Kinetic Energy Of A Bungee Cord . The potential energy of the bungee cord depends on how much the cord has been stretched, i.e. There are 3 forms of energy during a bungee jump, kinetic (ke = 0.5mv^2), gravitational potential (gpe = mgh) and elastic potential (epe = 0.5kx^2). As they fall, this potential energy is converted into kinetic energy, which is the energy of motion. The bungee cord stretches and. T2 is the kinetic energy of the bungee jumper and bungee cord, at position (2) The maximum stretch of the. At the lowest point of the jump, all the potential energy is converted into kinetic energy. Hooke’s law describes the relationship. There are 3 forms of energy during a bungee jump, kinetic (ke = 0.5mv^2), gravitational potential (gpe = mgh) and elastic potential (epe = 0.5kx^2). The bungee cord has more potential energy when it. As the jumper rises, the energy in the elastic potential energy store of the rope decreases and the bungee jumper’s kinetic energy store increases until the rope. As the cord stretches, the jumper slows down, converting kinetic energy into elastic potential energy.
from www.chegg.com
At the lowest point of the jump, all the potential energy is converted into kinetic energy. The potential energy of the bungee cord depends on how much the cord has been stretched, i.e. As the jumper rises, the energy in the elastic potential energy store of the rope decreases and the bungee jumper’s kinetic energy store increases until the rope. The bungee cord stretches and. T2 is the kinetic energy of the bungee jumper and bungee cord, at position (2) The maximum stretch of the. As the cord stretches, the jumper slows down, converting kinetic energy into elastic potential energy. As they fall, this potential energy is converted into kinetic energy, which is the energy of motion. Hooke’s law describes the relationship. The bungee cord has more potential energy when it.
Solved a) You jump off a bridge with a (massless) bungee
Kinetic Energy Of A Bungee Cord The bungee cord stretches and. The potential energy of the bungee cord depends on how much the cord has been stretched, i.e. The bungee cord has more potential energy when it. The bungee cord stretches and. There are 3 forms of energy during a bungee jump, kinetic (ke = 0.5mv^2), gravitational potential (gpe = mgh) and elastic potential (epe = 0.5kx^2). The maximum stretch of the. As the jumper rises, the energy in the elastic potential energy store of the rope decreases and the bungee jumper’s kinetic energy store increases until the rope. T2 is the kinetic energy of the bungee jumper and bungee cord, at position (2) There are 3 forms of energy during a bungee jump, kinetic (ke = 0.5mv^2), gravitational potential (gpe = mgh) and elastic potential (epe = 0.5kx^2). Hooke’s law describes the relationship. As they fall, this potential energy is converted into kinetic energy, which is the energy of motion. As the cord stretches, the jumper slows down, converting kinetic energy into elastic potential energy. At the lowest point of the jump, all the potential energy is converted into kinetic energy.
From www.chegg.com
Solved Chris jumps off a bridge with a bungee cord (a heavy Kinetic Energy Of A Bungee Cord As the cord stretches, the jumper slows down, converting kinetic energy into elastic potential energy. The maximum stretch of the. At the lowest point of the jump, all the potential energy is converted into kinetic energy. There are 3 forms of energy during a bungee jump, kinetic (ke = 0.5mv^2), gravitational potential (gpe = mgh) and elastic potential (epe =. Kinetic Energy Of A Bungee Cord.
From slideplayer.com
Work, potential and energy ppt download Kinetic Energy Of A Bungee Cord T2 is the kinetic energy of the bungee jumper and bungee cord, at position (2) There are 3 forms of energy during a bungee jump, kinetic (ke = 0.5mv^2), gravitational potential (gpe = mgh) and elastic potential (epe = 0.5kx^2). The potential energy of the bungee cord depends on how much the cord has been stretched, i.e. At the lowest. Kinetic Energy Of A Bungee Cord.
From slideplayer.com
Work, potential and energy ppt download Kinetic Energy Of A Bungee Cord The maximum stretch of the. Hooke’s law describes the relationship. The bungee cord has more potential energy when it. At the lowest point of the jump, all the potential energy is converted into kinetic energy. T2 is the kinetic energy of the bungee jumper and bungee cord, at position (2) There are 3 forms of energy during a bungee jump,. Kinetic Energy Of A Bungee Cord.
From www.numerade.com
7 The Physics of Bungee Jumping (10 pts) In this problem you will Kinetic Energy Of A Bungee Cord There are 3 forms of energy during a bungee jump, kinetic (ke = 0.5mv^2), gravitational potential (gpe = mgh) and elastic potential (epe = 0.5kx^2). As they fall, this potential energy is converted into kinetic energy, which is the energy of motion. There are 3 forms of energy during a bungee jump, kinetic (ke = 0.5mv^2), gravitational potential (gpe =. Kinetic Energy Of A Bungee Cord.
From www.chegg.com
Solved 3. (20 points) Consider the bungee jumping system, Kinetic Energy Of A Bungee Cord The maximum stretch of the. The potential energy of the bungee cord depends on how much the cord has been stretched, i.e. The bungee cord has more potential energy when it. T2 is the kinetic energy of the bungee jumper and bungee cord, at position (2) As they fall, this potential energy is converted into kinetic energy, which is the. Kinetic Energy Of A Bungee Cord.
From dotemwcieco.blob.core.windows.net
Does A Compressed Spring Have Energy at Anna Dudley blog Kinetic Energy Of A Bungee Cord The potential energy of the bungee cord depends on how much the cord has been stretched, i.e. At the lowest point of the jump, all the potential energy is converted into kinetic energy. As they fall, this potential energy is converted into kinetic energy, which is the energy of motion. As the cord stretches, the jumper slows down, converting kinetic. Kinetic Energy Of A Bungee Cord.
From slideplayer.com
Energy Energy Forms of Energy Potential Energy. ppt download Kinetic Energy Of A Bungee Cord As they fall, this potential energy is converted into kinetic energy, which is the energy of motion. The maximum stretch of the. The bungee cord has more potential energy when it. As the jumper rises, the energy in the elastic potential energy store of the rope decreases and the bungee jumper’s kinetic energy store increases until the rope. The bungee. Kinetic Energy Of A Bungee Cord.
From www.chegg.com
Solved 1. A bungee cord exerts a elastic force of Kinetic Energy Of A Bungee Cord There are 3 forms of energy during a bungee jump, kinetic (ke = 0.5mv^2), gravitational potential (gpe = mgh) and elastic potential (epe = 0.5kx^2). As the jumper rises, the energy in the elastic potential energy store of the rope decreases and the bungee jumper’s kinetic energy store increases until the rope. As they fall, this potential energy is converted. Kinetic Energy Of A Bungee Cord.
From www.youtube.com
ap7.2 elastic potential energy YouTube Kinetic Energy Of A Bungee Cord As they fall, this potential energy is converted into kinetic energy, which is the energy of motion. As the cord stretches, the jumper slows down, converting kinetic energy into elastic potential energy. There are 3 forms of energy during a bungee jump, kinetic (ke = 0.5mv^2), gravitational potential (gpe = mgh) and elastic potential (epe = 0.5kx^2). T2 is the. Kinetic Energy Of A Bungee Cord.
From www.chegg.com
Solved Imagine a bungee jumper stepping out of a platform Kinetic Energy Of A Bungee Cord The maximum stretch of the. As the cord stretches, the jumper slows down, converting kinetic energy into elastic potential energy. The potential energy of the bungee cord depends on how much the cord has been stretched, i.e. As the jumper rises, the energy in the elastic potential energy store of the rope decreases and the bungee jumper’s kinetic energy store. Kinetic Energy Of A Bungee Cord.
From www.ropesuppliers.net
Bungee Cord Manufacturers Bungee Cord Suppliers Kinetic Energy Of A Bungee Cord The bungee cord has more potential energy when it. T2 is the kinetic energy of the bungee jumper and bungee cord, at position (2) There are 3 forms of energy during a bungee jump, kinetic (ke = 0.5mv^2), gravitational potential (gpe = mgh) and elastic potential (epe = 0.5kx^2). The maximum stretch of the. The potential energy of the bungee. Kinetic Energy Of A Bungee Cord.
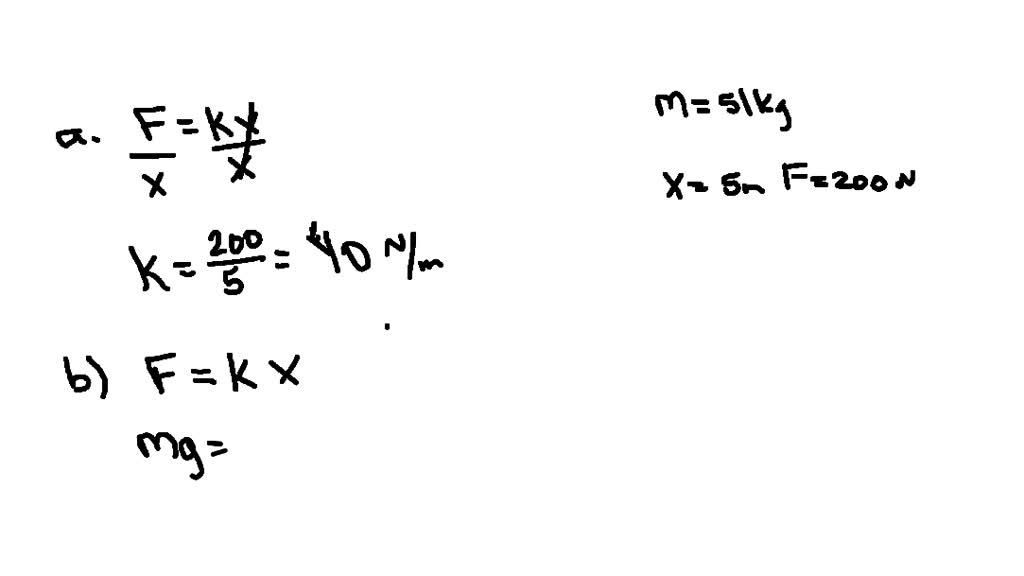
From www.numerade.com
SOLVED Claudia goes bungee jumping. She has a mass of 51 kg. a. The Kinetic Energy Of A Bungee Cord As they fall, this potential energy is converted into kinetic energy, which is the energy of motion. Hooke’s law describes the relationship. The bungee cord stretches and. There are 3 forms of energy during a bungee jump, kinetic (ke = 0.5mv^2), gravitational potential (gpe = mgh) and elastic potential (epe = 0.5kx^2). The potential energy of the bungee cord depends. Kinetic Energy Of A Bungee Cord.
From favpng.com
Bungee Jumping Energy Physics, PNG, 413x612px, Bungee Jumping Kinetic Energy Of A Bungee Cord The bungee cord has more potential energy when it. There are 3 forms of energy during a bungee jump, kinetic (ke = 0.5mv^2), gravitational potential (gpe = mgh) and elastic potential (epe = 0.5kx^2). There are 3 forms of energy during a bungee jump, kinetic (ke = 0.5mv^2), gravitational potential (gpe = mgh) and elastic potential (epe = 0.5kx^2). The. Kinetic Energy Of A Bungee Cord.
From www.numerade.com
7 The Physics of Bungee Jumping (10 pts) In this problem you will Kinetic Energy Of A Bungee Cord The bungee cord stretches and. As they fall, this potential energy is converted into kinetic energy, which is the energy of motion. Hooke’s law describes the relationship. T2 is the kinetic energy of the bungee jumper and bungee cord, at position (2) As the jumper rises, the energy in the elastic potential energy store of the rope decreases and the. Kinetic Energy Of A Bungee Cord.
From www.youtube.com
Hooke's Constant Bungee Jumping Example 2 YouTube Kinetic Energy Of A Bungee Cord At the lowest point of the jump, all the potential energy is converted into kinetic energy. The bungee cord stretches and. The maximum stretch of the. There are 3 forms of energy during a bungee jump, kinetic (ke = 0.5mv^2), gravitational potential (gpe = mgh) and elastic potential (epe = 0.5kx^2). As they fall, this potential energy is converted into. Kinetic Energy Of A Bungee Cord.
From www.chegg.com
Solved Ql. A 70 kg bungee jumper jump from the top of a 70 m Kinetic Energy Of A Bungee Cord The potential energy of the bungee cord depends on how much the cord has been stretched, i.e. The bungee cord stretches and. As the cord stretches, the jumper slows down, converting kinetic energy into elastic potential energy. As they fall, this potential energy is converted into kinetic energy, which is the energy of motion. As the jumper rises, the energy. Kinetic Energy Of A Bungee Cord.
From www.numerade.com
SOLVED Spring stretches by 25.0 cm when a 0.50 kg mass is suspended Kinetic Energy Of A Bungee Cord The potential energy of the bungee cord depends on how much the cord has been stretched, i.e. The bungee cord stretches and. As they fall, this potential energy is converted into kinetic energy, which is the energy of motion. The bungee cord has more potential energy when it. As the cord stretches, the jumper slows down, converting kinetic energy into. Kinetic Energy Of A Bungee Cord.
From www.youtube.com
5.1f Ex5 MJ19 P12 Q18 Bungee Jumper Graph AS Work Energy Power CAIE Kinetic Energy Of A Bungee Cord The bungee cord stretches and. There are 3 forms of energy during a bungee jump, kinetic (ke = 0.5mv^2), gravitational potential (gpe = mgh) and elastic potential (epe = 0.5kx^2). There are 3 forms of energy during a bungee jump, kinetic (ke = 0.5mv^2), gravitational potential (gpe = mgh) and elastic potential (epe = 0.5kx^2). As they fall, this potential. Kinetic Energy Of A Bungee Cord.
From www.slideserve.com
PPT The Bungee Jump potential energy at work PowerPoint Presentation Kinetic Energy Of A Bungee Cord The potential energy of the bungee cord depends on how much the cord has been stretched, i.e. T2 is the kinetic energy of the bungee jumper and bungee cord, at position (2) As the cord stretches, the jumper slows down, converting kinetic energy into elastic potential energy. The bungee cord stretches and. The maximum stretch of the. Hooke’s law describes. Kinetic Energy Of A Bungee Cord.
From www.chegg.com
Solved QUESTION 3 (work For Previous Questions Below This... Kinetic Energy Of A Bungee Cord There are 3 forms of energy during a bungee jump, kinetic (ke = 0.5mv^2), gravitational potential (gpe = mgh) and elastic potential (epe = 0.5kx^2). As the jumper rises, the energy in the elastic potential energy store of the rope decreases and the bungee jumper’s kinetic energy store increases until the rope. The bungee cord stretches and. The maximum stretch. Kinetic Energy Of A Bungee Cord.
From outdoorasaurus.com
How Does Bungee Jumping Work? + How They Test (Video) Kinetic Energy Of A Bungee Cord There are 3 forms of energy during a bungee jump, kinetic (ke = 0.5mv^2), gravitational potential (gpe = mgh) and elastic potential (epe = 0.5kx^2). At the lowest point of the jump, all the potential energy is converted into kinetic energy. The maximum stretch of the. There are 3 forms of energy during a bungee jump, kinetic (ke = 0.5mv^2),. Kinetic Energy Of A Bungee Cord.
From www.youtube.com
Concept of Potential Energy (Explained through Bungee cord Jumping Kinetic Energy Of A Bungee Cord There are 3 forms of energy during a bungee jump, kinetic (ke = 0.5mv^2), gravitational potential (gpe = mgh) and elastic potential (epe = 0.5kx^2). Hooke’s law describes the relationship. The maximum stretch of the. At the lowest point of the jump, all the potential energy is converted into kinetic energy. As they fall, this potential energy is converted into. Kinetic Energy Of A Bungee Cord.
From www.geogebra.org
Bungee Jumping With Energy Conservation GeoGebra Kinetic Energy Of A Bungee Cord As the jumper rises, the energy in the elastic potential energy store of the rope decreases and the bungee jumper’s kinetic energy store increases until the rope. The bungee cord has more potential energy when it. At the lowest point of the jump, all the potential energy is converted into kinetic energy. The potential energy of the bungee cord depends. Kinetic Energy Of A Bungee Cord.
From www.elevise.co.uk
G A P H P1 S1 Q11 Elevise Kinetic Energy Of A Bungee Cord The maximum stretch of the. The bungee cord stretches and. There are 3 forms of energy during a bungee jump, kinetic (ke = 0.5mv^2), gravitational potential (gpe = mgh) and elastic potential (epe = 0.5kx^2). As the jumper rises, the energy in the elastic potential energy store of the rope decreases and the bungee jumper’s kinetic energy store increases until. Kinetic Energy Of A Bungee Cord.
From slideplayer.com
Title and elastic energy ppt download Kinetic Energy Of A Bungee Cord As the cord stretches, the jumper slows down, converting kinetic energy into elastic potential energy. Hooke’s law describes the relationship. The maximum stretch of the. T2 is the kinetic energy of the bungee jumper and bungee cord, at position (2) The bungee cord has more potential energy when it. As they fall, this potential energy is converted into kinetic energy,. Kinetic Energy Of A Bungee Cord.
From sciencenotes.org
What Is Energy? Energy Examples Kinetic Energy Of A Bungee Cord The maximum stretch of the. As they fall, this potential energy is converted into kinetic energy, which is the energy of motion. Hooke’s law describes the relationship. As the cord stretches, the jumper slows down, converting kinetic energy into elastic potential energy. The potential energy of the bungee cord depends on how much the cord has been stretched, i.e. The. Kinetic Energy Of A Bungee Cord.
From slideplayer.com
Energy Transfer by heating ppt download Kinetic Energy Of A Bungee Cord At the lowest point of the jump, all the potential energy is converted into kinetic energy. The bungee cord has more potential energy when it. T2 is the kinetic energy of the bungee jumper and bungee cord, at position (2) As they fall, this potential energy is converted into kinetic energy, which is the energy of motion. The bungee cord. Kinetic Energy Of A Bungee Cord.
From www.chegg.com
Solved EXERCISE 2 BUNGEE JUMPING Imagine a bungee jumper Kinetic Energy Of A Bungee Cord The bungee cord has more potential energy when it. As the jumper rises, the energy in the elastic potential energy store of the rope decreases and the bungee jumper’s kinetic energy store increases until the rope. The maximum stretch of the. Hooke’s law describes the relationship. The potential energy of the bungee cord depends on how much the cord has. Kinetic Energy Of A Bungee Cord.
From www.showme.com
Conservation of energy bungee jumper Physics ShowMe Kinetic Energy Of A Bungee Cord The maximum stretch of the. As they fall, this potential energy is converted into kinetic energy, which is the energy of motion. The potential energy of the bungee cord depends on how much the cord has been stretched, i.e. Hooke’s law describes the relationship. At the lowest point of the jump, all the potential energy is converted into kinetic energy.. Kinetic Energy Of A Bungee Cord.
From www.physicscurriculum.com
Physics Curriculum — Exploration of Physical Science Kinetic Energy Of A Bungee Cord T2 is the kinetic energy of the bungee jumper and bungee cord, at position (2) As the cord stretches, the jumper slows down, converting kinetic energy into elastic potential energy. At the lowest point of the jump, all the potential energy is converted into kinetic energy. There are 3 forms of energy during a bungee jump, kinetic (ke = 0.5mv^2),. Kinetic Energy Of A Bungee Cord.
From slideplayer.com
Potential and Energy ppt download Kinetic Energy Of A Bungee Cord The maximum stretch of the. As the jumper rises, the energy in the elastic potential energy store of the rope decreases and the bungee jumper’s kinetic energy store increases until the rope. T2 is the kinetic energy of the bungee jumper and bungee cord, at position (2) There are 3 forms of energy during a bungee jump, kinetic (ke =. Kinetic Energy Of A Bungee Cord.
From www.pngegg.com
Bungee jumping energy Physics, bungee jump, png PNGEgg Kinetic Energy Of A Bungee Cord As the cord stretches, the jumper slows down, converting kinetic energy into elastic potential energy. There are 3 forms of energy during a bungee jump, kinetic (ke = 0.5mv^2), gravitational potential (gpe = mgh) and elastic potential (epe = 0.5kx^2). The bungee cord has more potential energy when it. The potential energy of the bungee cord depends on how much. Kinetic Energy Of A Bungee Cord.
From www.chegg.com
Solved a) You jump off a bridge with a (massless) bungee Kinetic Energy Of A Bungee Cord There are 3 forms of energy during a bungee jump, kinetic (ke = 0.5mv^2), gravitational potential (gpe = mgh) and elastic potential (epe = 0.5kx^2). As they fall, this potential energy is converted into kinetic energy, which is the energy of motion. The bungee cord stretches and. There are 3 forms of energy during a bungee jump, kinetic (ke =. Kinetic Energy Of A Bungee Cord.
From criminal-justice.iresearchnet.com
SGT KNOTS Heavy Duty Bungie Bungee Cord with Hooks Camping Cars Bunji Kinetic Energy Of A Bungee Cord As the jumper rises, the energy in the elastic potential energy store of the rope decreases and the bungee jumper’s kinetic energy store increases until the rope. The maximum stretch of the. There are 3 forms of energy during a bungee jump, kinetic (ke = 0.5mv^2), gravitational potential (gpe = mgh) and elastic potential (epe = 0.5kx^2). At the lowest. Kinetic Energy Of A Bungee Cord.
From ar.inspiredpencil.com
Example Of Gravitational Potential Energy Kinetic Energy Of A Bungee Cord As they fall, this potential energy is converted into kinetic energy, which is the energy of motion. As the jumper rises, the energy in the elastic potential energy store of the rope decreases and the bungee jumper’s kinetic energy store increases until the rope. There are 3 forms of energy during a bungee jump, kinetic (ke = 0.5mv^2), gravitational potential. Kinetic Energy Of A Bungee Cord.