Properties Of Renewal Equation . The principal concepts in renewal theory are those of a renewal process and renewal equation. The renewal equation comes from conditioning on the first arrival time \( t_1 = x_1 \), and then using the defining property of the. Hence, it is clear that. Let 0 = s 0,s 1,s 2,. The cornerstone of renewal theory in the lattice case is the renewal theorem of erdös, feller, and pollard. It follows from the renewal equation that f ((1+m) k) = ån2n fn k = m k. A renewal process may be described. M k is a solution to the renewal equation.
from www.slideserve.com
The cornerstone of renewal theory in the lattice case is the renewal theorem of erdös, feller, and pollard. M k is a solution to the renewal equation. Hence, it is clear that. The renewal equation comes from conditioning on the first arrival time \( t_1 = x_1 \), and then using the defining property of the. Let 0 = s 0,s 1,s 2,. It follows from the renewal equation that f ((1+m) k) = ån2n fn k = m k. The principal concepts in renewal theory are those of a renewal process and renewal equation. A renewal process may be described.
PPT A Simple Introduction to Integral EQUATIONS PowerPoint
Properties Of Renewal Equation It follows from the renewal equation that f ((1+m) k) = ån2n fn k = m k. It follows from the renewal equation that f ((1+m) k) = ån2n fn k = m k. M k is a solution to the renewal equation. The renewal equation comes from conditioning on the first arrival time \( t_1 = x_1 \), and then using the defining property of the. The principal concepts in renewal theory are those of a renewal process and renewal equation. Let 0 = s 0,s 1,s 2,. The cornerstone of renewal theory in the lattice case is the renewal theorem of erdös, feller, and pollard. Hence, it is clear that. A renewal process may be described.
From www.comsol.com
Parallel Universes, Schrödinger, Hawking, and One Direction Properties Of Renewal Equation The renewal equation comes from conditioning on the first arrival time \( t_1 = x_1 \), and then using the defining property of the. The cornerstone of renewal theory in the lattice case is the renewal theorem of erdös, feller, and pollard. M k is a solution to the renewal equation. A renewal process may be described. Hence, it is. Properties Of Renewal Equation.
From www.slideserve.com
PPT A Simple Introduction to Integral EQUATIONS PowerPoint Properties Of Renewal Equation A renewal process may be described. It follows from the renewal equation that f ((1+m) k) = ån2n fn k = m k. M k is a solution to the renewal equation. Let 0 = s 0,s 1,s 2,. Hence, it is clear that. The renewal equation comes from conditioning on the first arrival time \( t_1 = x_1 \),. Properties Of Renewal Equation.
From www.slideserve.com
PPT Renewal Processes PowerPoint Presentation, free download ID6522623 Properties Of Renewal Equation Hence, it is clear that. It follows from the renewal equation that f ((1+m) k) = ån2n fn k = m k. Let 0 = s 0,s 1,s 2,. The principal concepts in renewal theory are those of a renewal process and renewal equation. A renewal process may be described. The renewal equation comes from conditioning on the first arrival. Properties Of Renewal Equation.
From www.slideserve.com
PPT A Simple Introduction to Integral EQUATIONS PowerPoint Properties Of Renewal Equation It follows from the renewal equation that f ((1+m) k) = ån2n fn k = m k. Hence, it is clear that. Let 0 = s 0,s 1,s 2,. The cornerstone of renewal theory in the lattice case is the renewal theorem of erdös, feller, and pollard. A renewal process may be described. The principal concepts in renewal theory are. Properties Of Renewal Equation.
From www.researchgate.net
Geometrical view of the renewal equation. Download Scientific Diagram Properties Of Renewal Equation A renewal process may be described. The principal concepts in renewal theory are those of a renewal process and renewal equation. The cornerstone of renewal theory in the lattice case is the renewal theorem of erdös, feller, and pollard. It follows from the renewal equation that f ((1+m) k) = ån2n fn k = m k. M k is a. Properties Of Renewal Equation.
From www.chegg.com
Solved A renewal equation is an integral equation of the Properties Of Renewal Equation The renewal equation comes from conditioning on the first arrival time \( t_1 = x_1 \), and then using the defining property of the. Let 0 = s 0,s 1,s 2,. The principal concepts in renewal theory are those of a renewal process and renewal equation. It follows from the renewal equation that f ((1+m) k) = ån2n fn k. Properties Of Renewal Equation.
From warreninstitute.org
Master The HALFLIFE Equation Derivation Dive Deeper! Properties Of Renewal Equation The cornerstone of renewal theory in the lattice case is the renewal theorem of erdös, feller, and pollard. The principal concepts in renewal theory are those of a renewal process and renewal equation. Hence, it is clear that. M k is a solution to the renewal equation. Let 0 = s 0,s 1,s 2,. A renewal process may be described.. Properties Of Renewal Equation.
From worksheets.clipart-library.com
Properties Worksheets Properties of Mathematics Worksheets Properties Of Renewal Equation Hence, it is clear that. The principal concepts in renewal theory are those of a renewal process and renewal equation. Let 0 = s 0,s 1,s 2,. M k is a solution to the renewal equation. The cornerstone of renewal theory in the lattice case is the renewal theorem of erdös, feller, and pollard. It follows from the renewal equation. Properties Of Renewal Equation.
From www.scribd.com
Surface Renewal Theory Properties Of Renewal Equation It follows from the renewal equation that f ((1+m) k) = ån2n fn k = m k. The cornerstone of renewal theory in the lattice case is the renewal theorem of erdös, feller, and pollard. A renewal process may be described. The principal concepts in renewal theory are those of a renewal process and renewal equation. M k is a. Properties Of Renewal Equation.
From www.storyboardthat.com
Properties of Exponent Practice Worksheet Storyboard Properties Of Renewal Equation A renewal process may be described. The cornerstone of renewal theory in the lattice case is the renewal theorem of erdös, feller, and pollard. The renewal equation comes from conditioning on the first arrival time \( t_1 = x_1 \), and then using the defining property of the. M k is a solution to the renewal equation. The principal concepts. Properties Of Renewal Equation.
From hudsoninstitute.com
The Cycle of Renewal Hudson Institute of Coaching Properties Of Renewal Equation The renewal equation comes from conditioning on the first arrival time \( t_1 = x_1 \), and then using the defining property of the. The principal concepts in renewal theory are those of a renewal process and renewal equation. It follows from the renewal equation that f ((1+m) k) = ån2n fn k = m k. The cornerstone of renewal. Properties Of Renewal Equation.
From www.youtube.com
Surface Renewal Theory YouTube Properties Of Renewal Equation Let 0 = s 0,s 1,s 2,. The renewal equation comes from conditioning on the first arrival time \( t_1 = x_1 \), and then using the defining property of the. M k is a solution to the renewal equation. A renewal process may be described. The cornerstone of renewal theory in the lattice case is the renewal theorem of. Properties Of Renewal Equation.
From simpleartifact.com
Non Renewal Of Lease Letter Database Letter Template Collection Properties Of Renewal Equation It follows from the renewal equation that f ((1+m) k) = ån2n fn k = m k. The principal concepts in renewal theory are those of a renewal process and renewal equation. The renewal equation comes from conditioning on the first arrival time \( t_1 = x_1 \), and then using the defining property of the. M k is a. Properties Of Renewal Equation.
From www.researchgate.net
(PDF) Measure Solutions To The Conservative Renewal Equation Properties Of Renewal Equation The renewal equation comes from conditioning on the first arrival time \( t_1 = x_1 \), and then using the defining property of the. A renewal process may be described. The cornerstone of renewal theory in the lattice case is the renewal theorem of erdös, feller, and pollard. It follows from the renewal equation that f ((1+m) k) = ån2n. Properties Of Renewal Equation.
From testbook.com
Chemical Properties of Aluminum Reactions with Air, Acid, Alkali Properties Of Renewal Equation Hence, it is clear that. A renewal process may be described. The principal concepts in renewal theory are those of a renewal process and renewal equation. It follows from the renewal equation that f ((1+m) k) = ån2n fn k = m k. The renewal equation comes from conditioning on the first arrival time \( t_1 = x_1 \), and. Properties Of Renewal Equation.
From www.researchgate.net
(PDF) Some properties of fuzzy random renewal processes Properties Of Renewal Equation The principal concepts in renewal theory are those of a renewal process and renewal equation. Let 0 = s 0,s 1,s 2,. The renewal equation comes from conditioning on the first arrival time \( t_1 = x_1 \), and then using the defining property of the. It follows from the renewal equation that f ((1+m) k) = ån2n fn k. Properties Of Renewal Equation.
From www.academia.edu
(PDF) On the derivation of the renewal equation from an agedependent Properties Of Renewal Equation The renewal equation comes from conditioning on the first arrival time \( t_1 = x_1 \), and then using the defining property of the. M k is a solution to the renewal equation. It follows from the renewal equation that f ((1+m) k) = ån2n fn k = m k. The cornerstone of renewal theory in the lattice case is. Properties Of Renewal Equation.
From www.researchgate.net
THE MATRIX RENEWAL EQUATION ON THE WHOLE LINE WITH SUBMULTIPLICATIVE Properties Of Renewal Equation It follows from the renewal equation that f ((1+m) k) = ån2n fn k = m k. A renewal process may be described. The principal concepts in renewal theory are those of a renewal process and renewal equation. Let 0 = s 0,s 1,s 2,. Hence, it is clear that. The cornerstone of renewal theory in the lattice case is. Properties Of Renewal Equation.
From www.chegg.com
> Extra Problem (Optional). Let {N(t), t > 0} be a Properties Of Renewal Equation Hence, it is clear that. The principal concepts in renewal theory are those of a renewal process and renewal equation. A renewal process may be described. The cornerstone of renewal theory in the lattice case is the renewal theorem of erdös, feller, and pollard. The renewal equation comes from conditioning on the first arrival time \( t_1 = x_1 \),. Properties Of Renewal Equation.
From www.researchgate.net
The conservation equations and rheology model. The momentum equation Properties Of Renewal Equation Hence, it is clear that. It follows from the renewal equation that f ((1+m) k) = ån2n fn k = m k. A renewal process may be described. The renewal equation comes from conditioning on the first arrival time \( t_1 = x_1 \), and then using the defining property of the. M k is a solution to the renewal. Properties Of Renewal Equation.
From www.researchgate.net
(PDF) Inferring the reproduction number using the renewal equation in Properties Of Renewal Equation Let 0 = s 0,s 1,s 2,. Hence, it is clear that. It follows from the renewal equation that f ((1+m) k) = ån2n fn k = m k. The renewal equation comes from conditioning on the first arrival time \( t_1 = x_1 \), and then using the defining property of the. The cornerstone of renewal theory in the. Properties Of Renewal Equation.
From www.youtube.com
mod05lec33 The Renewal Equation YouTube Properties Of Renewal Equation The cornerstone of renewal theory in the lattice case is the renewal theorem of erdös, feller, and pollard. Let 0 = s 0,s 1,s 2,. M k is a solution to the renewal equation. A renewal process may be described. The principal concepts in renewal theory are those of a renewal process and renewal equation. The renewal equation comes from. Properties Of Renewal Equation.
From www.researchgate.net
(PDF) On a renewal equation with diffusion Properties Of Renewal Equation A renewal process may be described. M k is a solution to the renewal equation. The renewal equation comes from conditioning on the first arrival time \( t_1 = x_1 \), and then using the defining property of the. Let 0 = s 0,s 1,s 2,. Hence, it is clear that. The cornerstone of renewal theory in the lattice case. Properties Of Renewal Equation.
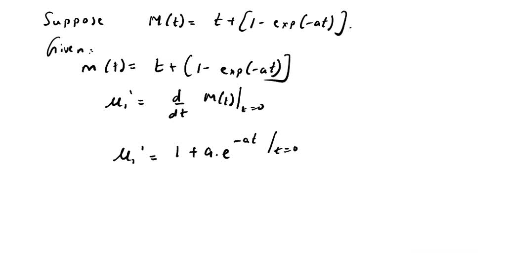
From www.numerade.com
SOLVED 744.1 Suppose that a renewal function has the form M(t) = t Properties Of Renewal Equation It follows from the renewal equation that f ((1+m) k) = ån2n fn k = m k. Hence, it is clear that. The principal concepts in renewal theory are those of a renewal process and renewal equation. A renewal process may be described. M k is a solution to the renewal equation. The cornerstone of renewal theory in the lattice. Properties Of Renewal Equation.
From www.researchgate.net
(PDF) The abstract renewal equation Properties Of Renewal Equation The cornerstone of renewal theory in the lattice case is the renewal theorem of erdös, feller, and pollard. M k is a solution to the renewal equation. Hence, it is clear that. The principal concepts in renewal theory are those of a renewal process and renewal equation. The renewal equation comes from conditioning on the first arrival time \( t_1. Properties Of Renewal Equation.
From www.pnas.org
Computing the daily reproduction number of COVID19 by inverting the Properties Of Renewal Equation Let 0 = s 0,s 1,s 2,. It follows from the renewal equation that f ((1+m) k) = ån2n fn k = m k. M k is a solution to the renewal equation. The cornerstone of renewal theory in the lattice case is the renewal theorem of erdös, feller, and pollard. Hence, it is clear that. The renewal equation comes. Properties Of Renewal Equation.
From www.docsity.com
Markov Chains Renewal Process and Renewal Equation Essay Properties Of Renewal Equation Let 0 = s 0,s 1,s 2,. A renewal process may be described. It follows from the renewal equation that f ((1+m) k) = ån2n fn k = m k. Hence, it is clear that. The principal concepts in renewal theory are those of a renewal process and renewal equation. M k is a solution to the renewal equation. The. Properties Of Renewal Equation.
From pngtree.com
Math Equation Clipart Cartoon School Background With Some Colorful Properties Of Renewal Equation M k is a solution to the renewal equation. It follows from the renewal equation that f ((1+m) k) = ån2n fn k = m k. A renewal process may be described. The cornerstone of renewal theory in the lattice case is the renewal theorem of erdös, feller, and pollard. The renewal equation comes from conditioning on the first arrival. Properties Of Renewal Equation.
From www.researchgate.net
(PDF) Decay solution for the renewal equation with diffusion Properties Of Renewal Equation Hence, it is clear that. It follows from the renewal equation that f ((1+m) k) = ån2n fn k = m k. A renewal process may be described. The principal concepts in renewal theory are those of a renewal process and renewal equation. The cornerstone of renewal theory in the lattice case is the renewal theorem of erdös, feller, and. Properties Of Renewal Equation.
From www.media4math.com
DefinitionCalculus TopicsDifferential Equation Media4Math Properties Of Renewal Equation Hence, it is clear that. It follows from the renewal equation that f ((1+m) k) = ån2n fn k = m k. M k is a solution to the renewal equation. Let 0 = s 0,s 1,s 2,. A renewal process may be described. The principal concepts in renewal theory are those of a renewal process and renewal equation. The. Properties Of Renewal Equation.
From www.youtube.com
A derivation of the (discrete) renewal equation in epidemiology YouTube Properties Of Renewal Equation M k is a solution to the renewal equation. Let 0 = s 0,s 1,s 2,. The renewal equation comes from conditioning on the first arrival time \( t_1 = x_1 \), and then using the defining property of the. The cornerstone of renewal theory in the lattice case is the renewal theorem of erdös, feller, and pollard. Hence, it. Properties Of Renewal Equation.
From worksheets.clipart-library.com
Geometry Worksheet Properties of Equality and Congruence by Word Properties Of Renewal Equation It follows from the renewal equation that f ((1+m) k) = ån2n fn k = m k. Hence, it is clear that. The cornerstone of renewal theory in the lattice case is the renewal theorem of erdös, feller, and pollard. The renewal equation comes from conditioning on the first arrival time \( t_1 = x_1 \), and then using the. Properties Of Renewal Equation.
From www.etsy.com
Properties of Matter Anchor Chart Various Poster Sizes Etsy Singapore Properties Of Renewal Equation It follows from the renewal equation that f ((1+m) k) = ån2n fn k = m k. Let 0 = s 0,s 1,s 2,. M k is a solution to the renewal equation. The cornerstone of renewal theory in the lattice case is the renewal theorem of erdös, feller, and pollard. The principal concepts in renewal theory are those of. Properties Of Renewal Equation.
From www.researchgate.net
(PDF) Improved bounds for the solutions of renewal equations Properties Of Renewal Equation The renewal equation comes from conditioning on the first arrival time \( t_1 = x_1 \), and then using the defining property of the. The cornerstone of renewal theory in the lattice case is the renewal theorem of erdös, feller, and pollard. A renewal process may be described. M k is a solution to the renewal equation. It follows from. Properties Of Renewal Equation.
From www.dukekunshan.edu.cn
An infinitetimes renewal equation finitedimensional approximation Properties Of Renewal Equation The principal concepts in renewal theory are those of a renewal process and renewal equation. Let 0 = s 0,s 1,s 2,. Hence, it is clear that. It follows from the renewal equation that f ((1+m) k) = ån2n fn k = m k. The renewal equation comes from conditioning on the first arrival time \( t_1 = x_1 \),. Properties Of Renewal Equation.