Matrix Class 12 Viva Questions . our comprehensive matrices class 12 notes are meticulously designed to simplify this complex topic, making it accessible and engaging for students. learn chapter 3 matrices of class 12 free with solutions of all ncert questions including examples and exercises. matrices important questions include its order, zero and identity matrix, operations of a matrix, transpose of a. 4 marks questions. get access to class 12 maths important questions chapter 3 matrices, matrices class 12 important questions. in class 12 maths, chapter 3 contains concepts such as matrices and its order, equality, transpose of a matrix, zero and identity. Important questions for class 12 maths maths ncert solutions home page.
from www.youtube.com
learn chapter 3 matrices of class 12 free with solutions of all ncert questions including examples and exercises. matrices important questions include its order, zero and identity matrix, operations of a matrix, transpose of a. 4 marks questions. Important questions for class 12 maths maths ncert solutions home page. get access to class 12 maths important questions chapter 3 matrices, matrices class 12 important questions. in class 12 maths, chapter 3 contains concepts such as matrices and its order, equality, transpose of a matrix, zero and identity. our comprehensive matrices class 12 notes are meticulously designed to simplify this complex topic, making it accessible and engaging for students.
Class 12th MATRIX (आव्यूह) revision for exam YouTube
Matrix Class 12 Viva Questions get access to class 12 maths important questions chapter 3 matrices, matrices class 12 important questions. our comprehensive matrices class 12 notes are meticulously designed to simplify this complex topic, making it accessible and engaging for students. matrices important questions include its order, zero and identity matrix, operations of a matrix, transpose of a. Important questions for class 12 maths maths ncert solutions home page. get access to class 12 maths important questions chapter 3 matrices, matrices class 12 important questions. learn chapter 3 matrices of class 12 free with solutions of all ncert questions including examples and exercises. 4 marks questions. in class 12 maths, chapter 3 contains concepts such as matrices and its order, equality, transpose of a matrix, zero and identity.
From byjus.com
Important Questions for Class 12 Maths Chapter 3 Matrices Matrix Class 12 Viva Questions 4 marks questions. our comprehensive matrices class 12 notes are meticulously designed to simplify this complex topic, making it accessible and engaging for students. in class 12 maths, chapter 3 contains concepts such as matrices and its order, equality, transpose of a matrix, zero and identity. Important questions for class 12 maths maths ncert solutions home page.. Matrix Class 12 Viva Questions.
From www.youtube.com
Matrices class 12 th math/Revision and important questions jac board Matrix Class 12 Viva Questions in class 12 maths, chapter 3 contains concepts such as matrices and its order, equality, transpose of a matrix, zero and identity. matrices important questions include its order, zero and identity matrix, operations of a matrix, transpose of a. Important questions for class 12 maths maths ncert solutions home page. 4 marks questions. our comprehensive matrices. Matrix Class 12 Viva Questions.
From byjus.com
Important Questions for Class 12 Maths Chapter 3 Matrices Matrix Class 12 Viva Questions 4 marks questions. Important questions for class 12 maths maths ncert solutions home page. our comprehensive matrices class 12 notes are meticulously designed to simplify this complex topic, making it accessible and engaging for students. in class 12 maths, chapter 3 contains concepts such as matrices and its order, equality, transpose of a matrix, zero and identity.. Matrix Class 12 Viva Questions.
From www.tiwariacademy.com
Important and Viva Questions for Class 12 Accountancy for 202425. Matrix Class 12 Viva Questions Important questions for class 12 maths maths ncert solutions home page. matrices important questions include its order, zero and identity matrix, operations of a matrix, transpose of a. get access to class 12 maths important questions chapter 3 matrices, matrices class 12 important questions. in class 12 maths, chapter 3 contains concepts such as matrices and its. Matrix Class 12 Viva Questions.
From www.youtube.com
Maths Practical 2024 Most Repeated VIVA Questions Score 20/20 Matrix Class 12 Viva Questions in class 12 maths, chapter 3 contains concepts such as matrices and its order, equality, transpose of a matrix, zero and identity. our comprehensive matrices class 12 notes are meticulously designed to simplify this complex topic, making it accessible and engaging for students. get access to class 12 maths important questions chapter 3 matrices, matrices class 12. Matrix Class 12 Viva Questions.
From www.youtube.com
Matrices Class 12 , Important Questions for Up Board Exams 2022, Class Matrix Class 12 Viva Questions get access to class 12 maths important questions chapter 3 matrices, matrices class 12 important questions. Important questions for class 12 maths maths ncert solutions home page. matrices important questions include its order, zero and identity matrix, operations of a matrix, transpose of a. our comprehensive matrices class 12 notes are meticulously designed to simplify this complex. Matrix Class 12 Viva Questions.
From www.vedantu.com
Download NCERT Solutions for Class 12 Maths Matrices Matrix Class 12 Viva Questions in class 12 maths, chapter 3 contains concepts such as matrices and its order, equality, transpose of a matrix, zero and identity. Important questions for class 12 maths maths ncert solutions home page. our comprehensive matrices class 12 notes are meticulously designed to simplify this complex topic, making it accessible and engaging for students. 4 marks questions.. Matrix Class 12 Viva Questions.
From www.tiwariacademy.com
Important Viva Questions Class 12 Business Studies CBSE 202425. Matrix Class 12 Viva Questions learn chapter 3 matrices of class 12 free with solutions of all ncert questions including examples and exercises. matrices important questions include its order, zero and identity matrix, operations of a matrix, transpose of a. 4 marks questions. in class 12 maths, chapter 3 contains concepts such as matrices and its order, equality, transpose of a. Matrix Class 12 Viva Questions.
From www.scribd.com
Class 12 (Viva Questions) PDF Matrix Class 12 Viva Questions Important questions for class 12 maths maths ncert solutions home page. our comprehensive matrices class 12 notes are meticulously designed to simplify this complex topic, making it accessible and engaging for students. learn chapter 3 matrices of class 12 free with solutions of all ncert questions including examples and exercises. get access to class 12 maths important. Matrix Class 12 Viva Questions.
From www.youtube.com
Questions on algebra of matrices class 12 YouTube Matrix Class 12 Viva Questions learn chapter 3 matrices of class 12 free with solutions of all ncert questions including examples and exercises. 4 marks questions. get access to class 12 maths important questions chapter 3 matrices, matrices class 12 important questions. matrices important questions include its order, zero and identity matrix, operations of a matrix, transpose of a. Important questions. Matrix Class 12 Viva Questions.
From www.studocu.com
Physics Practical Class 12 Viva Questions with Answers Answer. The Matrix Class 12 Viva Questions learn chapter 3 matrices of class 12 free with solutions of all ncert questions including examples and exercises. 4 marks questions. matrices important questions include its order, zero and identity matrix, operations of a matrix, transpose of a. Important questions for class 12 maths maths ncert solutions home page. in class 12 maths, chapter 3 contains. Matrix Class 12 Viva Questions.
From www.youtube.com
previous year questions matrices class 12 Class 12 maths AHSEC Matrix Class 12 Viva Questions 4 marks questions. in class 12 maths, chapter 3 contains concepts such as matrices and its order, equality, transpose of a matrix, zero and identity. matrices important questions include its order, zero and identity matrix, operations of a matrix, transpose of a. get access to class 12 maths important questions chapter 3 matrices, matrices class 12. Matrix Class 12 Viva Questions.
From www.studypool.com
SOLUTION Physics practical class 12 viva questions with answers Matrix Class 12 Viva Questions our comprehensive matrices class 12 notes are meticulously designed to simplify this complex topic, making it accessible and engaging for students. matrices important questions include its order, zero and identity matrix, operations of a matrix, transpose of a. in class 12 maths, chapter 3 contains concepts such as matrices and its order, equality, transpose of a matrix,. Matrix Class 12 Viva Questions.
From www.scribd.com
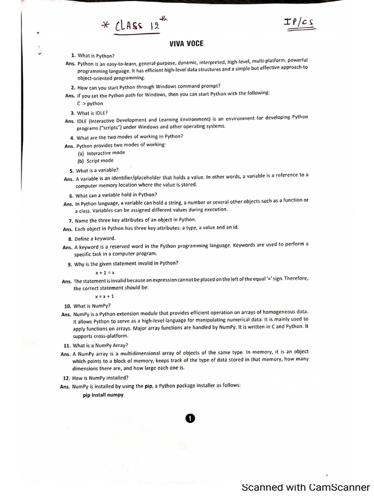
Class12 Viva Questions PDF Python (Programming Language Matrix Class 12 Viva Questions our comprehensive matrices class 12 notes are meticulously designed to simplify this complex topic, making it accessible and engaging for students. Important questions for class 12 maths maths ncert solutions home page. in class 12 maths, chapter 3 contains concepts such as matrices and its order, equality, transpose of a matrix, zero and identity. 4 marks questions.. Matrix Class 12 Viva Questions.
From www.tiwariacademy.com
Important Viva Questions Class 12 Business Studies CBSE 202425. Matrix Class 12 Viva Questions matrices important questions include its order, zero and identity matrix, operations of a matrix, transpose of a. Important questions for class 12 maths maths ncert solutions home page. in class 12 maths, chapter 3 contains concepts such as matrices and its order, equality, transpose of a matrix, zero and identity. 4 marks questions. our comprehensive matrices. Matrix Class 12 Viva Questions.
From www.tiwariacademy.com
Important Viva Questions Class 12 Business Studies CBSE 202425. Matrix Class 12 Viva Questions matrices important questions include its order, zero and identity matrix, operations of a matrix, transpose of a. our comprehensive matrices class 12 notes are meticulously designed to simplify this complex topic, making it accessible and engaging for students. get access to class 12 maths important questions chapter 3 matrices, matrices class 12 important questions. Important questions for. Matrix Class 12 Viva Questions.
From www.youtube.com
12th Biology Viva Questions Bio practical class 12 viva question Matrix Class 12 Viva Questions in class 12 maths, chapter 3 contains concepts such as matrices and its order, equality, transpose of a matrix, zero and identity. get access to class 12 maths important questions chapter 3 matrices, matrices class 12 important questions. matrices important questions include its order, zero and identity matrix, operations of a matrix, transpose of a. our. Matrix Class 12 Viva Questions.
From www.youtube.com
class 12 physics viva questions physics class 12 class 12 physics Matrix Class 12 Viva Questions Important questions for class 12 maths maths ncert solutions home page. our comprehensive matrices class 12 notes are meticulously designed to simplify this complex topic, making it accessible and engaging for students. matrices important questions include its order, zero and identity matrix, operations of a matrix, transpose of a. 4 marks questions. get access to class. Matrix Class 12 Viva Questions.
From www.studiestoday.com
CBSE Class 12 Mathematics Matrices and Determinants MCQs, Multiple Matrix Class 12 Viva Questions matrices important questions include its order, zero and identity matrix, operations of a matrix, transpose of a. in class 12 maths, chapter 3 contains concepts such as matrices and its order, equality, transpose of a matrix, zero and identity. 4 marks questions. our comprehensive matrices class 12 notes are meticulously designed to simplify this complex topic,. Matrix Class 12 Viva Questions.
From www.youtube.com
How to Crack Business Studies Viva Most Important Questions of Class Matrix Class 12 Viva Questions get access to class 12 maths important questions chapter 3 matrices, matrices class 12 important questions. in class 12 maths, chapter 3 contains concepts such as matrices and its order, equality, transpose of a matrix, zero and identity. Important questions for class 12 maths maths ncert solutions home page. matrices important questions include its order, zero and. Matrix Class 12 Viva Questions.
From www.studiestoday.com
CBSE Class 12 Mathematics Matrices and Determinants Worksheet Matrix Class 12 Viva Questions learn chapter 3 matrices of class 12 free with solutions of all ncert questions including examples and exercises. Important questions for class 12 maths maths ncert solutions home page. get access to class 12 maths important questions chapter 3 matrices, matrices class 12 important questions. our comprehensive matrices class 12 notes are meticulously designed to simplify this. Matrix Class 12 Viva Questions.
From www.youtube.com
Class 12 Types of Matrices YouTube Matrix Class 12 Viva Questions our comprehensive matrices class 12 notes are meticulously designed to simplify this complex topic, making it accessible and engaging for students. get access to class 12 maths important questions chapter 3 matrices, matrices class 12 important questions. 4 marks questions. Important questions for class 12 maths maths ncert solutions home page. learn chapter 3 matrices of. Matrix Class 12 Viva Questions.
From www.jagranjosh.com
CBSE Matrices Class 12 Mind Map for Chapter 3 of Maths, Download PDF Matrix Class 12 Viva Questions learn chapter 3 matrices of class 12 free with solutions of all ncert questions including examples and exercises. matrices important questions include its order, zero and identity matrix, operations of a matrix, transpose of a. our comprehensive matrices class 12 notes are meticulously designed to simplify this complex topic, making it accessible and engaging for students. . Matrix Class 12 Viva Questions.
From www.youtube.com
Class 12th MATRIX (आव्यूह) revision for exam YouTube Matrix Class 12 Viva Questions matrices important questions include its order, zero and identity matrix, operations of a matrix, transpose of a. in class 12 maths, chapter 3 contains concepts such as matrices and its order, equality, transpose of a matrix, zero and identity. get access to class 12 maths important questions chapter 3 matrices, matrices class 12 important questions. learn. Matrix Class 12 Viva Questions.
From www.studiestoday.com
CBSE Class 12 Mathematics Matrices Worksheet Matrix Class 12 Viva Questions 4 marks questions. learn chapter 3 matrices of class 12 free with solutions of all ncert questions including examples and exercises. our comprehensive matrices class 12 notes are meticulously designed to simplify this complex topic, making it accessible and engaging for students. Important questions for class 12 maths maths ncert solutions home page. in class 12. Matrix Class 12 Viva Questions.
From physicsgurukul.com
Physics Practical Class 12 Viva Questions Gurukul of Excellence Matrix Class 12 Viva Questions in class 12 maths, chapter 3 contains concepts such as matrices and its order, equality, transpose of a matrix, zero and identity. Important questions for class 12 maths maths ncert solutions home page. get access to class 12 maths important questions chapter 3 matrices, matrices class 12 important questions. matrices important questions include its order, zero and. Matrix Class 12 Viva Questions.
From www.youtube.com
Matrices Class 12 , Important Questions for CBSE Board Exams 2023 Matrix Class 12 Viva Questions in class 12 maths, chapter 3 contains concepts such as matrices and its order, equality, transpose of a matrix, zero and identity. learn chapter 3 matrices of class 12 free with solutions of all ncert questions including examples and exercises. get access to class 12 maths important questions chapter 3 matrices, matrices class 12 important questions. . Matrix Class 12 Viva Questions.
From www.esaral.com
Mind Maps For Matrices Class 12, JEE (Main + Advanced) Matrix Class 12 Viva Questions Important questions for class 12 maths maths ncert solutions home page. get access to class 12 maths important questions chapter 3 matrices, matrices class 12 important questions. our comprehensive matrices class 12 notes are meticulously designed to simplify this complex topic, making it accessible and engaging for students. 4 marks questions. matrices important questions include its. Matrix Class 12 Viva Questions.
From www.youtube.com
An important question Matrices Class 12 Maths 2019 CBSE board Matrix Class 12 Viva Questions 4 marks questions. learn chapter 3 matrices of class 12 free with solutions of all ncert questions including examples and exercises. Important questions for class 12 maths maths ncert solutions home page. our comprehensive matrices class 12 notes are meticulously designed to simplify this complex topic, making it accessible and engaging for students. in class 12. Matrix Class 12 Viva Questions.
From www.youtube.com
Top 30 Questions For Chemistry Practical Viva Questions Chemistry Matrix Class 12 Viva Questions our comprehensive matrices class 12 notes are meticulously designed to simplify this complex topic, making it accessible and engaging for students. in class 12 maths, chapter 3 contains concepts such as matrices and its order, equality, transpose of a matrix, zero and identity. Important questions for class 12 maths maths ncert solutions home page. matrices important questions. Matrix Class 12 Viva Questions.
From www.youtube.com
Matrices Class 12 Maths Important Questions and Topics for Board Exam Matrix Class 12 Viva Questions get access to class 12 maths important questions chapter 3 matrices, matrices class 12 important questions. learn chapter 3 matrices of class 12 free with solutions of all ncert questions including examples and exercises. matrices important questions include its order, zero and identity matrix, operations of a matrix, transpose of a. Important questions for class 12 maths. Matrix Class 12 Viva Questions.
From www.tiwariacademy.com
Important & Viva Questions for Class 12 Economics session 202425 Matrix Class 12 Viva Questions our comprehensive matrices class 12 notes are meticulously designed to simplify this complex topic, making it accessible and engaging for students. learn chapter 3 matrices of class 12 free with solutions of all ncert questions including examples and exercises. in class 12 maths, chapter 3 contains concepts such as matrices and its order, equality, transpose of a. Matrix Class 12 Viva Questions.
From www.youtube.com
Matrices all formula class 12 maths matrix all formula class 12 Matrix Class 12 Viva Questions learn chapter 3 matrices of class 12 free with solutions of all ncert questions including examples and exercises. get access to class 12 maths important questions chapter 3 matrices, matrices class 12 important questions. 4 marks questions. our comprehensive matrices class 12 notes are meticulously designed to simplify this complex topic, making it accessible and engaging. Matrix Class 12 Viva Questions.
From www.youtube.com
Matrices Class 12 in 1 Shot By Neha mam NCERT All Exercises Sample Matrix Class 12 Viva Questions Important questions for class 12 maths maths ncert solutions home page. in class 12 maths, chapter 3 contains concepts such as matrices and its order, equality, transpose of a matrix, zero and identity. our comprehensive matrices class 12 notes are meticulously designed to simplify this complex topic, making it accessible and engaging for students. get access to. Matrix Class 12 Viva Questions.
From www.youtube.com
meter bridge experiment class 12 physics class 12 viva questions Matrix Class 12 Viva Questions matrices important questions include its order, zero and identity matrix, operations of a matrix, transpose of a. get access to class 12 maths important questions chapter 3 matrices, matrices class 12 important questions. Important questions for class 12 maths maths ncert solutions home page. learn chapter 3 matrices of class 12 free with solutions of all ncert. Matrix Class 12 Viva Questions.