What Is The Drug Concentration After 3 Hours . It is very easy to use and the result is. After 6 hours, the patient still has ~0.71 g of adderall in their bloodstream. So, the amount of the drug after 6 hours is 0.71 g. Multiply by the initial drug dose (1 g × 0.707). This calculator estimates how long it takes for a drug to leave the body. Easily save or share it! Each iteration reduces the remaining drug amount by 50% (= amount / 2) and adds the average half life period to the total.
from www.chegg.com
Each iteration reduces the remaining drug amount by 50% (= amount / 2) and adds the average half life period to the total. After 6 hours, the patient still has ~0.71 g of adderall in their bloodstream. Multiply by the initial drug dose (1 g × 0.707). Easily save or share it! This calculator estimates how long it takes for a drug to leave the body. It is very easy to use and the result is. So, the amount of the drug after 6 hours is 0.71 g.
Solved The concentration of a drug in a patient's
What Is The Drug Concentration After 3 Hours After 6 hours, the patient still has ~0.71 g of adderall in their bloodstream. Each iteration reduces the remaining drug amount by 50% (= amount / 2) and adds the average half life period to the total. This calculator estimates how long it takes for a drug to leave the body. After 6 hours, the patient still has ~0.71 g of adderall in their bloodstream. Multiply by the initial drug dose (1 g × 0.707). So, the amount of the drug after 6 hours is 0.71 g. Easily save or share it! It is very easy to use and the result is.
From www.chegg.com
Solved The concentration C of a certain drug in a patient's What Is The Drug Concentration After 3 Hours This calculator estimates how long it takes for a drug to leave the body. Each iteration reduces the remaining drug amount by 50% (= amount / 2) and adds the average half life period to the total. Easily save or share it! Multiply by the initial drug dose (1 g × 0.707). After 6 hours, the patient still has ~0.71. What Is The Drug Concentration After 3 Hours.
From www.chegg.com
I tried to solve some of the following questions but What Is The Drug Concentration After 3 Hours Each iteration reduces the remaining drug amount by 50% (= amount / 2) and adds the average half life period to the total. After 6 hours, the patient still has ~0.71 g of adderall in their bloodstream. Easily save or share it! It is very easy to use and the result is. So, the amount of the drug after 6. What Is The Drug Concentration After 3 Hours.
From www.numerade.com
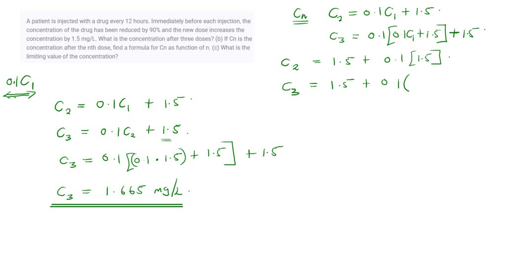
A patient is injected with a drug every 12 hours. Immediately before What Is The Drug Concentration After 3 Hours After 6 hours, the patient still has ~0.71 g of adderall in their bloodstream. Multiply by the initial drug dose (1 g × 0.707). Easily save or share it! It is very easy to use and the result is. This calculator estimates how long it takes for a drug to leave the body. So, the amount of the drug after. What Is The Drug Concentration After 3 Hours.
From www.solutionspile.com
[Solved] 2. The concentration of a particular drug in a p What Is The Drug Concentration After 3 Hours Each iteration reduces the remaining drug amount by 50% (= amount / 2) and adds the average half life period to the total. Easily save or share it! This calculator estimates how long it takes for a drug to leave the body. After 6 hours, the patient still has ~0.71 g of adderall in their bloodstream. Multiply by the initial. What Is The Drug Concentration After 3 Hours.
From www.slideserve.com
PPT PowerPoint Presentation, free download ID3762537 What Is The Drug Concentration After 3 Hours Multiply by the initial drug dose (1 g × 0.707). Each iteration reduces the remaining drug amount by 50% (= amount / 2) and adds the average half life period to the total. Easily save or share it! It is very easy to use and the result is. After 6 hours, the patient still has ~0.71 g of adderall in. What Is The Drug Concentration After 3 Hours.
From www.youtube.com
Plasma Drug Concentration Time Profile YouTube What Is The Drug Concentration After 3 Hours Easily save or share it! This calculator estimates how long it takes for a drug to leave the body. After 6 hours, the patient still has ~0.71 g of adderall in their bloodstream. It is very easy to use and the result is. Multiply by the initial drug dose (1 g × 0.707). So, the amount of the drug after. What Is The Drug Concentration After 3 Hours.
From loecgigkr.blob.core.windows.net
How To Determine Dose Of Drug at Edward Guarino blog What Is The Drug Concentration After 3 Hours Easily save or share it! This calculator estimates how long it takes for a drug to leave the body. After 6 hours, the patient still has ~0.71 g of adderall in their bloodstream. Each iteration reduces the remaining drug amount by 50% (= amount / 2) and adds the average half life period to the total. It is very easy. What Is The Drug Concentration After 3 Hours.
From ceucdlxt.blob.core.windows.net
What Do Drug Concentration Mean at Vincent Newton blog What Is The Drug Concentration After 3 Hours This calculator estimates how long it takes for a drug to leave the body. So, the amount of the drug after 6 hours is 0.71 g. Multiply by the initial drug dose (1 g × 0.707). Each iteration reduces the remaining drug amount by 50% (= amount / 2) and adds the average half life period to the total. Easily. What Is The Drug Concentration After 3 Hours.
From doctorlib.info
Pharmacology An Illustrated Review What Is The Drug Concentration After 3 Hours Multiply by the initial drug dose (1 g × 0.707). It is very easy to use and the result is. Each iteration reduces the remaining drug amount by 50% (= amount / 2) and adds the average half life period to the total. This calculator estimates how long it takes for a drug to leave the body. So, the amount. What Is The Drug Concentration After 3 Hours.
From www.researchgate.net
Drug concentration in plasma with and without an initial loading dose What Is The Drug Concentration After 3 Hours So, the amount of the drug after 6 hours is 0.71 g. Each iteration reduces the remaining drug amount by 50% (= amount / 2) and adds the average half life period to the total. It is very easy to use and the result is. After 6 hours, the patient still has ~0.71 g of adderall in their bloodstream. Easily. What Is The Drug Concentration After 3 Hours.
From www.medicinejournal.co.uk
for the prescriber Medicine What Is The Drug Concentration After 3 Hours So, the amount of the drug after 6 hours is 0.71 g. It is very easy to use and the result is. Easily save or share it! Each iteration reduces the remaining drug amount by 50% (= amount / 2) and adds the average half life period to the total. After 6 hours, the patient still has ~0.71 g of. What Is The Drug Concentration After 3 Hours.
From recoveryrealization.com
How To Calculate Half Life Of A Drug? Recovery Realization What Is The Drug Concentration After 3 Hours Easily save or share it! It is very easy to use and the result is. After 6 hours, the patient still has ~0.71 g of adderall in their bloodstream. So, the amount of the drug after 6 hours is 0.71 g. Multiply by the initial drug dose (1 g × 0.707). Each iteration reduces the remaining drug amount by 50%. What Is The Drug Concentration After 3 Hours.
From www.chegg.com
Solved (1 point) Consider a drug that is taken in 45 mg What Is The Drug Concentration After 3 Hours Each iteration reduces the remaining drug amount by 50% (= amount / 2) and adds the average half life period to the total. It is very easy to use and the result is. So, the amount of the drug after 6 hours is 0.71 g. Easily save or share it! This calculator estimates how long it takes for a drug. What Is The Drug Concentration After 3 Hours.
From www.chegg.com
Solved The drug concentration in the bloodstream t hours What Is The Drug Concentration After 3 Hours Multiply by the initial drug dose (1 g × 0.707). Each iteration reduces the remaining drug amount by 50% (= amount / 2) and adds the average half life period to the total. It is very easy to use and the result is. So, the amount of the drug after 6 hours is 0.71 g. Easily save or share it!. What Is The Drug Concentration After 3 Hours.
From www.researchgate.net
Plasma drug concentration versus time after an intravenous (IV) dose What Is The Drug Concentration After 3 Hours Multiply by the initial drug dose (1 g × 0.707). So, the amount of the drug after 6 hours is 0.71 g. This calculator estimates how long it takes for a drug to leave the body. Easily save or share it! After 6 hours, the patient still has ~0.71 g of adderall in their bloodstream. It is very easy to. What Is The Drug Concentration After 3 Hours.
From www.chegg.com
Solved The concentration of a drug in a patient's What Is The Drug Concentration After 3 Hours Easily save or share it! So, the amount of the drug after 6 hours is 0.71 g. This calculator estimates how long it takes for a drug to leave the body. Each iteration reduces the remaining drug amount by 50% (= amount / 2) and adds the average half life period to the total. It is very easy to use. What Is The Drug Concentration After 3 Hours.
From www.britannica.com
Drug action pharmacology Britannica What Is The Drug Concentration After 3 Hours After 6 hours, the patient still has ~0.71 g of adderall in their bloodstream. It is very easy to use and the result is. Easily save or share it! Each iteration reduces the remaining drug amount by 50% (= amount / 2) and adds the average half life period to the total. This calculator estimates how long it takes for. What Is The Drug Concentration After 3 Hours.
From www.chegg.com
Solved A drug is administered to a patient, and the What Is The Drug Concentration After 3 Hours So, the amount of the drug after 6 hours is 0.71 g. Multiply by the initial drug dose (1 g × 0.707). This calculator estimates how long it takes for a drug to leave the body. Each iteration reduces the remaining drug amount by 50% (= amount / 2) and adds the average half life period to the total. Easily. What Is The Drug Concentration After 3 Hours.
From www.chegg.com
Solved The plasma concentrations measured after intravenous What Is The Drug Concentration After 3 Hours After 6 hours, the patient still has ~0.71 g of adderall in their bloodstream. It is very easy to use and the result is. This calculator estimates how long it takes for a drug to leave the body. Each iteration reduces the remaining drug amount by 50% (= amount / 2) and adds the average half life period to the. What Is The Drug Concentration After 3 Hours.
From loezvnldv.blob.core.windows.net
What Is The Peak Concentration Of A Drug at Vivian Hersey blog What Is The Drug Concentration After 3 Hours So, the amount of the drug after 6 hours is 0.71 g. It is very easy to use and the result is. Easily save or share it! This calculator estimates how long it takes for a drug to leave the body. Each iteration reduces the remaining drug amount by 50% (= amount / 2) and adds the average half life. What Is The Drug Concentration After 3 Hours.
From www.chegg.com
Solved Drug Concentration When a drug is injected into the What Is The Drug Concentration After 3 Hours Each iteration reduces the remaining drug amount by 50% (= amount / 2) and adds the average half life period to the total. After 6 hours, the patient still has ~0.71 g of adderall in their bloodstream. So, the amount of the drug after 6 hours is 0.71 g. It is very easy to use and the result is. Multiply. What Is The Drug Concentration After 3 Hours.
From www.numerade.com
A patient is injected with a drug every 12 hours. Immediately before What Is The Drug Concentration After 3 Hours It is very easy to use and the result is. Each iteration reduces the remaining drug amount by 50% (= amount / 2) and adds the average half life period to the total. After 6 hours, the patient still has ~0.71 g of adderall in their bloodstream. Multiply by the initial drug dose (1 g × 0.707). Easily save or. What Is The Drug Concentration After 3 Hours.
From doctorlib.info
and Pharmacodynamics Rational Dosing and the Time What Is The Drug Concentration After 3 Hours This calculator estimates how long it takes for a drug to leave the body. Multiply by the initial drug dose (1 g × 0.707). So, the amount of the drug after 6 hours is 0.71 g. It is very easy to use and the result is. Each iteration reduces the remaining drug amount by 50% (= amount / 2) and. What Is The Drug Concentration After 3 Hours.
From veteriankey.com
Pharmacologic Principles Veterian Key What Is The Drug Concentration After 3 Hours It is very easy to use and the result is. After 6 hours, the patient still has ~0.71 g of adderall in their bloodstream. So, the amount of the drug after 6 hours is 0.71 g. Easily save or share it! Each iteration reduces the remaining drug amount by 50% (= amount / 2) and adds the average half life. What Is The Drug Concentration After 3 Hours.
From www.chegg.com
Solved 1. The graph below shows the concentration of a drug What Is The Drug Concentration After 3 Hours So, the amount of the drug after 6 hours is 0.71 g. Each iteration reduces the remaining drug amount by 50% (= amount / 2) and adds the average half life period to the total. It is very easy to use and the result is. Multiply by the initial drug dose (1 g × 0.707). Easily save or share it!. What Is The Drug Concentration After 3 Hours.
From www.numerade.com
SOLVEDDrug concentration. The concentration C(t), in milligrams per What Is The Drug Concentration After 3 Hours Each iteration reduces the remaining drug amount by 50% (= amount / 2) and adds the average half life period to the total. It is very easy to use and the result is. This calculator estimates how long it takes for a drug to leave the body. Easily save or share it! Multiply by the initial drug dose (1 g. What Is The Drug Concentration After 3 Hours.
From www.youtube.com
Steady State Concentration Part 1 (Drug Calculations Practice What Is The Drug Concentration After 3 Hours Multiply by the initial drug dose (1 g × 0.707). This calculator estimates how long it takes for a drug to leave the body. After 6 hours, the patient still has ~0.71 g of adderall in their bloodstream. Each iteration reduces the remaining drug amount by 50% (= amount / 2) and adds the average half life period to the. What Is The Drug Concentration After 3 Hours.
From www.slideserve.com
PPT Calculations PowerPoint Presentation, free download What Is The Drug Concentration After 3 Hours After 6 hours, the patient still has ~0.71 g of adderall in their bloodstream. Easily save or share it! This calculator estimates how long it takes for a drug to leave the body. Multiply by the initial drug dose (1 g × 0.707). So, the amount of the drug after 6 hours is 0.71 g. Each iteration reduces the remaining. What Is The Drug Concentration After 3 Hours.
From ditki.com
Clinical Pharmacology Glossary HalfLife ditki medical & biological What Is The Drug Concentration After 3 Hours After 6 hours, the patient still has ~0.71 g of adderall in their bloodstream. Each iteration reduces the remaining drug amount by 50% (= amount / 2) and adds the average half life period to the total. So, the amount of the drug after 6 hours is 0.71 g. Multiply by the initial drug dose (1 g × 0.707). This. What Is The Drug Concentration After 3 Hours.
From www.numerade.com
SOLVEDA drug is injected into a patient and the concentration of the What Is The Drug Concentration After 3 Hours Multiply by the initial drug dose (1 g × 0.707). Easily save or share it! This calculator estimates how long it takes for a drug to leave the body. Each iteration reduces the remaining drug amount by 50% (= amount / 2) and adds the average half life period to the total. After 6 hours, the patient still has ~0.71. What Is The Drug Concentration After 3 Hours.
From www.chegg.com
Solved 29. The drug concentration in the bloodstream t hours What Is The Drug Concentration After 3 Hours Multiply by the initial drug dose (1 g × 0.707). Each iteration reduces the remaining drug amount by 50% (= amount / 2) and adds the average half life period to the total. So, the amount of the drug after 6 hours is 0.71 g. After 6 hours, the patient still has ~0.71 g of adderall in their bloodstream. Easily. What Is The Drug Concentration After 3 Hours.
From www.chegg.com
Solved A patient is injected with a drug every 12 hours. What Is The Drug Concentration After 3 Hours So, the amount of the drug after 6 hours is 0.71 g. Each iteration reduces the remaining drug amount by 50% (= amount / 2) and adds the average half life period to the total. Easily save or share it! Multiply by the initial drug dose (1 g × 0.707). This calculator estimates how long it takes for a drug. What Is The Drug Concentration After 3 Hours.
From www.slideserve.com
PPT Practical PowerPoint Presentation ID578813 What Is The Drug Concentration After 3 Hours So, the amount of the drug after 6 hours is 0.71 g. After 6 hours, the patient still has ~0.71 g of adderall in their bloodstream. Multiply by the initial drug dose (1 g × 0.707). This calculator estimates how long it takes for a drug to leave the body. Easily save or share it! Each iteration reduces the remaining. What Is The Drug Concentration After 3 Hours.
From www.coursehero.com
[Solved] 1. Calculate the drug concentration 8 hours after a continuous What Is The Drug Concentration After 3 Hours Multiply by the initial drug dose (1 g × 0.707). It is very easy to use and the result is. Each iteration reduces the remaining drug amount by 50% (= amount / 2) and adds the average half life period to the total. After 6 hours, the patient still has ~0.71 g of adderall in their bloodstream. Easily save or. What Is The Drug Concentration After 3 Hours.
From www.coursehero.com
[Solved] 1. Calculate the drug concentration 8 hours after a continuous What Is The Drug Concentration After 3 Hours Each iteration reduces the remaining drug amount by 50% (= amount / 2) and adds the average half life period to the total. So, the amount of the drug after 6 hours is 0.71 g. Easily save or share it! After 6 hours, the patient still has ~0.71 g of adderall in their bloodstream. Multiply by the initial drug dose. What Is The Drug Concentration After 3 Hours.