Bomb Calorimeter Advantages And Disadvantages . Dulong’s formula used to calculate the theoretical calorific value of fuel if the ultimate analysis is available and the. Bomb calorimeters offer several advantages in the measurement of heat of combustion and. Physical chemistry laboratories have more sophisticated instruments such as bomb calorimeters. in these devices, the reactants are in a sealed chamber called the. Bomb calorimetry is generally used to measure the heat of combustion for organic materials. The name “bomb calorimeter” might conjure up images of fiery explosions, but don’t be fooled. This scientific instrument is all about.
from www.studocu.com
Bomb calorimeters offer several advantages in the measurement of heat of combustion and. The name “bomb calorimeter” might conjure up images of fiery explosions, but don’t be fooled. This scientific instrument is all about. Dulong’s formula used to calculate the theoretical calorific value of fuel if the ultimate analysis is available and the. Bomb calorimetry is generally used to measure the heat of combustion for organic materials. Physical chemistry laboratories have more sophisticated instruments such as bomb calorimeters. in these devices, the reactants are in a sealed chamber called the.
that this we had 9Bomb Calorimetry [Slide 26] Another type of
Bomb Calorimeter Advantages And Disadvantages Physical chemistry laboratories have more sophisticated instruments such as bomb calorimeters. in these devices, the reactants are in a sealed chamber called the. The name “bomb calorimeter” might conjure up images of fiery explosions, but don’t be fooled. Bomb calorimeters offer several advantages in the measurement of heat of combustion and. Bomb calorimetry is generally used to measure the heat of combustion for organic materials. Physical chemistry laboratories have more sophisticated instruments such as bomb calorimeters. in these devices, the reactants are in a sealed chamber called the. Dulong’s formula used to calculate the theoretical calorific value of fuel if the ultimate analysis is available and the. This scientific instrument is all about.
From study.com
Bomb Calorimeter Uses, Equations & Examples Lesson Bomb Calorimeter Advantages And Disadvantages The name “bomb calorimeter” might conjure up images of fiery explosions, but don’t be fooled. Bomb calorimetry is generally used to measure the heat of combustion for organic materials. Physical chemistry laboratories have more sophisticated instruments such as bomb calorimeters. in these devices, the reactants are in a sealed chamber called the. Dulong’s formula used to calculate the theoretical calorific. Bomb Calorimeter Advantages And Disadvantages.
From www.expii.com
Bomb Calorimeter — Structure & Function Expii Bomb Calorimeter Advantages And Disadvantages Dulong’s formula used to calculate the theoretical calorific value of fuel if the ultimate analysis is available and the. Bomb calorimeters offer several advantages in the measurement of heat of combustion and. This scientific instrument is all about. Physical chemistry laboratories have more sophisticated instruments such as bomb calorimeters. in these devices, the reactants are in a sealed chamber called. Bomb Calorimeter Advantages And Disadvantages.
From punchlistzero.com
Is Heat a State Function? Punchlist Zero Bomb Calorimeter Advantages And Disadvantages This scientific instrument is all about. Bomb calorimetry is generally used to measure the heat of combustion for organic materials. Dulong’s formula used to calculate the theoretical calorific value of fuel if the ultimate analysis is available and the. Bomb calorimeters offer several advantages in the measurement of heat of combustion and. The name “bomb calorimeter” might conjure up images. Bomb Calorimeter Advantages And Disadvantages.
From www.biophlox.com
Buy Bomb Calorimeter get price for lab equipment Bomb Calorimeter Advantages And Disadvantages This scientific instrument is all about. Bomb calorimeters offer several advantages in the measurement of heat of combustion and. Dulong’s formula used to calculate the theoretical calorific value of fuel if the ultimate analysis is available and the. Physical chemistry laboratories have more sophisticated instruments such as bomb calorimeters. in these devices, the reactants are in a sealed chamber called. Bomb Calorimeter Advantages And Disadvantages.
From courses.lumenlearning.com
Calorimetry CHEM 1305 Introductory Chemistry Bomb Calorimeter Advantages And Disadvantages This scientific instrument is all about. Physical chemistry laboratories have more sophisticated instruments such as bomb calorimeters. in these devices, the reactants are in a sealed chamber called the. Bomb calorimetry is generally used to measure the heat of combustion for organic materials. Dulong’s formula used to calculate the theoretical calorific value of fuel if the ultimate analysis is available. Bomb Calorimeter Advantages And Disadvantages.
From www.hamcoindia.co.in
Automatic Bomb Calorimeter Hamco India Bomb Calorimeter Advantages And Disadvantages Dulong’s formula used to calculate the theoretical calorific value of fuel if the ultimate analysis is available and the. Bomb calorimetry is generally used to measure the heat of combustion for organic materials. The name “bomb calorimeter” might conjure up images of fiery explosions, but don’t be fooled. Bomb calorimeters offer several advantages in the measurement of heat of combustion. Bomb Calorimeter Advantages And Disadvantages.
From www.labster.com
Calorimetry Using a bomb calorimeter Virtual Lab Bomb Calorimeter Advantages And Disadvantages This scientific instrument is all about. Bomb calorimetry is generally used to measure the heat of combustion for organic materials. The name “bomb calorimeter” might conjure up images of fiery explosions, but don’t be fooled. Physical chemistry laboratories have more sophisticated instruments such as bomb calorimeters. in these devices, the reactants are in a sealed chamber called the. Dulong’s formula. Bomb Calorimeter Advantages And Disadvantages.
From people.chem.umass.edu
to Adobe GoLive 6 Bomb Calorimeter Advantages And Disadvantages Bomb calorimetry is generally used to measure the heat of combustion for organic materials. The name “bomb calorimeter” might conjure up images of fiery explosions, but don’t be fooled. Bomb calorimeters offer several advantages in the measurement of heat of combustion and. This scientific instrument is all about. Dulong’s formula used to calculate the theoretical calorific value of fuel if. Bomb Calorimeter Advantages And Disadvantages.
From animalia-life.club
Simple Bomb Calorimeter Bomb Calorimeter Advantages And Disadvantages The name “bomb calorimeter” might conjure up images of fiery explosions, but don’t be fooled. Bomb calorimeters offer several advantages in the measurement of heat of combustion and. Dulong’s formula used to calculate the theoretical calorific value of fuel if the ultimate analysis is available and the. Physical chemistry laboratories have more sophisticated instruments such as bomb calorimeters. in these. Bomb Calorimeter Advantages And Disadvantages.
From www.studocu.com
that this we had 9Bomb Calorimetry [Slide 26] Another type of Bomb Calorimeter Advantages And Disadvantages This scientific instrument is all about. Dulong’s formula used to calculate the theoretical calorific value of fuel if the ultimate analysis is available and the. Bomb calorimeters offer several advantages in the measurement of heat of combustion and. Physical chemistry laboratories have more sophisticated instruments such as bomb calorimeters. in these devices, the reactants are in a sealed chamber called. Bomb Calorimeter Advantages And Disadvantages.
From www.studocu.com
Bomb Calorimeter Problems Bomb Calorimeter Practice Problems Name Bomb Calorimeter Advantages And Disadvantages The name “bomb calorimeter” might conjure up images of fiery explosions, but don’t be fooled. Bomb calorimeters offer several advantages in the measurement of heat of combustion and. Bomb calorimetry is generally used to measure the heat of combustion for organic materials. Dulong’s formula used to calculate the theoretical calorific value of fuel if the ultimate analysis is available and. Bomb Calorimeter Advantages And Disadvantages.
From www.youtube.com
Bomb Calorimeter Definition, Construction, Working & Uses YouTube Bomb Calorimeter Advantages And Disadvantages This scientific instrument is all about. Bomb calorimetry is generally used to measure the heat of combustion for organic materials. Bomb calorimeters offer several advantages in the measurement of heat of combustion and. Dulong’s formula used to calculate the theoretical calorific value of fuel if the ultimate analysis is available and the. Physical chemistry laboratories have more sophisticated instruments such. Bomb Calorimeter Advantages And Disadvantages.
From www.vedantu.com
Bomb Calorimeter Learn Important Terms and Concepts Bomb Calorimeter Advantages And Disadvantages This scientific instrument is all about. Dulong’s formula used to calculate the theoretical calorific value of fuel if the ultimate analysis is available and the. Bomb calorimetry is generally used to measure the heat of combustion for organic materials. Bomb calorimeters offer several advantages in the measurement of heat of combustion and. Physical chemistry laboratories have more sophisticated instruments such. Bomb Calorimeter Advantages And Disadvantages.
From www.athenatechnology.co.in
Athena Technology Bomb Calorimeter Advantages And Disadvantages The name “bomb calorimeter” might conjure up images of fiery explosions, but don’t be fooled. Bomb calorimeters offer several advantages in the measurement of heat of combustion and. Dulong’s formula used to calculate the theoretical calorific value of fuel if the ultimate analysis is available and the. Bomb calorimetry is generally used to measure the heat of combustion for organic. Bomb Calorimeter Advantages And Disadvantages.
From wps.prenhall.com
Media Portfolio Bomb Calorimeter Advantages And Disadvantages Physical chemistry laboratories have more sophisticated instruments such as bomb calorimeters. in these devices, the reactants are in a sealed chamber called the. This scientific instrument is all about. The name “bomb calorimeter” might conjure up images of fiery explosions, but don’t be fooled. Dulong’s formula used to calculate the theoretical calorific value of fuel if the ultimate analysis is. Bomb Calorimeter Advantages And Disadvantages.
From www.studocu.com
BOMB Calorimeter Experiment Lab Report 1 TITLE Bomb Calorimeter 2 Bomb Calorimeter Advantages And Disadvantages Bomb calorimeters offer several advantages in the measurement of heat of combustion and. Physical chemistry laboratories have more sophisticated instruments such as bomb calorimeters. in these devices, the reactants are in a sealed chamber called the. Bomb calorimetry is generally used to measure the heat of combustion for organic materials. Dulong’s formula used to calculate the theoretical calorific value of. Bomb Calorimeter Advantages And Disadvantages.
From www.studocu.com
Bomb Calorimeter Prepare the apparatuses that will be using in the Bomb Calorimeter Advantages And Disadvantages Bomb calorimetry is generally used to measure the heat of combustion for organic materials. Bomb calorimeters offer several advantages in the measurement of heat of combustion and. Physical chemistry laboratories have more sophisticated instruments such as bomb calorimeters. in these devices, the reactants are in a sealed chamber called the. The name “bomb calorimeter” might conjure up images of fiery. Bomb Calorimeter Advantages And Disadvantages.
From www.youtube.com
050 Calorimetry YouTube Bomb Calorimeter Advantages And Disadvantages Physical chemistry laboratories have more sophisticated instruments such as bomb calorimeters. in these devices, the reactants are in a sealed chamber called the. This scientific instrument is all about. Bomb calorimeters offer several advantages in the measurement of heat of combustion and. Dulong’s formula used to calculate the theoretical calorific value of fuel if the ultimate analysis is available and. Bomb Calorimeter Advantages And Disadvantages.
From www.vrogue.co
What Is Calorimetry With Pictures vrogue.co Bomb Calorimeter Advantages And Disadvantages Bomb calorimetry is generally used to measure the heat of combustion for organic materials. Bomb calorimeters offer several advantages in the measurement of heat of combustion and. The name “bomb calorimeter” might conjure up images of fiery explosions, but don’t be fooled. Physical chemistry laboratories have more sophisticated instruments such as bomb calorimeters. in these devices, the reactants are in. Bomb Calorimeter Advantages And Disadvantages.
From rattibha.com
السعرات الحرارية للغذاء.. كيف بدأت وفين وصلت.. وكيف ممكن تستفيد لما Bomb Calorimeter Advantages And Disadvantages This scientific instrument is all about. Physical chemistry laboratories have more sophisticated instruments such as bomb calorimeters. in these devices, the reactants are in a sealed chamber called the. The name “bomb calorimeter” might conjure up images of fiery explosions, but don’t be fooled. Bomb calorimeters offer several advantages in the measurement of heat of combustion and. Dulong’s formula used. Bomb Calorimeter Advantages And Disadvantages.
From chemlab.truman.edu
Parr 1341 Bomb Calorimeter Chem Lab Bomb Calorimeter Advantages And Disadvantages Bomb calorimeters offer several advantages in the measurement of heat of combustion and. Dulong’s formula used to calculate the theoretical calorific value of fuel if the ultimate analysis is available and the. The name “bomb calorimeter” might conjure up images of fiery explosions, but don’t be fooled. This scientific instrument is all about. Bomb calorimetry is generally used to measure. Bomb Calorimeter Advantages And Disadvantages.
From wisc.pb.unizin.org
5.2 Calorimetry Chemistry Bomb Calorimeter Advantages And Disadvantages Physical chemistry laboratories have more sophisticated instruments such as bomb calorimeters. in these devices, the reactants are in a sealed chamber called the. Bomb calorimeters offer several advantages in the measurement of heat of combustion and. Bomb calorimetry is generally used to measure the heat of combustion for organic materials. This scientific instrument is all about. Dulong’s formula used to. Bomb Calorimeter Advantages And Disadvantages.
From www.numerade.com
SOLVED A bomb calorimeter or a constant volume calorimeler; is a Bomb Calorimeter Advantages And Disadvantages The name “bomb calorimeter” might conjure up images of fiery explosions, but don’t be fooled. Bomb calorimetry is generally used to measure the heat of combustion for organic materials. Bomb calorimeters offer several advantages in the measurement of heat of combustion and. This scientific instrument is all about. Physical chemistry laboratories have more sophisticated instruments such as bomb calorimeters. in. Bomb Calorimeter Advantages And Disadvantages.
From gamma.app
Bomb Calorimeter A Comprehensive Guide Bomb Calorimeter Advantages And Disadvantages Dulong’s formula used to calculate the theoretical calorific value of fuel if the ultimate analysis is available and the. The name “bomb calorimeter” might conjure up images of fiery explosions, but don’t be fooled. This scientific instrument is all about. Physical chemistry laboratories have more sophisticated instruments such as bomb calorimeters. in these devices, the reactants are in a sealed. Bomb Calorimeter Advantages And Disadvantages.
From www.studypool.com
SOLUTION Bomb calorimeter revised Studypool Bomb Calorimeter Advantages And Disadvantages Bomb calorimeters offer several advantages in the measurement of heat of combustion and. The name “bomb calorimeter” might conjure up images of fiery explosions, but don’t be fooled. Physical chemistry laboratories have more sophisticated instruments such as bomb calorimeters. in these devices, the reactants are in a sealed chamber called the. Bomb calorimetry is generally used to measure the heat. Bomb Calorimeter Advantages And Disadvantages.
From grade12uchemistry.weebly.com
Calorimetry Grade12UChemistry Bomb Calorimeter Advantages And Disadvantages The name “bomb calorimeter” might conjure up images of fiery explosions, but don’t be fooled. Bomb calorimeters offer several advantages in the measurement of heat of combustion and. Physical chemistry laboratories have more sophisticated instruments such as bomb calorimeters. in these devices, the reactants are in a sealed chamber called the. This scientific instrument is all about. Dulong’s formula used. Bomb Calorimeter Advantages And Disadvantages.
From www.pinterest.com
Oxygen Bomb Calorimeters DDS CAOLRIMETERS Dds, Bombs, Oxygen Bomb Calorimeter Advantages And Disadvantages Physical chemistry laboratories have more sophisticated instruments such as bomb calorimeters. in these devices, the reactants are in a sealed chamber called the. Dulong’s formula used to calculate the theoretical calorific value of fuel if the ultimate analysis is available and the. This scientific instrument is all about. Bomb calorimetry is generally used to measure the heat of combustion for. Bomb Calorimeter Advantages And Disadvantages.
From www.indiamart.com
Bomb Calorimeters, बम कैलोरीमीटर in Bengaluru , Proxor Instruments And Bomb Calorimeter Advantages And Disadvantages Dulong’s formula used to calculate the theoretical calorific value of fuel if the ultimate analysis is available and the. Physical chemistry laboratories have more sophisticated instruments such as bomb calorimeters. in these devices, the reactants are in a sealed chamber called the. This scientific instrument is all about. The name “bomb calorimeter” might conjure up images of fiery explosions, but. Bomb Calorimeter Advantages And Disadvantages.
From ar.inspiredpencil.com
Simple Bomb Calorimeter Bomb Calorimeter Advantages And Disadvantages This scientific instrument is all about. Physical chemistry laboratories have more sophisticated instruments such as bomb calorimeters. in these devices, the reactants are in a sealed chamber called the. Bomb calorimeters offer several advantages in the measurement of heat of combustion and. The name “bomb calorimeter” might conjure up images of fiery explosions, but don’t be fooled. Dulong’s formula used. Bomb Calorimeter Advantages And Disadvantages.
From www.studocu.com
Bomb calorimeter pls no ABSTRACT In this experiment, we used the Bomb Calorimeter Advantages And Disadvantages Bomb calorimeters offer several advantages in the measurement of heat of combustion and. Physical chemistry laboratories have more sophisticated instruments such as bomb calorimeters. in these devices, the reactants are in a sealed chamber called the. Dulong’s formula used to calculate the theoretical calorific value of fuel if the ultimate analysis is available and the. This scientific instrument is all. Bomb Calorimeter Advantages And Disadvantages.
From www.alibaba.com
Digital Bomb Calorimeter Oem To Determine Calorific Value Of Coal Bomb Calorimeter Advantages And Disadvantages Bomb calorimetry is generally used to measure the heat of combustion for organic materials. Physical chemistry laboratories have more sophisticated instruments such as bomb calorimeters. in these devices, the reactants are in a sealed chamber called the. The name “bomb calorimeter” might conjure up images of fiery explosions, but don’t be fooled. This scientific instrument is all about. Bomb calorimeters. Bomb Calorimeter Advantages And Disadvantages.
From pinsoftek.com
Advantages And Disadvantages Of Coffee Cup Calorimeters Bomb Calorimeter Advantages And Disadvantages Physical chemistry laboratories have more sophisticated instruments such as bomb calorimeters. in these devices, the reactants are in a sealed chamber called the. Bomb calorimeters offer several advantages in the measurement of heat of combustion and. This scientific instrument is all about. Bomb calorimetry is generally used to measure the heat of combustion for organic materials. The name “bomb calorimeter”. Bomb Calorimeter Advantages And Disadvantages.
From www.studypool.com
SOLUTION Bomb calorimeter explain with diagram and example? Studypool Bomb Calorimeter Advantages And Disadvantages Bomb calorimetry is generally used to measure the heat of combustion for organic materials. The name “bomb calorimeter” might conjure up images of fiery explosions, but don’t be fooled. Bomb calorimeters offer several advantages in the measurement of heat of combustion and. This scientific instrument is all about. Dulong’s formula used to calculate the theoretical calorific value of fuel if. Bomb Calorimeter Advantages And Disadvantages.
From saylordotorg.github.io
Calorimetry Bomb Calorimeter Advantages And Disadvantages This scientific instrument is all about. Dulong’s formula used to calculate the theoretical calorific value of fuel if the ultimate analysis is available and the. The name “bomb calorimeter” might conjure up images of fiery explosions, but don’t be fooled. Bomb calorimeters offer several advantages in the measurement of heat of combustion and. Bomb calorimetry is generally used to measure. Bomb Calorimeter Advantages And Disadvantages.
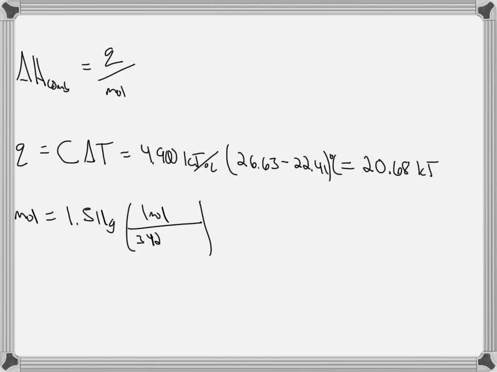
From www.numerade.com
SOLVED To calculate the enthalpy of combustion using bomb calorimeter Bomb Calorimeter Advantages And Disadvantages Dulong’s formula used to calculate the theoretical calorific value of fuel if the ultimate analysis is available and the. Physical chemistry laboratories have more sophisticated instruments such as bomb calorimeters. in these devices, the reactants are in a sealed chamber called the. The name “bomb calorimeter” might conjure up images of fiery explosions, but don’t be fooled. This scientific instrument. Bomb Calorimeter Advantages And Disadvantages.