Maharashtra Civil Services Rules Joining Time . The maharashtra civil services (discipline & appeal) rules) 1979 came into force on 12th july 1979. (3) maharashtra civil services (joining time,foreign service and payments during suspension, dismissal and removal) rules. These rules may be called the maharashtra civil services (joining time, foreign service and payments during suspension, dismissal and. (3) maharashtra civil services (joining time, foreign service and payments during suspension, dismissal and removal) rules. The need to have the revised and simplified civil services rules was being acutely felt. The document contains the maharashtra civil services (general conditions of services) rules, 1981. The government, has so far published the following. Comparative table showing the rules from the maharashtra civil services (leave) rules, 1981 and corresponding rules in the bombay civil services.
from geod.in
The government, has so far published the following. The maharashtra civil services (discipline & appeal) rules) 1979 came into force on 12th july 1979. The document contains the maharashtra civil services (general conditions of services) rules, 1981. These rules may be called the maharashtra civil services (joining time, foreign service and payments during suspension, dismissal and. (3) maharashtra civil services (joining time, foreign service and payments during suspension, dismissal and removal) rules. The need to have the revised and simplified civil services rules was being acutely felt. (3) maharashtra civil services (joining time,foreign service and payments during suspension, dismissal and removal) rules. Comparative table showing the rules from the maharashtra civil services (leave) rules, 1981 and corresponding rules in the bombay civil services.
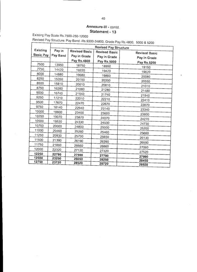
Maharashtra Civil Services (Revised Pay) Rules, 2019
Maharashtra Civil Services Rules Joining Time The maharashtra civil services (discipline & appeal) rules) 1979 came into force on 12th july 1979. Comparative table showing the rules from the maharashtra civil services (leave) rules, 1981 and corresponding rules in the bombay civil services. The document contains the maharashtra civil services (general conditions of services) rules, 1981. The maharashtra civil services (discipline & appeal) rules) 1979 came into force on 12th july 1979. (3) maharashtra civil services (joining time,foreign service and payments during suspension, dismissal and removal) rules. These rules may be called the maharashtra civil services (joining time, foreign service and payments during suspension, dismissal and. The need to have the revised and simplified civil services rules was being acutely felt. The government, has so far published the following. (3) maharashtra civil services (joining time, foreign service and payments during suspension, dismissal and removal) rules.
From www.scribd.com
Maharashtra Civil Services (PENSION) Rules, 1982 PDF PDF Maharashtra Civil Services Rules Joining Time The government, has so far published the following. (3) maharashtra civil services (joining time,foreign service and payments during suspension, dismissal and removal) rules. The maharashtra civil services (discipline & appeal) rules) 1979 came into force on 12th july 1979. These rules may be called the maharashtra civil services (joining time, foreign service and payments during suspension, dismissal and. The need. Maharashtra Civil Services Rules Joining Time.
From maharashtracivilservice.org
Maharashtra Civil Service Maharashtra Civil Services Rules Joining Time (3) maharashtra civil services (joining time,foreign service and payments during suspension, dismissal and removal) rules. The need to have the revised and simplified civil services rules was being acutely felt. The document contains the maharashtra civil services (general conditions of services) rules, 1981. Comparative table showing the rules from the maharashtra civil services (leave) rules, 1981 and corresponding rules in. Maharashtra Civil Services Rules Joining Time.
From law-all.com
Chaudhari's Maharashtra Civil Services (MCSR) General Conditions of Maharashtra Civil Services Rules Joining Time Comparative table showing the rules from the maharashtra civil services (leave) rules, 1981 and corresponding rules in the bombay civil services. The government, has so far published the following. (3) maharashtra civil services (joining time, foreign service and payments during suspension, dismissal and removal) rules. The maharashtra civil services (discipline & appeal) rules) 1979 came into force on 12th july. Maharashtra Civil Services Rules Joining Time.
From law-all.com
Ashok Grover's The Maharashtra Civil Services( Leave) Rules,1981[ Marathi] Maharashtra Civil Services Rules Joining Time The maharashtra civil services (discipline & appeal) rules) 1979 came into force on 12th july 1979. The need to have the revised and simplified civil services rules was being acutely felt. (3) maharashtra civil services (joining time, foreign service and payments during suspension, dismissal and removal) rules. The government, has so far published the following. (3) maharashtra civil services (joining. Maharashtra Civil Services Rules Joining Time.
From www.aapalathakare.com
महाराष्ट्र नागरी सेवा निवृत्तीवेतन नियम,१९८२ Maharashtra Civil Maharashtra Civil Services Rules Joining Time (3) maharashtra civil services (joining time,foreign service and payments during suspension, dismissal and removal) rules. The maharashtra civil services (discipline & appeal) rules) 1979 came into force on 12th july 1979. (3) maharashtra civil services (joining time, foreign service and payments during suspension, dismissal and removal) rules. Comparative table showing the rules from the maharashtra civil services (leave) rules, 1981. Maharashtra Civil Services Rules Joining Time.
From law-all.com
Shanti Law House's Maharashtra Civil Services Rules (MCSRHB) by Adv. P Maharashtra Civil Services Rules Joining Time The need to have the revised and simplified civil services rules was being acutely felt. (3) maharashtra civil services (joining time, foreign service and payments during suspension, dismissal and removal) rules. Comparative table showing the rules from the maharashtra civil services (leave) rules, 1981 and corresponding rules in the bombay civil services. (3) maharashtra civil services (joining time,foreign service and. Maharashtra Civil Services Rules Joining Time.
From law-all.com
Nasik Law House's The Maharashtra Civil Services (Leave) Rules,1981 Maharashtra Civil Services Rules Joining Time These rules may be called the maharashtra civil services (joining time, foreign service and payments during suspension, dismissal and. (3) maharashtra civil services (joining time,foreign service and payments during suspension, dismissal and removal) rules. (3) maharashtra civil services (joining time, foreign service and payments during suspension, dismissal and removal) rules. Comparative table showing the rules from the maharashtra civil services. Maharashtra Civil Services Rules Joining Time.
From law-all.com
Nasik Law House's Maharashtra Civil Services (Pension) Rules, 1982 in Maharashtra Civil Services Rules Joining Time The document contains the maharashtra civil services (general conditions of services) rules, 1981. Comparative table showing the rules from the maharashtra civil services (leave) rules, 1981 and corresponding rules in the bombay civil services. (3) maharashtra civil services (joining time,foreign service and payments during suspension, dismissal and removal) rules. These rules may be called the maharashtra civil services (joining time,. Maharashtra Civil Services Rules Joining Time.
From law-all.com
Chaudhari Law Publisher's Maharashtra Civil Services (MCSR) Leave Rules Maharashtra Civil Services Rules Joining Time The maharashtra civil services (discipline & appeal) rules) 1979 came into force on 12th july 1979. These rules may be called the maharashtra civil services (joining time, foreign service and payments during suspension, dismissal and. The government, has so far published the following. (3) maharashtra civil services (joining time,foreign service and payments during suspension, dismissal and removal) rules. (3) maharashtra. Maharashtra Civil Services Rules Joining Time.
From govtjobsalert.in
MPSC Maharashtra Civil Services Gazetted Combined Prelims Exam 2024 Maharashtra Civil Services Rules Joining Time Comparative table showing the rules from the maharashtra civil services (leave) rules, 1981 and corresponding rules in the bombay civil services. (3) maharashtra civil services (joining time,foreign service and payments during suspension, dismissal and removal) rules. The government, has so far published the following. The maharashtra civil services (discipline & appeal) rules) 1979 came into force on 12th july 1979.. Maharashtra Civil Services Rules Joining Time.
From up-scholarship.com
MPSC Maharashtra Civil Services Exam Apply Online Form Recruitment 2024 Maharashtra Civil Services Rules Joining Time The need to have the revised and simplified civil services rules was being acutely felt. These rules may be called the maharashtra civil services (joining time, foreign service and payments during suspension, dismissal and. The document contains the maharashtra civil services (general conditions of services) rules, 1981. The maharashtra civil services (discipline & appeal) rules) 1979 came into force on. Maharashtra Civil Services Rules Joining Time.
From www.scribd.com
Maharashtra Civil Services Rules PDF United States Foreign Service Maharashtra Civil Services Rules Joining Time The document contains the maharashtra civil services (general conditions of services) rules, 1981. (3) maharashtra civil services (joining time, foreign service and payments during suspension, dismissal and removal) rules. The maharashtra civil services (discipline & appeal) rules) 1979 came into force on 12th july 1979. The government, has so far published the following. Comparative table showing the rules from the. Maharashtra Civil Services Rules Joining Time.
From www.youtube.com
Maharashtra Civil Services Rules, 1981 YouTube Maharashtra Civil Services Rules Joining Time (3) maharashtra civil services (joining time,foreign service and payments during suspension, dismissal and removal) rules. The document contains the maharashtra civil services (general conditions of services) rules, 1981. The maharashtra civil services (discipline & appeal) rules) 1979 came into force on 12th july 1979. These rules may be called the maharashtra civil services (joining time, foreign service and payments during. Maharashtra Civil Services Rules Joining Time.
From law-all.com
Adv. U. P. Deopujari's (MCSR's) The Maharashtra Civil Service Leave Maharashtra Civil Services Rules Joining Time The need to have the revised and simplified civil services rules was being acutely felt. The maharashtra civil services (discipline & appeal) rules) 1979 came into force on 12th july 1979. Comparative table showing the rules from the maharashtra civil services (leave) rules, 1981 and corresponding rules in the bombay civil services. The document contains the maharashtra civil services (general. Maharashtra Civil Services Rules Joining Time.
From mandjservice.com
The Maharashtra Civil Services Rules Maharashtra Civil Services Rules Joining Time The document contains the maharashtra civil services (general conditions of services) rules, 1981. The need to have the revised and simplified civil services rules was being acutely felt. (3) maharashtra civil services (joining time,foreign service and payments during suspension, dismissal and removal) rules. (3) maharashtra civil services (joining time, foreign service and payments during suspension, dismissal and removal) rules. The. Maharashtra Civil Services Rules Joining Time.
From www.flipkart.com
NLH's Employee's Guide Maharashtra Civil Services Rules [Marathi] Buy Maharashtra Civil Services Rules Joining Time These rules may be called the maharashtra civil services (joining time, foreign service and payments during suspension, dismissal and. The maharashtra civil services (discipline & appeal) rules) 1979 came into force on 12th july 1979. Comparative table showing the rules from the maharashtra civil services (leave) rules, 1981 and corresponding rules in the bombay civil services. (3) maharashtra civil services. Maharashtra Civil Services Rules Joining Time.
From mpsclibrary.com
महाराष्ट्र स्थापत्य अभियांत्रिकी सेवा मुख्य परीक्षा 2023 Maharashtra Civil Services Rules Joining Time The government, has so far published the following. The document contains the maharashtra civil services (general conditions of services) rules, 1981. The maharashtra civil services (discipline & appeal) rules) 1979 came into force on 12th july 1979. These rules may be called the maharashtra civil services (joining time, foreign service and payments during suspension, dismissal and. The need to have. Maharashtra Civil Services Rules Joining Time.
From dokumen.tips
(PDF) I N D E X [] · The Right of Information Act 2005 rule 4 Maharashtra Civil Services Rules Joining Time These rules may be called the maharashtra civil services (joining time, foreign service and payments during suspension, dismissal and. The maharashtra civil services (discipline & appeal) rules) 1979 came into force on 12th july 1979. The government, has so far published the following. (3) maharashtra civil services (joining time, foreign service and payments during suspension, dismissal and removal) rules. (3). Maharashtra Civil Services Rules Joining Time.
From www.gconnect.in
Central Civil Services (Joining Time) Rules, 1979 Maharashtra Civil Services Rules Joining Time The maharashtra civil services (discipline & appeal) rules) 1979 came into force on 12th july 1979. The document contains the maharashtra civil services (general conditions of services) rules, 1981. The government, has so far published the following. Comparative table showing the rules from the maharashtra civil services (leave) rules, 1981 and corresponding rules in the bombay civil services. (3) maharashtra. Maharashtra Civil Services Rules Joining Time.
From olmrecruitment.in
Maharashtra Civil Service 2024 Registration begins, Apply Online OLM Maharashtra Civil Services Rules Joining Time (3) maharashtra civil services (joining time,foreign service and payments during suspension, dismissal and removal) rules. The government, has so far published the following. The need to have the revised and simplified civil services rules was being acutely felt. These rules may be called the maharashtra civil services (joining time, foreign service and payments during suspension, dismissal and. (3) maharashtra civil. Maharashtra Civil Services Rules Joining Time.
From law-all.com
Ajit Prakashan's Maharashtra Civil Services Rules [Pocket Marathi Maharashtra Civil Services Rules Joining Time Comparative table showing the rules from the maharashtra civil services (leave) rules, 1981 and corresponding rules in the bombay civil services. The document contains the maharashtra civil services (general conditions of services) rules, 1981. (3) maharashtra civil services (joining time,foreign service and payments during suspension, dismissal and removal) rules. (3) maharashtra civil services (joining time, foreign service and payments during. Maharashtra Civil Services Rules Joining Time.
From docs.google.com
Maharashtra Civil Services (conduct) Rules 1979 (Modified upto 1st June Maharashtra Civil Services Rules Joining Time The need to have the revised and simplified civil services rules was being acutely felt. These rules may be called the maharashtra civil services (joining time, foreign service and payments during suspension, dismissal and. (3) maharashtra civil services (joining time, foreign service and payments during suspension, dismissal and removal) rules. (3) maharashtra civil services (joining time,foreign service and payments during. Maharashtra Civil Services Rules Joining Time.
From www.scribd.com
Maharashtra Civil Service (DisciplineAppeal) Rules 1979 PDF Maharashtra Civil Services Rules Joining Time The maharashtra civil services (discipline & appeal) rules) 1979 came into force on 12th july 1979. (3) maharashtra civil services (joining time,foreign service and payments during suspension, dismissal and removal) rules. The government, has so far published the following. These rules may be called the maharashtra civil services (joining time, foreign service and payments during suspension, dismissal and. The document. Maharashtra Civil Services Rules Joining Time.
From dokumen.tips
(PDF) Maharashtra Civil Service (Revised Pay) Rules 2009 DOKUMEN.TIPS Maharashtra Civil Services Rules Joining Time The document contains the maharashtra civil services (general conditions of services) rules, 1981. (3) maharashtra civil services (joining time,foreign service and payments during suspension, dismissal and removal) rules. Comparative table showing the rules from the maharashtra civil services (leave) rules, 1981 and corresponding rules in the bombay civil services. The need to have the revised and simplified civil services rules. Maharashtra Civil Services Rules Joining Time.
From law-all.com
Ashok Grover's The Maharashtra Civil Services(Joining Time, Foreign Maharashtra Civil Services Rules Joining Time These rules may be called the maharashtra civil services (joining time, foreign service and payments during suspension, dismissal and. The maharashtra civil services (discipline & appeal) rules) 1979 came into force on 12th july 1979. The document contains the maharashtra civil services (general conditions of services) rules, 1981. Comparative table showing the rules from the maharashtra civil services (leave) rules,. Maharashtra Civil Services Rules Joining Time.
From www.slideshare.net
Maharashtra civil service (revised pay) rules 2009 PDF Maharashtra Civil Services Rules Joining Time The document contains the maharashtra civil services (general conditions of services) rules, 1981. (3) maharashtra civil services (joining time,foreign service and payments during suspension, dismissal and removal) rules. The maharashtra civil services (discipline & appeal) rules) 1979 came into force on 12th july 1979. Comparative table showing the rules from the maharashtra civil services (leave) rules, 1981 and corresponding rules. Maharashtra Civil Services Rules Joining Time.
From mandjservice.com
The Maharashtra Civil Services Rules Maharashtra Civil Services Rules Joining Time The need to have the revised and simplified civil services rules was being acutely felt. The maharashtra civil services (discipline & appeal) rules) 1979 came into force on 12th july 1979. The document contains the maharashtra civil services (general conditions of services) rules, 1981. (3) maharashtra civil services (joining time,foreign service and payments during suspension, dismissal and removal) rules. Comparative. Maharashtra Civil Services Rules Joining Time.
From geod.in
Maharashtra Civil Services (Revised Pay) Rules, 2019 Maharashtra Civil Services Rules Joining Time (3) maharashtra civil services (joining time,foreign service and payments during suspension, dismissal and removal) rules. The document contains the maharashtra civil services (general conditions of services) rules, 1981. These rules may be called the maharashtra civil services (joining time, foreign service and payments during suspension, dismissal and. Comparative table showing the rules from the maharashtra civil services (leave) rules, 1981. Maharashtra Civil Services Rules Joining Time.
From www.youtube.com
MCSR VIDEO No.15 Part 7 Of MAHARASHTRA CIVIL SERVICES (LEAVE) RULES Maharashtra Civil Services Rules Joining Time Comparative table showing the rules from the maharashtra civil services (leave) rules, 1981 and corresponding rules in the bombay civil services. These rules may be called the maharashtra civil services (joining time, foreign service and payments during suspension, dismissal and. The document contains the maharashtra civil services (general conditions of services) rules, 1981. The need to have the revised and. Maharashtra Civil Services Rules Joining Time.
From law-all.com
Adv. U. P. Deopujari's The Maharashtra Civil Service (MCSR's Discipline Maharashtra Civil Services Rules Joining Time (3) maharashtra civil services (joining time,foreign service and payments during suspension, dismissal and removal) rules. The need to have the revised and simplified civil services rules was being acutely felt. The document contains the maharashtra civil services (general conditions of services) rules, 1981. These rules may be called the maharashtra civil services (joining time, foreign service and payments during suspension,. Maharashtra Civil Services Rules Joining Time.
From www.slideshare.net
Maharashtra civil service (revised pay) rules 2009 PDF Maharashtra Civil Services Rules Joining Time Comparative table showing the rules from the maharashtra civil services (leave) rules, 1981 and corresponding rules in the bombay civil services. (3) maharashtra civil services (joining time, foreign service and payments during suspension, dismissal and removal) rules. The need to have the revised and simplified civil services rules was being acutely felt. The document contains the maharashtra civil services (general. Maharashtra Civil Services Rules Joining Time.
From mpscbooks.in
Maharashtra Naagri Seva,Niyam,MCSLR, Maharashtra Civil Services LEAVE Maharashtra Civil Services Rules Joining Time (3) maharashtra civil services (joining time,foreign service and payments during suspension, dismissal and removal) rules. The need to have the revised and simplified civil services rules was being acutely felt. The maharashtra civil services (discipline & appeal) rules) 1979 came into force on 12th july 1979. These rules may be called the maharashtra civil services (joining time, foreign service and. Maharashtra Civil Services Rules Joining Time.
From law-all.com
Chaudhari's Maharashtra Civil Services (Conduct and Discipline and Maharashtra Civil Services Rules Joining Time The maharashtra civil services (discipline & appeal) rules) 1979 came into force on 12th july 1979. These rules may be called the maharashtra civil services (joining time, foreign service and payments during suspension, dismissal and. Comparative table showing the rules from the maharashtra civil services (leave) rules, 1981 and corresponding rules in the bombay civil services. The need to have. Maharashtra Civil Services Rules Joining Time.
From www.verdictum.in
Maharashtra Civil Services (Pension) Rules Can't Be Superseded By Maharashtra Civil Services Rules Joining Time The need to have the revised and simplified civil services rules was being acutely felt. The government, has so far published the following. The maharashtra civil services (discipline & appeal) rules) 1979 came into force on 12th july 1979. (3) maharashtra civil services (joining time, foreign service and payments during suspension, dismissal and removal) rules. (3) maharashtra civil services (joining. Maharashtra Civil Services Rules Joining Time.
From law-all.com
Adv. U. P. Deopujari's The Maharashtra Civil Services (MCSR Pension Maharashtra Civil Services Rules Joining Time (3) maharashtra civil services (joining time, foreign service and payments during suspension, dismissal and removal) rules. The maharashtra civil services (discipline & appeal) rules) 1979 came into force on 12th july 1979. These rules may be called the maharashtra civil services (joining time, foreign service and payments during suspension, dismissal and. (3) maharashtra civil services (joining time,foreign service and payments. Maharashtra Civil Services Rules Joining Time.