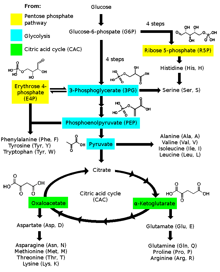
Amino Acids Derived From Pyruvate . Specifically, ala and gly's amino acids need to synthesize pyruvate, while aspartic acid and asn rely on oxaloacetic acid (oaa). The essential amino acids, those that are needed in the diet, require more steps to be synthesized. Here are some key features of amino acid catabolism that were discussed in the previous section. Of the set of 20 amino acids, eleven can be. These amino acids are shown in figure \(\pageindex{3}\). Pyruvate occupies a central metabolic node by virtue of its position at the crossroads of glycolysis and the tricarboxylic acid (tca) cycle. Glucogenic amino acids converted to 4c. Amino acids can be synthesized from glycolytic or krebs cycle intermediates. Nonpolar, polar, negatively charged, and positively charged. Based on the variable group, the classification of amino acids falls into four categories: Some are converted to pyruvate, the end.
from www.medschoolcoach.com
Amino acids can be synthesized from glycolytic or krebs cycle intermediates. These amino acids are shown in figure \(\pageindex{3}\). Pyruvate occupies a central metabolic node by virtue of its position at the crossroads of glycolysis and the tricarboxylic acid (tca) cycle. Glucogenic amino acids converted to 4c. Nonpolar, polar, negatively charged, and positively charged. Specifically, ala and gly's amino acids need to synthesize pyruvate, while aspartic acid and asn rely on oxaloacetic acid (oaa). The essential amino acids, those that are needed in the diet, require more steps to be synthesized. Of the set of 20 amino acids, eleven can be. Here are some key features of amino acid catabolism that were discussed in the previous section. Some are converted to pyruvate, the end.
Amino Acid Classification MCAT Biochemistry MedSchoolCoach
Amino Acids Derived From Pyruvate Here are some key features of amino acid catabolism that were discussed in the previous section. Nonpolar, polar, negatively charged, and positively charged. Amino acids can be synthesized from glycolytic or krebs cycle intermediates. The essential amino acids, those that are needed in the diet, require more steps to be synthesized. Here are some key features of amino acid catabolism that were discussed in the previous section. Pyruvate occupies a central metabolic node by virtue of its position at the crossroads of glycolysis and the tricarboxylic acid (tca) cycle. These amino acids are shown in figure \(\pageindex{3}\). Some are converted to pyruvate, the end. Based on the variable group, the classification of amino acids falls into four categories: Of the set of 20 amino acids, eleven can be. Specifically, ala and gly's amino acids need to synthesize pyruvate, while aspartic acid and asn rely on oxaloacetic acid (oaa). Glucogenic amino acids converted to 4c.
From bio.libretexts.org
5.6C Acetyl CoA and the Citric Acid Cycle Biology LibreTexts Amino Acids Derived From Pyruvate Here are some key features of amino acid catabolism that were discussed in the previous section. Amino acids can be synthesized from glycolytic or krebs cycle intermediates. Some are converted to pyruvate, the end. Pyruvate occupies a central metabolic node by virtue of its position at the crossroads of glycolysis and the tricarboxylic acid (tca) cycle. Based on the variable. Amino Acids Derived From Pyruvate.
From www.britannica.com
Metabolism Fatty Acids, Enzymes, Reactions Britannica Amino Acids Derived From Pyruvate Specifically, ala and gly's amino acids need to synthesize pyruvate, while aspartic acid and asn rely on oxaloacetic acid (oaa). These amino acids are shown in figure \(\pageindex{3}\). The essential amino acids, those that are needed in the diet, require more steps to be synthesized. Glucogenic amino acids converted to 4c. Here are some key features of amino acid catabolism. Amino Acids Derived From Pyruvate.
From basicmedicalkey.com
13 Carbohydrates Gluconeogenesis, the Synthesis of New Glucose Amino Acids Derived From Pyruvate Nonpolar, polar, negatively charged, and positively charged. Glucogenic amino acids converted to 4c. Pyruvate occupies a central metabolic node by virtue of its position at the crossroads of glycolysis and the tricarboxylic acid (tca) cycle. Based on the variable group, the classification of amino acids falls into four categories: Here are some key features of amino acid catabolism that were. Amino Acids Derived From Pyruvate.
From www.researchgate.net
Scheme of amino acid biosynthesis derived from glutamate. Metabolites Amino Acids Derived From Pyruvate Specifically, ala and gly's amino acids need to synthesize pyruvate, while aspartic acid and asn rely on oxaloacetic acid (oaa). Nonpolar, polar, negatively charged, and positively charged. These amino acids are shown in figure \(\pageindex{3}\). Of the set of 20 amino acids, eleven can be. Amino acids can be synthesized from glycolytic or krebs cycle intermediates. Pyruvate occupies a central. Amino Acids Derived From Pyruvate.
From www.researchgate.net
Expression of acetylCoA and pyruvateassociate enzymes.Fold changes Amino Acids Derived From Pyruvate The essential amino acids, those that are needed in the diet, require more steps to be synthesized. Here are some key features of amino acid catabolism that were discussed in the previous section. Amino acids can be synthesized from glycolytic or krebs cycle intermediates. Some are converted to pyruvate, the end. Pyruvate occupies a central metabolic node by virtue of. Amino Acids Derived From Pyruvate.
From ifunny.co
(Glycolysis) (Boxidation of fatty acids) Pyruvate Y dehydrogenase Amino Acids Derived From Pyruvate Amino acids can be synthesized from glycolytic or krebs cycle intermediates. Some are converted to pyruvate, the end. Based on the variable group, the classification of amino acids falls into four categories: These amino acids are shown in figure \(\pageindex{3}\). Of the set of 20 amino acids, eleven can be. The essential amino acids, those that are needed in the. Amino Acids Derived From Pyruvate.
From quizlet.com
Metabolism of Amino Acids to Pyruvate Diagram Quizlet Amino Acids Derived From Pyruvate Some are converted to pyruvate, the end. Based on the variable group, the classification of amino acids falls into four categories: These amino acids are shown in figure \(\pageindex{3}\). Nonpolar, polar, negatively charged, and positively charged. Pyruvate occupies a central metabolic node by virtue of its position at the crossroads of glycolysis and the tricarboxylic acid (tca) cycle. Here are. Amino Acids Derived From Pyruvate.
From www.marefa.org
تخليق الحمض الأميني المعرفة Amino Acids Derived From Pyruvate Some are converted to pyruvate, the end. The essential amino acids, those that are needed in the diet, require more steps to be synthesized. Pyruvate occupies a central metabolic node by virtue of its position at the crossroads of glycolysis and the tricarboxylic acid (tca) cycle. Nonpolar, polar, negatively charged, and positively charged. Amino acids can be synthesized from glycolytic. Amino Acids Derived From Pyruvate.
From www.researchgate.net
Pathways of glyoxylate metabolism. Routes that yield glycine through Amino Acids Derived From Pyruvate Of the set of 20 amino acids, eleven can be. Amino acids can be synthesized from glycolytic or krebs cycle intermediates. Based on the variable group, the classification of amino acids falls into four categories: The essential amino acids, those that are needed in the diet, require more steps to be synthesized. These amino acids are shown in figure \(\pageindex{3}\).. Amino Acids Derived From Pyruvate.
From bio.libretexts.org
22.2 Biosynthesis of Amino Acids Biology LibreTexts Amino Acids Derived From Pyruvate Specifically, ala and gly's amino acids need to synthesize pyruvate, while aspartic acid and asn rely on oxaloacetic acid (oaa). Of the set of 20 amino acids, eleven can be. Some are converted to pyruvate, the end. Pyruvate occupies a central metabolic node by virtue of its position at the crossroads of glycolysis and the tricarboxylic acid (tca) cycle. The. Amino Acids Derived From Pyruvate.
From www.alamy.com
Pyruvate structure hires stock photography and images Alamy Amino Acids Derived From Pyruvate Some are converted to pyruvate, the end. The essential amino acids, those that are needed in the diet, require more steps to be synthesized. Pyruvate occupies a central metabolic node by virtue of its position at the crossroads of glycolysis and the tricarboxylic acid (tca) cycle. Here are some key features of amino acid catabolism that were discussed in the. Amino Acids Derived From Pyruvate.
From www.drawittoknowit.com
Biochemistry Glossary Pyruvate Dehydrogenase Complex Draw It to Know It Amino Acids Derived From Pyruvate Pyruvate occupies a central metabolic node by virtue of its position at the crossroads of glycolysis and the tricarboxylic acid (tca) cycle. Some are converted to pyruvate, the end. Specifically, ala and gly's amino acids need to synthesize pyruvate, while aspartic acid and asn rely on oxaloacetic acid (oaa). The essential amino acids, those that are needed in the diet,. Amino Acids Derived From Pyruvate.
From nigerianscholars.com
Connections of Proteins to Glucose Metabolism Cellular Respiration Amino Acids Derived From Pyruvate The essential amino acids, those that are needed in the diet, require more steps to be synthesized. Nonpolar, polar, negatively charged, and positively charged. Specifically, ala and gly's amino acids need to synthesize pyruvate, while aspartic acid and asn rely on oxaloacetic acid (oaa). Here are some key features of amino acid catabolism that were discussed in the previous section.. Amino Acids Derived From Pyruvate.
From www.researchgate.net
(PDF) PyruvateDerived Amino Acids in Spinach Chloroplasts Synthesis Amino Acids Derived From Pyruvate Of the set of 20 amino acids, eleven can be. Some are converted to pyruvate, the end. Glucogenic amino acids converted to 4c. Amino acids can be synthesized from glycolytic or krebs cycle intermediates. The essential amino acids, those that are needed in the diet, require more steps to be synthesized. Here are some key features of amino acid catabolism. Amino Acids Derived From Pyruvate.
From jackwestin.com
Acetyl Coa Production Citric Acid Cycle MCAT Content Amino Acids Derived From Pyruvate These amino acids are shown in figure \(\pageindex{3}\). Of the set of 20 amino acids, eleven can be. Glucogenic amino acids converted to 4c. The essential amino acids, those that are needed in the diet, require more steps to be synthesized. Specifically, ala and gly's amino acids need to synthesize pyruvate, while aspartic acid and asn rely on oxaloacetic acid. Amino Acids Derived From Pyruvate.
From basicmedicalkey.com
Synthesis and Degradation of Amino Acids Basicmedical Key Amino Acids Derived From Pyruvate Specifically, ala and gly's amino acids need to synthesize pyruvate, while aspartic acid and asn rely on oxaloacetic acid (oaa). Pyruvate occupies a central metabolic node by virtue of its position at the crossroads of glycolysis and the tricarboxylic acid (tca) cycle. Nonpolar, polar, negatively charged, and positively charged. Of the set of 20 amino acids, eleven can be. The. Amino Acids Derived From Pyruvate.
From www.slideserve.com
PPT Amino Acid Metabolism 2 Amino acid biosynthesis, amino acids are Amino Acids Derived From Pyruvate Of the set of 20 amino acids, eleven can be. Glucogenic amino acids converted to 4c. The essential amino acids, those that are needed in the diet, require more steps to be synthesized. Here are some key features of amino acid catabolism that were discussed in the previous section. Based on the variable group, the classification of amino acids falls. Amino Acids Derived From Pyruvate.
From www.researchgate.net
Key metabolic pathways involved in lipid synthesis. Aphids derive their Amino Acids Derived From Pyruvate Some are converted to pyruvate, the end. Based on the variable group, the classification of amino acids falls into four categories: The essential amino acids, those that are needed in the diet, require more steps to be synthesized. Specifically, ala and gly's amino acids need to synthesize pyruvate, while aspartic acid and asn rely on oxaloacetic acid (oaa). Pyruvate occupies. Amino Acids Derived From Pyruvate.
From www.dreamstime.com
The Pyruvate Family of Amino Acids. Chemical Molecular Formulas of Amino Acids Derived From Pyruvate Nonpolar, polar, negatively charged, and positively charged. The essential amino acids, those that are needed in the diet, require more steps to be synthesized. Pyruvate occupies a central metabolic node by virtue of its position at the crossroads of glycolysis and the tricarboxylic acid (tca) cycle. Here are some key features of amino acid catabolism that were discussed in the. Amino Acids Derived From Pyruvate.
From www.researchgate.net
Interaction between glycolysis and amino acid metabolism. In contrast Amino Acids Derived From Pyruvate Pyruvate occupies a central metabolic node by virtue of its position at the crossroads of glycolysis and the tricarboxylic acid (tca) cycle. Glucogenic amino acids converted to 4c. Amino acids can be synthesized from glycolytic or krebs cycle intermediates. Some are converted to pyruvate, the end. Here are some key features of amino acid catabolism that were discussed in the. Amino Acids Derived From Pyruvate.
From onlinelibrary.wiley.com
Mycobacterium tuberculosis requires glyoxylate shunt and reverse Amino Acids Derived From Pyruvate The essential amino acids, those that are needed in the diet, require more steps to be synthesized. Pyruvate occupies a central metabolic node by virtue of its position at the crossroads of glycolysis and the tricarboxylic acid (tca) cycle. Specifically, ala and gly's amino acids need to synthesize pyruvate, while aspartic acid and asn rely on oxaloacetic acid (oaa). Based. Amino Acids Derived From Pyruvate.
From www.researchgate.net
Biosynthetic pathway of the aromatic amino acids tyrosine Amino Acids Derived From Pyruvate Specifically, ala and gly's amino acids need to synthesize pyruvate, while aspartic acid and asn rely on oxaloacetic acid (oaa). Amino acids can be synthesized from glycolytic or krebs cycle intermediates. Some are converted to pyruvate, the end. Here are some key features of amino acid catabolism that were discussed in the previous section. These amino acids are shown in. Amino Acids Derived From Pyruvate.
From www.jobilize.com
19.2 Oxidation of pyruvate and the krebs cycle By OpenStax Jobilize Amino Acids Derived From Pyruvate Pyruvate occupies a central metabolic node by virtue of its position at the crossroads of glycolysis and the tricarboxylic acid (tca) cycle. These amino acids are shown in figure \(\pageindex{3}\). Nonpolar, polar, negatively charged, and positively charged. Here are some key features of amino acid catabolism that were discussed in the previous section. Based on the variable group, the classification. Amino Acids Derived From Pyruvate.
From www.slideserve.com
PPT Chapter 16 Endocrine System Lecture 14 PowerPoint Presentation Amino Acids Derived From Pyruvate Based on the variable group, the classification of amino acids falls into four categories: The essential amino acids, those that are needed in the diet, require more steps to be synthesized. Of the set of 20 amino acids, eleven can be. Nonpolar, polar, negatively charged, and positively charged. Some are converted to pyruvate, the end. Here are some key features. Amino Acids Derived From Pyruvate.
From education.med.nyu.edu
AMINO ACID METABOLISM INTRODUCTION Amino Acids Derived From Pyruvate The essential amino acids, those that are needed in the diet, require more steps to be synthesized. Specifically, ala and gly's amino acids need to synthesize pyruvate, while aspartic acid and asn rely on oxaloacetic acid (oaa). Pyruvate occupies a central metabolic node by virtue of its position at the crossroads of glycolysis and the tricarboxylic acid (tca) cycle. Nonpolar,. Amino Acids Derived From Pyruvate.
From www.slideserve.com
PPT Overview of Nitrogen Metabolism and Biosynthesis of Amino Acids Amino Acids Derived From Pyruvate These amino acids are shown in figure \(\pageindex{3}\). Pyruvate occupies a central metabolic node by virtue of its position at the crossroads of glycolysis and the tricarboxylic acid (tca) cycle. Here are some key features of amino acid catabolism that were discussed in the previous section. Specifically, ala and gly's amino acids need to synthesize pyruvate, while aspartic acid and. Amino Acids Derived From Pyruvate.
From philschatz.com
Lipid Metabolism · Anatomy and Physiology Amino Acids Derived From Pyruvate Here are some key features of amino acid catabolism that were discussed in the previous section. Amino acids can be synthesized from glycolytic or krebs cycle intermediates. Based on the variable group, the classification of amino acids falls into four categories: Glucogenic amino acids converted to 4c. Some are converted to pyruvate, the end. These amino acids are shown in. Amino Acids Derived From Pyruvate.
From www.researchgate.net
A model of protein synthesis and 2 H metabolic labeling. A, amino acids Amino Acids Derived From Pyruvate Based on the variable group, the classification of amino acids falls into four categories: Of the set of 20 amino acids, eleven can be. Specifically, ala and gly's amino acids need to synthesize pyruvate, while aspartic acid and asn rely on oxaloacetic acid (oaa). These amino acids are shown in figure \(\pageindex{3}\). Amino acids can be synthesized from glycolytic or. Amino Acids Derived From Pyruvate.
From www.medschoolcoach.com
Amino Acid Classification MCAT Biochemistry MedSchoolCoach Amino Acids Derived From Pyruvate The essential amino acids, those that are needed in the diet, require more steps to be synthesized. Of the set of 20 amino acids, eleven can be. Some are converted to pyruvate, the end. Based on the variable group, the classification of amino acids falls into four categories: Amino acids can be synthesized from glycolytic or krebs cycle intermediates. Pyruvate. Amino Acids Derived From Pyruvate.
From www.slideserve.com
PPT Fig 17.8 Biosynthesis of amino acids PowerPoint Presentation Amino Acids Derived From Pyruvate Here are some key features of amino acid catabolism that were discussed in the previous section. Amino acids can be synthesized from glycolytic or krebs cycle intermediates. Pyruvate occupies a central metabolic node by virtue of its position at the crossroads of glycolysis and the tricarboxylic acid (tca) cycle. Glucogenic amino acids converted to 4c. Some are converted to pyruvate,. Amino Acids Derived From Pyruvate.
From www.mdpi.com
Molecules Free FullText Metabolic Engineering of to Amino Acids Derived From Pyruvate These amino acids are shown in figure \(\pageindex{3}\). Pyruvate occupies a central metabolic node by virtue of its position at the crossroads of glycolysis and the tricarboxylic acid (tca) cycle. Nonpolar, polar, negatively charged, and positively charged. Some are converted to pyruvate, the end. Here are some key features of amino acid catabolism that were discussed in the previous section.. Amino Acids Derived From Pyruvate.
From www.researchgate.net
Summary of amino acid biosyntheses of the pyruvate family with Amino Acids Derived From Pyruvate Nonpolar, polar, negatively charged, and positively charged. Of the set of 20 amino acids, eleven can be. Glucogenic amino acids converted to 4c. Some are converted to pyruvate, the end. Specifically, ala and gly's amino acids need to synthesize pyruvate, while aspartic acid and asn rely on oxaloacetic acid (oaa). Based on the variable group, the classification of amino acids. Amino Acids Derived From Pyruvate.
From cshperspectives.cshlp.org
Amino Acid Metabolism Amino Acids Derived From Pyruvate Nonpolar, polar, negatively charged, and positively charged. Specifically, ala and gly's amino acids need to synthesize pyruvate, while aspartic acid and asn rely on oxaloacetic acid (oaa). These amino acids are shown in figure \(\pageindex{3}\). Here are some key features of amino acid catabolism that were discussed in the previous section. Glucogenic amino acids converted to 4c. Based on the. Amino Acids Derived From Pyruvate.
From bio.libretexts.org
18.5 Pathways of Amino Acid Degradation Biology LibreTexts Amino Acids Derived From Pyruvate Glucogenic amino acids converted to 4c. Of the set of 20 amino acids, eleven can be. Some are converted to pyruvate, the end. Nonpolar, polar, negatively charged, and positively charged. These amino acids are shown in figure \(\pageindex{3}\). Here are some key features of amino acid catabolism that were discussed in the previous section. Specifically, ala and gly's amino acids. Amino Acids Derived From Pyruvate.
From www.slideserve.com
PPT Metabolism of Amino Acid (Carbon Skeletons) Part 2 PowerPoint Amino Acids Derived From Pyruvate Based on the variable group, the classification of amino acids falls into four categories: Of the set of 20 amino acids, eleven can be. Specifically, ala and gly's amino acids need to synthesize pyruvate, while aspartic acid and asn rely on oxaloacetic acid (oaa). Here are some key features of amino acid catabolism that were discussed in the previous section.. Amino Acids Derived From Pyruvate.