. To measure and confirm the rocker arm ratio calculation, determine the exact distance between the center of the pivot point. On most engines, valve lift will be greater than. Intake Valve Lift Calculator.
From www.scribd.com
Checking Camshaft Timing Through Measuring Intake Valve Lift Using a Intake Valve Lift Calculator Next, gather the formula from above. First, determine the maximum lobe lift. Enter the required information into the white boxes. This calculator will figure the intake valve lift using your parameters. 9 rows this calculator will help you rapidly determine the perfect camshaft for your application. Next, determine the rocker ratio. When contemplating engine combinations and camshafts in particular, it. Intake Valve Lift Calculator.
From www.researchgate.net
Reduced mass variation vs. maximum intake valve lift variation Intake Valve Lift Calculator Next, gather the formula from above. On most engines, valve lift will be greater than the lobe lift. Enter the required information into the white boxes. The formulas are as follows: In the upper area, calculate individual valve events and lobe centerlines by entering intake and exhaust duration, lobe separation and advance. First, determine the maximum lobe lift. Valve lift. Intake Valve Lift Calculator.
From www.researchgate.net
Intake and Exhaust Valve Lifts and Suggested Start and End of Intake Valve Lift Calculator Lift changes with rocker arm ratio variations. This calculator will figure the intake valve lift using your parameters. The formulas are as follows: First, determine the maximum lobe lift. Next, gather the formula from above. Valve lift from rocker ratio calculator. The following steps outline how to calculate the valve lift. You will need to know the rocker arm ratio. Intake Valve Lift Calculator.
From www.researchgate.net
Flow coefficient vs. nondimensional valve lift Download Scientific Intake Valve Lift Calculator Lift can be measured using a dial indicator. Valve lift from rocker ratio calculator. The valve curtain area is the area of the flow window that opens when the valve is lifted off its seat. On most engines, valve lift will be greater than the lobe lift. You will need to know the rocker arm ratio to calculate. 9 rows. Intake Valve Lift Calculator.
From calculatorshub.net
Intake Valve Size Calculator Online Intake Valve Lift Calculator When contemplating engine combinations and camshafts in particular, it is often useful to calculate the valve curtain area for a given valve lift and compare it to proposed changes by percentage. Next, gather the formula from above. Valve lift from rocker ratio calculator. The valve curtain area is the area of the flow window that opens when the valve is. Intake Valve Lift Calculator.
From www.motortrend.com
Secrets Of Camshaft Power Car Craft Magazine Intake Valve Lift Calculator The following steps outline how to calculate the valve lift. Next, determine the rocker ratio. Next, gather the formula from above. 9 rows this calculator will help you rapidly determine the perfect camshaft for your application. The valve curtain area is the area of the flow window that opens when the valve is lifted off its seat. Lift can be. Intake Valve Lift Calculator.
From www.mdpi.com
Energies Free FullText Idle Operation with Low Intake Valve Lift Intake Valve Lift Calculator In the upper area, calculate individual valve events and lobe centerlines by entering intake and exhaust duration, lobe separation and advance. You will need to know the rocker arm ratio to calculate. To measure and confirm the rocker arm ratio calculation, determine the exact distance between the center of the pivot point. Next, gather the formula from above. The valve. Intake Valve Lift Calculator.
From www.numerade.com
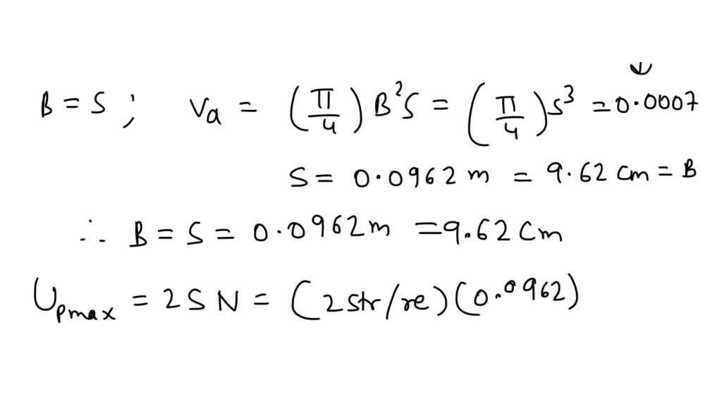
SOLVED'External problem assignment chapter 7 A 3liter 6eylinders Intake Valve Lift Calculator Lift can be measured using a dial indicator. The formulas are as follows: Next, gather the formula from above. On most engines, valve lift will be greater than the lobe lift. When contemplating engine combinations and camshafts in particular, it is often useful to calculate the valve curtain area for a given valve lift and compare it to proposed changes. Intake Valve Lift Calculator.
From www.researchgate.net
Experimental intake valve lift and speed at intake valve seating stage Intake Valve Lift Calculator The following steps outline how to calculate the valve lift. In the upper area, calculate individual valve events and lobe centerlines by entering intake and exhaust duration, lobe separation and advance. The valve curtain area is the area of the flow window that opens when the valve is lifted off its seat. Next, gather the formula from above. The formulas. Intake Valve Lift Calculator.
From www.hotrodders.com
David Vizard cam Hot Rod Forum Intake Valve Lift Calculator The formulas are as follows: You will need to know the rocker arm ratio to calculate. The valve curtain area is the area of the flow window that opens when the valve is lifted off its seat. 9 rows this calculator will help you rapidly determine the perfect camshaft for your application. To measure and confirm the rocker arm ratio. Intake Valve Lift Calculator.
From carpartsfaq.com
How to Calculate Valve Lift Intake Valve Lift Calculator This calculator will figure the intake valve lift using your parameters. You will need to know the rocker arm ratio to calculate. The valve curtain area is the area of the flow window that opens when the valve is lifted off its seat. The following steps outline how to calculate the valve lift. 9 rows this calculator will help you. Intake Valve Lift Calculator.
From www.researchgate.net
Intake valve lift profiles used for the valve lift sweep. Download Intake Valve Lift Calculator The following steps outline how to calculate the valve lift. The formulas are as follows: This calculator will figure the intake valve lift using your parameters. Next, gather the formula from above. You will need to know the rocker arm ratio to calculate. Next, determine the rocker ratio. On most engines, valve lift will be greater than the lobe lift.. Intake Valve Lift Calculator.
From www.onallcylinders.com
Mailbag Explaining Valve Overlap for Camshafts Intake Valve Lift Calculator Enter the required information into the white boxes. To measure and confirm the rocker arm ratio calculation, determine the exact distance between the center of the pivot point. The valve curtain area is the area of the flow window that opens when the valve is lifted off its seat. 9 rows this calculator will help you rapidly determine the perfect. Intake Valve Lift Calculator.
From www.researchgate.net
Intake and exhaust valve lift curve. Download Scientific Diagram Intake Valve Lift Calculator The valve curtain area is the area of the flow window that opens when the valve is lifted off its seat. In the upper area, calculate individual valve events and lobe centerlines by entering intake and exhaust duration, lobe separation and advance. Enter the required information into the white boxes. First, determine the maximum lobe lift. 9 rows this calculator. Intake Valve Lift Calculator.
From www.ingenieriaymecanicaautomotriz.com
VALVE TIMING DIAGRAM OF TWO STROKE AND FOUR STROKE ENGINES THEORETICAL Intake Valve Lift Calculator First, determine the maximum lobe lift. On most engines, valve lift will be greater than the lobe lift. The formulas are as follows: Enter the required information into the white boxes. 9 rows this calculator will help you rapidly determine the perfect camshaft for your application. The following steps outline how to calculate the valve lift. In the upper area,. Intake Valve Lift Calculator.
From www.researchgate.net
Intake valve lift profiles used in the valve timing sweep. Download Intake Valve Lift Calculator On most engines, valve lift will be greater than the lobe lift. To measure and confirm the rocker arm ratio calculation, determine the exact distance between the center of the pivot point. You will need to know the rocker arm ratio to calculate. The following steps outline how to calculate the valve lift. Next, determine the rocker ratio. The valve. Intake Valve Lift Calculator.
From www.greencarcongress.com
GM applying new intake valve lift control technology in 2.5L Ecotec for Intake Valve Lift Calculator On most engines, valve lift will be greater than the lobe lift. In the upper area, calculate individual valve events and lobe centerlines by entering intake and exhaust duration, lobe separation and advance. Lift can be measured using a dial indicator. Next, determine the rocker ratio. This calculator will figure the intake valve lift using your parameters. To measure and. Intake Valve Lift Calculator.
From www.researchgate.net
Flow velocity field at the moment of maximum intake flow velocity Intake Valve Lift Calculator Next, determine the rocker ratio. Lift changes with rocker arm ratio variations. Valve lift from rocker ratio calculator. Enter the required information into the white boxes. The formulas are as follows: The valve curtain area is the area of the flow window that opens when the valve is lifted off its seat. In the upper area, calculate individual valve events. Intake Valve Lift Calculator.
From carpartsfaq.com
How to Calculate Valve Lift Intake Valve Lift Calculator Valve lift from rocker ratio calculator. When contemplating engine combinations and camshafts in particular, it is often useful to calculate the valve curtain area for a given valve lift and compare it to proposed changes by percentage. In the upper area, calculate individual valve events and lobe centerlines by entering intake and exhaust duration, lobe separation and advance. Next, gather. Intake Valve Lift Calculator.
From innovationdiscoveries.space
Back To Basics Camshaft and Terminology Intake Valve Lift Calculator The following steps outline how to calculate the valve lift. When contemplating engine combinations and camshafts in particular, it is often useful to calculate the valve curtain area for a given valve lift and compare it to proposed changes by percentage. Lift can be measured using a dial indicator. Valve lift from rocker ratio calculator. On most engines, valve lift. Intake Valve Lift Calculator.
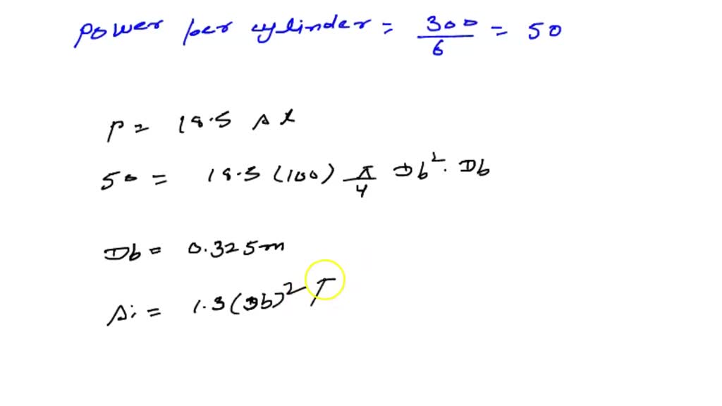
From www.numerade.com
SOLVED A 2.8litre fourcylinder square engine (bore = stroke) with Intake Valve Lift Calculator Valve lift from rocker ratio calculator. Enter the required information into the white boxes. You will need to know the rocker arm ratio to calculate. The valve curtain area is the area of the flow window that opens when the valve is lifted off its seat. Lift changes with rocker arm ratio variations. The following steps outline how to calculate. Intake Valve Lift Calculator.
From theinstrumentguru.com
Control valve sizing calculator Cv Calculator Intake Valve Lift Calculator On most engines, valve lift will be greater than the lobe lift. When contemplating engine combinations and camshafts in particular, it is often useful to calculate the valve curtain area for a given valve lift and compare it to proposed changes by percentage. Lift can be measured using a dial indicator. The valve curtain area is the area of the. Intake Valve Lift Calculator.
From www.gminsidenews.com
2014 Impala to Get Variable Intake Valve Lift GM Inside News Forum Intake Valve Lift Calculator You will need to know the rocker arm ratio to calculate. To measure and confirm the rocker arm ratio calculation, determine the exact distance between the center of the pivot point. Next, gather the formula from above. Lift changes with rocker arm ratio variations. In the upper area, calculate individual valve events and lobe centerlines by entering intake and exhaust. Intake Valve Lift Calculator.
From www.researchgate.net
Variable valve timing and lift for Ferrari V8. Vertical axes show the Intake Valve Lift Calculator The following steps outline how to calculate the valve lift. Lift can be measured using a dial indicator. When contemplating engine combinations and camshafts in particular, it is often useful to calculate the valve curtain area for a given valve lift and compare it to proposed changes by percentage. The valve curtain area is the area of the flow window. Intake Valve Lift Calculator.
From gopps.com
NPSH Suction Lift Calculator Intake Valve Lift Calculator When contemplating engine combinations and camshafts in particular, it is often useful to calculate the valve curtain area for a given valve lift and compare it to proposed changes by percentage. Enter the required information into the white boxes. To measure and confirm the rocker arm ratio calculation, determine the exact distance between the center of the pivot point. The. Intake Valve Lift Calculator.
From www.youtube.com
Control Valve Full Calculation Step by Step with Example Valve Intake Valve Lift Calculator Enter the required information into the white boxes. This calculator will figure the intake valve lift using your parameters. In the upper area, calculate individual valve events and lobe centerlines by entering intake and exhaust duration, lobe separation and advance. First, determine the maximum lobe lift. Next, gather the formula from above. The formulas are as follows: When contemplating engine. Intake Valve Lift Calculator.
From www.mdpi.com
Intake Valve Profile Optimization for a PistonType Expander Based on Load Intake Valve Lift Calculator On most engines, valve lift will be greater than the lobe lift. The formulas are as follows: Enter the required information into the white boxes. Next, gather the formula from above. When contemplating engine combinations and camshafts in particular, it is often useful to calculate the valve curtain area for a given valve lift and compare it to proposed changes. Intake Valve Lift Calculator.
From luxurycarwallpaperz.blogspot.com
MULTIAIR FIAT VALVELIFT SYSTEM EXPLAINED AUTOS CAR Intake Valve Lift Calculator 9 rows this calculator will help you rapidly determine the perfect camshaft for your application. To measure and confirm the rocker arm ratio calculation, determine the exact distance between the center of the pivot point. The valve curtain area is the area of the flow window that opens when the valve is lifted off its seat. First, determine the maximum. Intake Valve Lift Calculator.
From www.jmcampbell.com
Overview of Gas Lift; Part 3 Operational Field Procedure for Intake Valve Lift Calculator First, determine the maximum lobe lift. Next, determine the rocker ratio. Lift changes with rocker arm ratio variations. Lift can be measured using a dial indicator. Valve lift from rocker ratio calculator. 9 rows this calculator will help you rapidly determine the perfect camshaft for your application. On most engines, valve lift will be greater than the lobe lift. Next,. Intake Valve Lift Calculator.
From www.cartechbooks.com
Camshafts Demystified Intake Valve Lift Calculator Valve lift from rocker ratio calculator. The valve curtain area is the area of the flow window that opens when the valve is lifted off its seat. Next, gather the formula from above. On most engines, valve lift will be greater than the lobe lift. First, determine the maximum lobe lift. Lift changes with rocker arm ratio variations. Lift can. Intake Valve Lift Calculator.
From www.researchgate.net
Overview of the fixed exhaust valve lift and variable intake valve lift Intake Valve Lift Calculator On most engines, valve lift will be greater than the lobe lift. When contemplating engine combinations and camshafts in particular, it is often useful to calculate the valve curtain area for a given valve lift and compare it to proposed changes by percentage. Next, determine the rocker ratio. The valve curtain area is the area of the flow window that. Intake Valve Lift Calculator.
From www.researchgate.net
Overview of the fixed exhaust valve lift and variable intake valve lift Intake Valve Lift Calculator Lift changes with rocker arm ratio variations. Next, determine the rocker ratio. In the upper area, calculate individual valve events and lobe centerlines by entering intake and exhaust duration, lobe separation and advance. 9 rows this calculator will help you rapidly determine the perfect camshaft for your application. On most engines, valve lift will be greater than the lobe lift.. Intake Valve Lift Calculator.
From www.researchgate.net
Effects of valve overlap on emission of Download Scientific Diagram Intake Valve Lift Calculator The valve curtain area is the area of the flow window that opens when the valve is lifted off its seat. On most engines, valve lift will be greater than the lobe lift. Lift can be measured using a dial indicator. In the upper area, calculate individual valve events and lobe centerlines by entering intake and exhaust duration, lobe separation. Intake Valve Lift Calculator.