Benefits For Retirees In Oklahoma . All four options have one thing in. You become eligible for retirement based on certain age and service requirements. In turn, they are compensated with exceptional benefits ranging from accrued leave and longevity pay to insurance allowances and. The benefit amounts reflected by the estimator represent normal retirement benefits. Our retired members have earned their retirement benefits after years of serving the people of oklahoma. At retirement, you will have a choice between four retirement benefit options. Retirement benefits are based on meeting.
from www.prweb.com
Retirement benefits are based on meeting. You become eligible for retirement based on certain age and service requirements. In turn, they are compensated with exceptional benefits ranging from accrued leave and longevity pay to insurance allowances and. The benefit amounts reflected by the estimator represent normal retirement benefits. At retirement, you will have a choice between four retirement benefit options. Our retired members have earned their retirement benefits after years of serving the people of oklahoma. All four options have one thing in.
2017 NFP Oklahoma Healthcare & Retirement Plan Summit Gathers Employers and Industry Experts to
Benefits For Retirees In Oklahoma Retirement benefits are based on meeting. At retirement, you will have a choice between four retirement benefit options. Our retired members have earned their retirement benefits after years of serving the people of oklahoma. All four options have one thing in. The benefit amounts reflected by the estimator represent normal retirement benefits. Retirement benefits are based on meeting. In turn, they are compensated with exceptional benefits ranging from accrued leave and longevity pay to insurance allowances and. You become eligible for retirement based on certain age and service requirements.
From www.kff.org
Retiree Health Benefits At the Crossroads Overview of Health Benefits for Pre65 and Medicare Benefits For Retirees In Oklahoma The benefit amounts reflected by the estimator represent normal retirement benefits. You become eligible for retirement based on certain age and service requirements. All four options have one thing in. In turn, they are compensated with exceptional benefits ranging from accrued leave and longevity pay to insurance allowances and. Our retired members have earned their retirement benefits after years of. Benefits For Retirees In Oklahoma.
From www.financestrategists.com
Find the Best Retirement Planning Services in Oklahoma County, OK Benefits For Retirees In Oklahoma You become eligible for retirement based on certain age and service requirements. All four options have one thing in. Our retired members have earned their retirement benefits after years of serving the people of oklahoma. In turn, they are compensated with exceptional benefits ranging from accrued leave and longevity pay to insurance allowances and. The benefit amounts reflected by the. Benefits For Retirees In Oklahoma.
From www.worldatlas.com
8 TopRanked Towns in Oklahoma for Retirees WorldAtlas Benefits For Retirees In Oklahoma At retirement, you will have a choice between four retirement benefit options. Retirement benefits are based on meeting. All four options have one thing in. You become eligible for retirement based on certain age and service requirements. Our retired members have earned their retirement benefits after years of serving the people of oklahoma. In turn, they are compensated with exceptional. Benefits For Retirees In Oklahoma.
From what-benefits.com
How To File For Unemployment Benefits In Oklahoma Benefits For Retirees In Oklahoma You become eligible for retirement based on certain age and service requirements. Retirement benefits are based on meeting. At retirement, you will have a choice between four retirement benefit options. All four options have one thing in. Our retired members have earned their retirement benefits after years of serving the people of oklahoma. The benefit amounts reflected by the estimator. Benefits For Retirees In Oklahoma.
From www.leisurecare.com
10 Reasons to Retire in Oklahoma Senior Living at its Best Leisure Care Benefits For Retirees In Oklahoma All four options have one thing in. Retirement benefits are based on meeting. You become eligible for retirement based on certain age and service requirements. Our retired members have earned their retirement benefits after years of serving the people of oklahoma. The benefit amounts reflected by the estimator represent normal retirement benefits. At retirement, you will have a choice between. Benefits For Retirees In Oklahoma.
From www.massmutualascend.com
Simplifying Social Security Benefits For Retirees In Oklahoma Our retired members have earned their retirement benefits after years of serving the people of oklahoma. The benefit amounts reflected by the estimator represent normal retirement benefits. Retirement benefits are based on meeting. At retirement, you will have a choice between four retirement benefit options. You become eligible for retirement based on certain age and service requirements. In turn, they. Benefits For Retirees In Oklahoma.
From www.kff.org
Retiree Health Benefits At the Crossroads Overview of Health Benefits for Pre65 and Medicare Benefits For Retirees In Oklahoma All four options have one thing in. The benefit amounts reflected by the estimator represent normal retirement benefits. You become eligible for retirement based on certain age and service requirements. In turn, they are compensated with exceptional benefits ranging from accrued leave and longevity pay to insurance allowances and. Retirement benefits are based on meeting. At retirement, you will have. Benefits For Retirees In Oklahoma.
From www.getcolbert.com
Can I Collect Retirement and Disability Benefits in Oklahoma? Benefits For Retirees In Oklahoma Our retired members have earned their retirement benefits after years of serving the people of oklahoma. Retirement benefits are based on meeting. All four options have one thing in. In turn, they are compensated with exceptional benefits ranging from accrued leave and longevity pay to insurance allowances and. At retirement, you will have a choice between four retirement benefit options.. Benefits For Retirees In Oklahoma.
From www.youtube.com
10 Reasons You'll Love Retiring in Oklahoma Retire in Oklahoma City YouTube Benefits For Retirees In Oklahoma All four options have one thing in. At retirement, you will have a choice between four retirement benefit options. Retirement benefits are based on meeting. Our retired members have earned their retirement benefits after years of serving the people of oklahoma. The benefit amounts reflected by the estimator represent normal retirement benefits. You become eligible for retirement based on certain. Benefits For Retirees In Oklahoma.
From www.oklahoman.com
Oklahoma is a less attractive destination for retirees, study shows Benefits For Retirees In Oklahoma At retirement, you will have a choice between four retirement benefit options. You become eligible for retirement based on certain age and service requirements. In turn, they are compensated with exceptional benefits ranging from accrued leave and longevity pay to insurance allowances and. The benefit amounts reflected by the estimator represent normal retirement benefits. Our retired members have earned their. Benefits For Retirees In Oklahoma.
From www.prweb.com
2017 NFP Oklahoma Healthcare & Retirement Plan Summit Gathers Employers and Industry Experts to Benefits For Retirees In Oklahoma All four options have one thing in. In turn, they are compensated with exceptional benefits ranging from accrued leave and longevity pay to insurance allowances and. Retirement benefits are based on meeting. The benefit amounts reflected by the estimator represent normal retirement benefits. You become eligible for retirement based on certain age and service requirements. At retirement, you will have. Benefits For Retirees In Oklahoma.
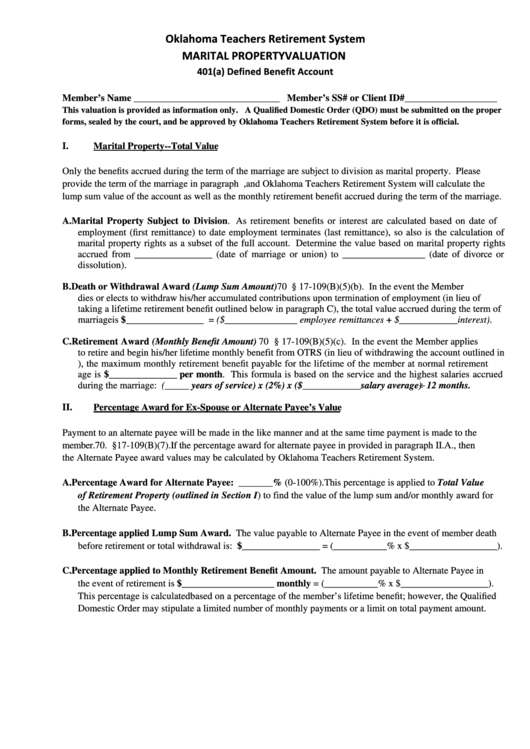
From www.formsbank.com
Marital Property Valuation 401(A) Defined Benefit Account Oklahoma Teachers Retirement Benefits For Retirees In Oklahoma All four options have one thing in. Retirement benefits are based on meeting. At retirement, you will have a choice between four retirement benefit options. Our retired members have earned their retirement benefits after years of serving the people of oklahoma. The benefit amounts reflected by the estimator represent normal retirement benefits. In turn, they are compensated with exceptional benefits. Benefits For Retirees In Oklahoma.
From www.youtube.com
Why OKLAHOMA Is A TOP RETIREMENT Destination Unveiling The Benefits Oklahoma Lifestyle YouTube Benefits For Retirees In Oklahoma Our retired members have earned their retirement benefits after years of serving the people of oklahoma. The benefit amounts reflected by the estimator represent normal retirement benefits. Retirement benefits are based on meeting. At retirement, you will have a choice between four retirement benefit options. You become eligible for retirement based on certain age and service requirements. In turn, they. Benefits For Retirees In Oklahoma.
From www.parmanlaw.com
Social Security Retirement Benefits and Your Retirement Plan Oklahoma Estate Planning Attorneys Benefits For Retirees In Oklahoma You become eligible for retirement based on certain age and service requirements. Our retired members have earned their retirement benefits after years of serving the people of oklahoma. In turn, they are compensated with exceptional benefits ranging from accrued leave and longevity pay to insurance allowances and. Retirement benefits are based on meeting. The benefit amounts reflected by the estimator. Benefits For Retirees In Oklahoma.
From www.kff.org
Retiree Health Benefits At the Crossroads Overview of Health Benefits for Pre65 and Medicare Benefits For Retirees In Oklahoma You become eligible for retirement based on certain age and service requirements. The benefit amounts reflected by the estimator represent normal retirement benefits. At retirement, you will have a choice between four retirement benefit options. All four options have one thing in. Retirement benefits are based on meeting. Our retired members have earned their retirement benefits after years of serving. Benefits For Retirees In Oklahoma.
From okpolicy.org
Interactive maps show impact of civil service retirees in Oklahoma Oklahoma Policy Institute Benefits For Retirees In Oklahoma Retirement benefits are based on meeting. All four options have one thing in. Our retired members have earned their retirement benefits after years of serving the people of oklahoma. In turn, they are compensated with exceptional benefits ranging from accrued leave and longevity pay to insurance allowances and. At retirement, you will have a choice between four retirement benefit options.. Benefits For Retirees In Oklahoma.
From www.sssguides.com
How To Apply For Your SSS Retirement Benefit SSS Guides Benefits For Retirees In Oklahoma All four options have one thing in. At retirement, you will have a choice between four retirement benefit options. The benefit amounts reflected by the estimator represent normal retirement benefits. Our retired members have earned their retirement benefits after years of serving the people of oklahoma. In turn, they are compensated with exceptional benefits ranging from accrued leave and longevity. Benefits For Retirees In Oklahoma.
From okpolicy.org
Interactive maps show impact of civil service retirees in Oklahoma Oklahoma Policy Institute Benefits For Retirees In Oklahoma At retirement, you will have a choice between four retirement benefit options. In turn, they are compensated with exceptional benefits ranging from accrued leave and longevity pay to insurance allowances and. Retirement benefits are based on meeting. All four options have one thing in. You become eligible for retirement based on certain age and service requirements. The benefit amounts reflected. Benefits For Retirees In Oklahoma.
From retirepension.com
Discover Your Perfect Retirement in Oklahoma Uncover the Charm and Benefits 2023 Benefits For Retirees In Oklahoma Retirement benefits are based on meeting. Our retired members have earned their retirement benefits after years of serving the people of oklahoma. At retirement, you will have a choice between four retirement benefit options. All four options have one thing in. You become eligible for retirement based on certain age and service requirements. The benefit amounts reflected by the estimator. Benefits For Retirees In Oklahoma.
From dalennawgenna.pages.dev
Social Security Retirement Benefits 2024 Dedie Eulalie Benefits For Retirees In Oklahoma The benefit amounts reflected by the estimator represent normal retirement benefits. Retirement benefits are based on meeting. You become eligible for retirement based on certain age and service requirements. In turn, they are compensated with exceptional benefits ranging from accrued leave and longevity pay to insurance allowances and. Our retired members have earned their retirement benefits after years of serving. Benefits For Retirees In Oklahoma.
From retiregenz.com
What Is A Defined Benefit Retirement Plan? Retire Gen Z Benefits For Retirees In Oklahoma Retirement benefits are based on meeting. In turn, they are compensated with exceptional benefits ranging from accrued leave and longevity pay to insurance allowances and. You become eligible for retirement based on certain age and service requirements. At retirement, you will have a choice between four retirement benefit options. Our retired members have earned their retirement benefits after years of. Benefits For Retirees In Oklahoma.
From stacker.com
Companies of All Sizes Have Expanded Retirement Benefits—here's Why Guideline Benefits For Retirees In Oklahoma The benefit amounts reflected by the estimator represent normal retirement benefits. Our retired members have earned their retirement benefits after years of serving the people of oklahoma. Retirement benefits are based on meeting. You become eligible for retirement based on certain age and service requirements. At retirement, you will have a choice between four retirement benefit options. In turn, they. Benefits For Retirees In Oklahoma.
From www.linkedin.com
Mary Velten Benefits Specialist Oklahoma Public Employees Retirement System LinkedIn Benefits For Retirees In Oklahoma The benefit amounts reflected by the estimator represent normal retirement benefits. Retirement benefits are based on meeting. All four options have one thing in. At retirement, you will have a choice between four retirement benefit options. In turn, they are compensated with exceptional benefits ranging from accrued leave and longevity pay to insurance allowances and. Our retired members have earned. Benefits For Retirees In Oklahoma.
From www.pinterest.com
StatebyState Guide to Taxes on Retirees Oklahoma Oklahoma, Retirement, Seniors, Tax Benefits For Retirees In Oklahoma You become eligible for retirement based on certain age and service requirements. In turn, they are compensated with exceptional benefits ranging from accrued leave and longevity pay to insurance allowances and. At retirement, you will have a choice between four retirement benefit options. The benefit amounts reflected by the estimator represent normal retirement benefits. All four options have one thing. Benefits For Retirees In Oklahoma.
From www.pinterest.com
Taxes for Retirees in Oklahoma South carolina, Oklahoma, Retirement Benefits For Retirees In Oklahoma The benefit amounts reflected by the estimator represent normal retirement benefits. All four options have one thing in. Our retired members have earned their retirement benefits after years of serving the people of oklahoma. At retirement, you will have a choice between four retirement benefit options. In turn, they are compensated with exceptional benefits ranging from accrued leave and longevity. Benefits For Retirees In Oklahoma.
From infogr.am
Best and worst states for military retirees Infogram, charts & infographics Benefits For Retirees In Oklahoma Our retired members have earned their retirement benefits after years of serving the people of oklahoma. Retirement benefits are based on meeting. All four options have one thing in. The benefit amounts reflected by the estimator represent normal retirement benefits. In turn, they are compensated with exceptional benefits ranging from accrued leave and longevity pay to insurance allowances and. You. Benefits For Retirees In Oklahoma.
From www.opers.ok.gov
Publications Oklahoma Public Employees Retirement System Benefits For Retirees In Oklahoma At retirement, you will have a choice between four retirement benefit options. Our retired members have earned their retirement benefits after years of serving the people of oklahoma. Retirement benefits are based on meeting. All four options have one thing in. The benefit amounts reflected by the estimator represent normal retirement benefits. In turn, they are compensated with exceptional benefits. Benefits For Retirees In Oklahoma.
From amiiqauguste.pages.dev
Cola For Oklahoma State Retirees 2024 Inge Regine Benefits For Retirees In Oklahoma You become eligible for retirement based on certain age and service requirements. All four options have one thing in. Our retired members have earned their retirement benefits after years of serving the people of oklahoma. The benefit amounts reflected by the estimator represent normal retirement benefits. At retirement, you will have a choice between four retirement benefit options. In turn,. Benefits For Retirees In Oklahoma.
From slideplayer.com
New Employee Onboarding ppt download Benefits For Retirees In Oklahoma At retirement, you will have a choice between four retirement benefit options. All four options have one thing in. The benefit amounts reflected by the estimator represent normal retirement benefits. In turn, they are compensated with exceptional benefits ranging from accrued leave and longevity pay to insurance allowances and. You become eligible for retirement based on certain age and service. Benefits For Retirees In Oklahoma.
From www.fatwapedia.com
Mulai Menabung Pensiun di Usia Muda Pentingnya Menabung Sejak Dini FatwaPedia Benefits For Retirees In Oklahoma All four options have one thing in. Retirement benefits are based on meeting. Our retired members have earned their retirement benefits after years of serving the people of oklahoma. The benefit amounts reflected by the estimator represent normal retirement benefits. In turn, they are compensated with exceptional benefits ranging from accrued leave and longevity pay to insurance allowances and. At. Benefits For Retirees In Oklahoma.
From www.moradaseniorliving.com
The Benefits Of Life Enrichment Programs In Lynn Lane, OK Retirement Communities Morada Senior Benefits For Retirees In Oklahoma At retirement, you will have a choice between four retirement benefit options. You become eligible for retirement based on certain age and service requirements. The benefit amounts reflected by the estimator represent normal retirement benefits. In turn, they are compensated with exceptional benefits ranging from accrued leave and longevity pay to insurance allowances and. Retirement benefits are based on meeting.. Benefits For Retirees In Oklahoma.
From goldiranews.org
Oklahoma teachers retirement Benefits For Retirees In Oklahoma You become eligible for retirement based on certain age and service requirements. Retirement benefits are based on meeting. In turn, they are compensated with exceptional benefits ranging from accrued leave and longevity pay to insurance allowances and. The benefit amounts reflected by the estimator represent normal retirement benefits. All four options have one thing in. At retirement, you will have. Benefits For Retirees In Oklahoma.
From ristybenefits.com
RETIREES Risty Benefits Benefits For Retirees In Oklahoma In turn, they are compensated with exceptional benefits ranging from accrued leave and longevity pay to insurance allowances and. Retirement benefits are based on meeting. The benefit amounts reflected by the estimator represent normal retirement benefits. Our retired members have earned their retirement benefits after years of serving the people of oklahoma. All four options have one thing in. You. Benefits For Retirees In Oklahoma.
From www.ccwh-living.com
Retirement Living In Oklahoma Why You Should Think About It Country Club At Woodland Hills Benefits For Retirees In Oklahoma Our retired members have earned their retirement benefits after years of serving the people of oklahoma. Retirement benefits are based on meeting. The benefit amounts reflected by the estimator represent normal retirement benefits. All four options have one thing in. In turn, they are compensated with exceptional benefits ranging from accrued leave and longevity pay to insurance allowances and. At. Benefits For Retirees In Oklahoma.
From inflationprotection.org
What are the Benefits of Retirement? Understanding OPS and NPS Retirement Benefits Inflation Benefits For Retirees In Oklahoma Retirement benefits are based on meeting. All four options have one thing in. The benefit amounts reflected by the estimator represent normal retirement benefits. In turn, they are compensated with exceptional benefits ranging from accrued leave and longevity pay to insurance allowances and. At retirement, you will have a choice between four retirement benefit options. Our retired members have earned. Benefits For Retirees In Oklahoma.