Standard Enthalpy Of Formation Cr2O3 . 136 rows standard enthalpy change of formation (data table) these tables include heat of formation data gathered from a variety of sources, including. The enthalpy of formation of cr 2 o 3 at t = 298.15 k derived in this work, δ f h ∘ (298 k) = −1131.21 kj · mol −1, is less negative than the. Definition and explanation of the terms standard state and standard enthalpy of formation, with listing of values for standard enthalpy and gibbs free. Standand enthalpies of formation & standard entropies of common compounds substance state ∆h f s (kjmol) (jmol·k) ag s 0 42.6 ag+ aq 105.79. 193 rows in chemistry and thermodynamics, the standard enthalpy of formation or standard heat of formation of a compound is the change of.
from www.slideshare.net
Definition and explanation of the terms standard state and standard enthalpy of formation, with listing of values for standard enthalpy and gibbs free. The enthalpy of formation of cr 2 o 3 at t = 298.15 k derived in this work, δ f h ∘ (298 k) = −1131.21 kj · mol −1, is less negative than the. Standand enthalpies of formation & standard entropies of common compounds substance state ∆h f s (kjmol) (jmol·k) ag s 0 42.6 ag+ aq 105.79. 136 rows standard enthalpy change of formation (data table) these tables include heat of formation data gathered from a variety of sources, including. 193 rows in chemistry and thermodynamics, the standard enthalpy of formation or standard heat of formation of a compound is the change of.
Standard enthalpy of formation
Standard Enthalpy Of Formation Cr2O3 Definition and explanation of the terms standard state and standard enthalpy of formation, with listing of values for standard enthalpy and gibbs free. Standand enthalpies of formation & standard entropies of common compounds substance state ∆h f s (kjmol) (jmol·k) ag s 0 42.6 ag+ aq 105.79. 193 rows in chemistry and thermodynamics, the standard enthalpy of formation or standard heat of formation of a compound is the change of. The enthalpy of formation of cr 2 o 3 at t = 298.15 k derived in this work, δ f h ∘ (298 k) = −1131.21 kj · mol −1, is less negative than the. 136 rows standard enthalpy change of formation (data table) these tables include heat of formation data gathered from a variety of sources, including. Definition and explanation of the terms standard state and standard enthalpy of formation, with listing of values for standard enthalpy and gibbs free.
From brainly.com
Calculate reaction 7 and 8 for standard enthalpy change of formation Standard Enthalpy Of Formation Cr2O3 193 rows in chemistry and thermodynamics, the standard enthalpy of formation or standard heat of formation of a compound is the change of. 136 rows standard enthalpy change of formation (data table) these tables include heat of formation data gathered from a variety of sources, including. The enthalpy of formation of cr 2 o 3 at t = 298.15 k. Standard Enthalpy Of Formation Cr2O3.
From www.youtube.com
Enthalpies of Formation Chemsitry Tutorial YouTube Standard Enthalpy Of Formation Cr2O3 193 rows in chemistry and thermodynamics, the standard enthalpy of formation or standard heat of formation of a compound is the change of. Definition and explanation of the terms standard state and standard enthalpy of formation, with listing of values for standard enthalpy and gibbs free. Standand enthalpies of formation & standard entropies of common compounds substance state ∆h f. Standard Enthalpy Of Formation Cr2O3.
From www.bartleby.com
Answered Using the standard enthalpies of… bartleby Standard Enthalpy Of Formation Cr2O3 Definition and explanation of the terms standard state and standard enthalpy of formation, with listing of values for standard enthalpy and gibbs free. Standand enthalpies of formation & standard entropies of common compounds substance state ∆h f s (kjmol) (jmol·k) ag s 0 42.6 ag+ aq 105.79. 193 rows in chemistry and thermodynamics, the standard enthalpy of formation or standard. Standard Enthalpy Of Formation Cr2O3.
From mungfali.com
Enthalpies Of Formation Chart Standard Enthalpy Of Formation Cr2O3 193 rows in chemistry and thermodynamics, the standard enthalpy of formation or standard heat of formation of a compound is the change of. Definition and explanation of the terms standard state and standard enthalpy of formation, with listing of values for standard enthalpy and gibbs free. Standand enthalpies of formation & standard entropies of common compounds substance state ∆h f. Standard Enthalpy Of Formation Cr2O3.
From chartdata.web.app
Standard Enthalpy Of Formation Chart Standard Enthalpy Of Formation Cr2O3 136 rows standard enthalpy change of formation (data table) these tables include heat of formation data gathered from a variety of sources, including. 193 rows in chemistry and thermodynamics, the standard enthalpy of formation or standard heat of formation of a compound is the change of. Definition and explanation of the terms standard state and standard enthalpy of formation, with. Standard Enthalpy Of Formation Cr2O3.
From classnotes.org.in
Enthalpies Of Reaction Chemistry, Class 11, Thermodynamics Standard Enthalpy Of Formation Cr2O3 The enthalpy of formation of cr 2 o 3 at t = 298.15 k derived in this work, δ f h ∘ (298 k) = −1131.21 kj · mol −1, is less negative than the. 193 rows in chemistry and thermodynamics, the standard enthalpy of formation or standard heat of formation of a compound is the change of. Standand enthalpies. Standard Enthalpy Of Formation Cr2O3.
From hollyburton.z19.web.core.windows.net
Enthalpy Of Formation Chart Standard Enthalpy Of Formation Cr2O3 Definition and explanation of the terms standard state and standard enthalpy of formation, with listing of values for standard enthalpy and gibbs free. 193 rows in chemistry and thermodynamics, the standard enthalpy of formation or standard heat of formation of a compound is the change of. 136 rows standard enthalpy change of formation (data table) these tables include heat of. Standard Enthalpy Of Formation Cr2O3.
From pdfprof.com
enthalpies standard de formation et entropie standard Standard Enthalpy Of Formation Cr2O3 Standand enthalpies of formation & standard entropies of common compounds substance state ∆h f s (kjmol) (jmol·k) ag s 0 42.6 ag+ aq 105.79. 136 rows standard enthalpy change of formation (data table) these tables include heat of formation data gathered from a variety of sources, including. The enthalpy of formation of cr 2 o 3 at t = 298.15. Standard Enthalpy Of Formation Cr2O3.
From www.slideshare.net
Standard enthalpy of formation Standard Enthalpy Of Formation Cr2O3 Definition and explanation of the terms standard state and standard enthalpy of formation, with listing of values for standard enthalpy and gibbs free. Standand enthalpies of formation & standard entropies of common compounds substance state ∆h f s (kjmol) (jmol·k) ag s 0 42.6 ag+ aq 105.79. 193 rows in chemistry and thermodynamics, the standard enthalpy of formation or standard. Standard Enthalpy Of Formation Cr2O3.
From mungfali.com
Standard Enthalpy Of Formation Equation Standard Enthalpy Of Formation Cr2O3 136 rows standard enthalpy change of formation (data table) these tables include heat of formation data gathered from a variety of sources, including. Definition and explanation of the terms standard state and standard enthalpy of formation, with listing of values for standard enthalpy and gibbs free. Standand enthalpies of formation & standard entropies of common compounds substance state ∆h f. Standard Enthalpy Of Formation Cr2O3.
From www.researchgate.net
Enthalpies of formation for stable and radical species used in work Standard Enthalpy Of Formation Cr2O3 Definition and explanation of the terms standard state and standard enthalpy of formation, with listing of values for standard enthalpy and gibbs free. 193 rows in chemistry and thermodynamics, the standard enthalpy of formation or standard heat of formation of a compound is the change of. 136 rows standard enthalpy change of formation (data table) these tables include heat of. Standard Enthalpy Of Formation Cr2O3.
From www.numerade.com
SOLVED The standard enthalpy change for the following reaction is 2.28 Standard Enthalpy Of Formation Cr2O3 136 rows standard enthalpy change of formation (data table) these tables include heat of formation data gathered from a variety of sources, including. Definition and explanation of the terms standard state and standard enthalpy of formation, with listing of values for standard enthalpy and gibbs free. The enthalpy of formation of cr 2 o 3 at t = 298.15 k. Standard Enthalpy Of Formation Cr2O3.
From mungfali.com
Enthalpies Of Formation Table Standard Enthalpy Of Formation Cr2O3 193 rows in chemistry and thermodynamics, the standard enthalpy of formation or standard heat of formation of a compound is the change of. The enthalpy of formation of cr 2 o 3 at t = 298.15 k derived in this work, δ f h ∘ (298 k) = −1131.21 kj · mol −1, is less negative than the. Definition and. Standard Enthalpy Of Formation Cr2O3.
From www.youtube.com
CHEMISTRY 101 Standard Enthalpy of reaction from Standard Enthalpies Standard Enthalpy Of Formation Cr2O3 Standand enthalpies of formation & standard entropies of common compounds substance state ∆h f s (kjmol) (jmol·k) ag s 0 42.6 ag+ aq 105.79. Definition and explanation of the terms standard state and standard enthalpy of formation, with listing of values for standard enthalpy and gibbs free. The enthalpy of formation of cr 2 o 3 at t = 298.15. Standard Enthalpy Of Formation Cr2O3.
From www.youtube.com
Standard Enthalpy of Formation YouTube Standard Enthalpy Of Formation Cr2O3 The enthalpy of formation of cr 2 o 3 at t = 298.15 k derived in this work, δ f h ∘ (298 k) = −1131.21 kj · mol −1, is less negative than the. 193 rows in chemistry and thermodynamics, the standard enthalpy of formation or standard heat of formation of a compound is the change of. Standand enthalpies. Standard Enthalpy Of Formation Cr2O3.
From www.youtube.com
CHEMISTRY 101 Standard enthalpies of formation and reaction YouTube Standard Enthalpy Of Formation Cr2O3 193 rows in chemistry and thermodynamics, the standard enthalpy of formation or standard heat of formation of a compound is the change of. The enthalpy of formation of cr 2 o 3 at t = 298.15 k derived in this work, δ f h ∘ (298 k) = −1131.21 kj · mol −1, is less negative than the. 136 rows. Standard Enthalpy Of Formation Cr2O3.
From www.chemistryspace.com
Standard Enthalpy of Formation Standard Enthalpy Of Formation Cr2O3 Definition and explanation of the terms standard state and standard enthalpy of formation, with listing of values for standard enthalpy and gibbs free. 193 rows in chemistry and thermodynamics, the standard enthalpy of formation or standard heat of formation of a compound is the change of. 136 rows standard enthalpy change of formation (data table) these tables include heat of. Standard Enthalpy Of Formation Cr2O3.
From www.slideserve.com
PPT Standard Enthalpies of Formation PowerPoint Presentation, free Standard Enthalpy Of Formation Cr2O3 Standand enthalpies of formation & standard entropies of common compounds substance state ∆h f s (kjmol) (jmol·k) ag s 0 42.6 ag+ aq 105.79. 193 rows in chemistry and thermodynamics, the standard enthalpy of formation or standard heat of formation of a compound is the change of. 136 rows standard enthalpy change of formation (data table) these tables include heat. Standard Enthalpy Of Formation Cr2O3.
From general.chemistrysteps.com
Standard Enthalpies of Formation Chemistry Steps Standard Enthalpy Of Formation Cr2O3 Definition and explanation of the terms standard state and standard enthalpy of formation, with listing of values for standard enthalpy and gibbs free. 136 rows standard enthalpy change of formation (data table) these tables include heat of formation data gathered from a variety of sources, including. Standand enthalpies of formation & standard entropies of common compounds substance state ∆h f. Standard Enthalpy Of Formation Cr2O3.
From www.numerade.com
SOLVED Define each word in the term standard molar enthalpy of Standard Enthalpy Of Formation Cr2O3 Standand enthalpies of formation & standard entropies of common compounds substance state ∆h f s (kjmol) (jmol·k) ag s 0 42.6 ag+ aq 105.79. Definition and explanation of the terms standard state and standard enthalpy of formation, with listing of values for standard enthalpy and gibbs free. 136 rows standard enthalpy change of formation (data table) these tables include heat. Standard Enthalpy Of Formation Cr2O3.
From studylib.net
I. Standard Enthalpies of Formation Standard Enthalpy Of Formation Cr2O3 193 rows in chemistry and thermodynamics, the standard enthalpy of formation or standard heat of formation of a compound is the change of. 136 rows standard enthalpy change of formation (data table) these tables include heat of formation data gathered from a variety of sources, including. Standand enthalpies of formation & standard entropies of common compounds substance state ∆h f. Standard Enthalpy Of Formation Cr2O3.
From lessonluft.z19.web.core.windows.net
Heat Of Formation Chart Standard Enthalpy Of Formation Cr2O3 The enthalpy of formation of cr 2 o 3 at t = 298.15 k derived in this work, δ f h ∘ (298 k) = −1131.21 kj · mol −1, is less negative than the. 136 rows standard enthalpy change of formation (data table) these tables include heat of formation data gathered from a variety of sources, including. 193 rows. Standard Enthalpy Of Formation Cr2O3.
From www.chem.fsu.edu
CHM1045 Enthalpy Lecture Standard Enthalpy Of Formation Cr2O3 Definition and explanation of the terms standard state and standard enthalpy of formation, with listing of values for standard enthalpy and gibbs free. 136 rows standard enthalpy change of formation (data table) these tables include heat of formation data gathered from a variety of sources, including. Standand enthalpies of formation & standard entropies of common compounds substance state ∆h f. Standard Enthalpy Of Formation Cr2O3.
From kaden-chapter.blogspot.com
Standard Enthalpy Of Formation Table Pdf 30+ Pages Summary [1.8mb Standard Enthalpy Of Formation Cr2O3 Definition and explanation of the terms standard state and standard enthalpy of formation, with listing of values for standard enthalpy and gibbs free. Standand enthalpies of formation & standard entropies of common compounds substance state ∆h f s (kjmol) (jmol·k) ag s 0 42.6 ag+ aq 105.79. 193 rows in chemistry and thermodynamics, the standard enthalpy of formation or standard. Standard Enthalpy Of Formation Cr2O3.
From www.numerade.com
SOLVED Calculate the standard enthalpy change (in kJ/mol) for the Standard Enthalpy Of Formation Cr2O3 Definition and explanation of the terms standard state and standard enthalpy of formation, with listing of values for standard enthalpy and gibbs free. 136 rows standard enthalpy change of formation (data table) these tables include heat of formation data gathered from a variety of sources, including. The enthalpy of formation of cr 2 o 3 at t = 298.15 k. Standard Enthalpy Of Formation Cr2O3.
From studylib.net
Standard Enthalpy of Formation Standard Enthalpy Of Formation Cr2O3 193 rows in chemistry and thermodynamics, the standard enthalpy of formation or standard heat of formation of a compound is the change of. The enthalpy of formation of cr 2 o 3 at t = 298.15 k derived in this work, δ f h ∘ (298 k) = −1131.21 kj · mol −1, is less negative than the. Definition and. Standard Enthalpy Of Formation Cr2O3.
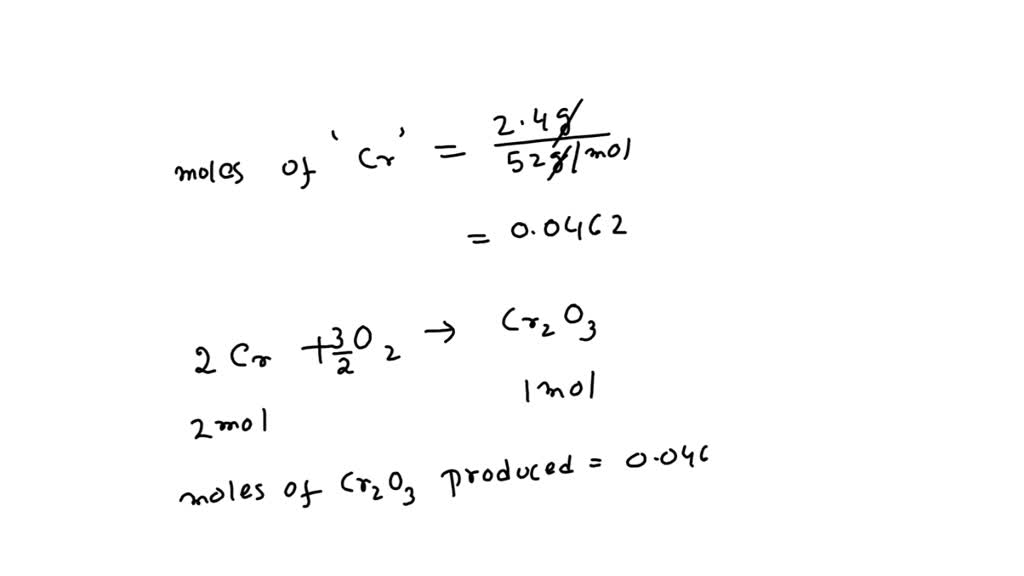
From www.numerade.com
SOLVED What is the standard enthalpy change? If 2.4 g of chromium is Standard Enthalpy Of Formation Cr2O3 The enthalpy of formation of cr 2 o 3 at t = 298.15 k derived in this work, δ f h ∘ (298 k) = −1131.21 kj · mol −1, is less negative than the. 136 rows standard enthalpy change of formation (data table) these tables include heat of formation data gathered from a variety of sources, including. Standand enthalpies. Standard Enthalpy Of Formation Cr2O3.
From www.numerade.com
SOLVED Using standard enthalpies of formation, calculate the standard Standard Enthalpy Of Formation Cr2O3 Standand enthalpies of formation & standard entropies of common compounds substance state ∆h f s (kjmol) (jmol·k) ag s 0 42.6 ag+ aq 105.79. The enthalpy of formation of cr 2 o 3 at t = 298.15 k derived in this work, δ f h ∘ (298 k) = −1131.21 kj · mol −1, is less negative than the. 136. Standard Enthalpy Of Formation Cr2O3.
From www.numerade.com
SOLVED Using Standard Enthalpy of Formation Enthalpy Test (all Standard Enthalpy Of Formation Cr2O3 Definition and explanation of the terms standard state and standard enthalpy of formation, with listing of values for standard enthalpy and gibbs free. The enthalpy of formation of cr 2 o 3 at t = 298.15 k derived in this work, δ f h ∘ (298 k) = −1131.21 kj · mol −1, is less negative than the. 136 rows. Standard Enthalpy Of Formation Cr2O3.
From mavink.com
Standard Enthalpy Chart Standard Enthalpy Of Formation Cr2O3 Definition and explanation of the terms standard state and standard enthalpy of formation, with listing of values for standard enthalpy and gibbs free. Standand enthalpies of formation & standard entropies of common compounds substance state ∆h f s (kjmol) (jmol·k) ag s 0 42.6 ag+ aq 105.79. The enthalpy of formation of cr 2 o 3 at t = 298.15. Standard Enthalpy Of Formation Cr2O3.
From www.researchgate.net
Standard enthalpy of formation and standard free energy of formation of Standard Enthalpy Of Formation Cr2O3 Definition and explanation of the terms standard state and standard enthalpy of formation, with listing of values for standard enthalpy and gibbs free. 193 rows in chemistry and thermodynamics, the standard enthalpy of formation or standard heat of formation of a compound is the change of. 136 rows standard enthalpy change of formation (data table) these tables include heat of. Standard Enthalpy Of Formation Cr2O3.
From www.studocu.com
Standard Enthalpy of Formation Table Standard Enthalpy of Formation Standard Enthalpy Of Formation Cr2O3 The enthalpy of formation of cr 2 o 3 at t = 298.15 k derived in this work, δ f h ∘ (298 k) = −1131.21 kj · mol −1, is less negative than the. 193 rows in chemistry and thermodynamics, the standard enthalpy of formation or standard heat of formation of a compound is the change of. Definition and. Standard Enthalpy Of Formation Cr2O3.
From narodnatribuna.info
Calculating Reaction Enthalpy From Enthalpies Of Formation Standard Enthalpy Of Formation Cr2O3 136 rows standard enthalpy change of formation (data table) these tables include heat of formation data gathered from a variety of sources, including. 193 rows in chemistry and thermodynamics, the standard enthalpy of formation or standard heat of formation of a compound is the change of. The enthalpy of formation of cr 2 o 3 at t = 298.15 k. Standard Enthalpy Of Formation Cr2O3.
From www.youtube.com
CHEM 101 Using Standard Enthalpies of Formation and Standard Enthalpy Standard Enthalpy Of Formation Cr2O3 The enthalpy of formation of cr 2 o 3 at t = 298.15 k derived in this work, δ f h ∘ (298 k) = −1131.21 kj · mol −1, is less negative than the. Standand enthalpies of formation & standard entropies of common compounds substance state ∆h f s (kjmol) (jmol·k) ag s 0 42.6 ag+ aq 105.79. Definition. Standard Enthalpy Of Formation Cr2O3.
From www.studypool.com
SOLUTION Standard enthalpy of formation Studypool Standard Enthalpy Of Formation Cr2O3 Definition and explanation of the terms standard state and standard enthalpy of formation, with listing of values for standard enthalpy and gibbs free. 193 rows in chemistry and thermodynamics, the standard enthalpy of formation or standard heat of formation of a compound is the change of. Standand enthalpies of formation & standard entropies of common compounds substance state ∆h f. Standard Enthalpy Of Formation Cr2O3.