Scoops Job Application . 25 scoops ice cream jobs available on indeed.com. Scoops ice cream & grille. Employment application (page 2) share a couple of sentences why you want to work at scoops and what special abilities make you a good candidate for. We're looking for enthusiastic people who enjoy being around others and working as part of a team. I certify that my answers are true and complete to the. We are looking for someone like you. Search 53 scoops jobs now available in ontario on indeed.com, the world's largest job site. Please print the online application to start your interview process. Apply to crew member, barista, team member and more! Find out what works well at scoops ice cream from the people who know best. Follow all the direction on the application and complete it in its entirety. Get the inside scoop on jobs, salaries, top office locations, and ceo. If getting paid to work with ice cream sounds like a great way to spend some of your time this.
from www.thejenkinsinstitute.com
Find out what works well at scoops ice cream from the people who know best. I certify that my answers are true and complete to the. Follow all the direction on the application and complete it in its entirety. Employment application (page 2) share a couple of sentences why you want to work at scoops and what special abilities make you a good candidate for. We're looking for enthusiastic people who enjoy being around others and working as part of a team. Get the inside scoop on jobs, salaries, top office locations, and ceo. Search 53 scoops jobs now available in ontario on indeed.com, the world's largest job site. Please print the online application to start your interview process. We are looking for someone like you. If getting paid to work with ice cream sounds like a great way to spend some of your time this.
SCOOPS Job postings here — The Jenkins Institute
Scoops Job Application We are looking for someone like you. Search 53 scoops jobs now available in ontario on indeed.com, the world's largest job site. Please print the online application to start your interview process. Get the inside scoop on jobs, salaries, top office locations, and ceo. Employment application (page 2) share a couple of sentences why you want to work at scoops and what special abilities make you a good candidate for. Follow all the direction on the application and complete it in its entirety. If getting paid to work with ice cream sounds like a great way to spend some of your time this. I certify that my answers are true and complete to the. 25 scoops ice cream jobs available on indeed.com. We're looking for enthusiastic people who enjoy being around others and working as part of a team. Scoops ice cream & grille. We are looking for someone like you. Apply to crew member, barista, team member and more! Find out what works well at scoops ice cream from the people who know best.
From scoop.upworthy.com
Job seeker gets rejection email midinterview with 'awkward' silences Scoops Job Application We are looking for someone like you. Follow all the direction on the application and complete it in its entirety. Search 53 scoops jobs now available in ontario on indeed.com, the world's largest job site. Find out what works well at scoops ice cream from the people who know best. Scoops ice cream & grille. We're looking for enthusiastic people. Scoops Job Application.
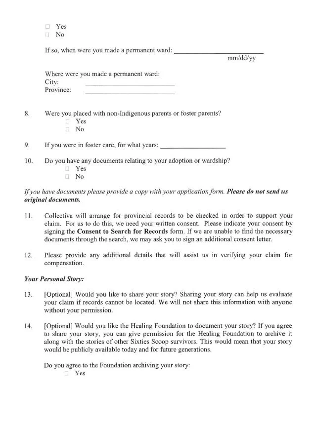
From www.tla-o-qui-aht.org
60's scoop Application forms — Tlaoquiaht First Nation Scoops Job Application We're looking for enthusiastic people who enjoy being around others and working as part of a team. We are looking for someone like you. Get the inside scoop on jobs, salaries, top office locations, and ceo. Scoops ice cream & grille. Search 53 scoops jobs now available in ontario on indeed.com, the world's largest job site. Please print the online. Scoops Job Application.
From templatelab.com
30 Readytouse Scope of Work Templates & Examples Scoops Job Application We're looking for enthusiastic people who enjoy being around others and working as part of a team. Find out what works well at scoops ice cream from the people who know best. Employment application (page 2) share a couple of sentences why you want to work at scoops and what special abilities make you a good candidate for. Apply to. Scoops Job Application.
From www.thejenkinsinstitute.com
SCOOPS Job postings here — The Jenkins Institute Scoops Job Application If getting paid to work with ice cream sounds like a great way to spend some of your time this. 25 scoops ice cream jobs available on indeed.com. Employment application (page 2) share a couple of sentences why you want to work at scoops and what special abilities make you a good candidate for. We're looking for enthusiastic people who. Scoops Job Application.
From www.tla-o-qui-aht.org
60's scoop Application forms — Tlaoquiaht First Nation Scoops Job Application Please print the online application to start your interview process. Get the inside scoop on jobs, salaries, top office locations, and ceo. 25 scoops ice cream jobs available on indeed.com. Find out what works well at scoops ice cream from the people who know best. We are looking for someone like you. Apply to crew member, barista, team member and. Scoops Job Application.
From www.itskirsty.com
Kirsty Tamayo Employment Design Graphic & site Design Scoops Job Application Follow all the direction on the application and complete it in its entirety. If getting paid to work with ice cream sounds like a great way to spend some of your time this. Scoops ice cream & grille. Please print the online application to start your interview process. 25 scoops ice cream jobs available on indeed.com. We're looking for enthusiastic. Scoops Job Application.
From www.pinterest.com
JobClassified's got the scoop on jobs and work in Calgary. Pick up Scoops Job Application 25 scoops ice cream jobs available on indeed.com. Employment application (page 2) share a couple of sentences why you want to work at scoops and what special abilities make you a good candidate for. Scoops ice cream & grille. Search 53 scoops jobs now available in ontario on indeed.com, the world's largest job site. Get the inside scoop on jobs,. Scoops Job Application.
From www.seward.com
Double Scoops Ice Cream Social & Job Fair Scoops Job Application Please print the online application to start your interview process. I certify that my answers are true and complete to the. Find out what works well at scoops ice cream from the people who know best. Employment application (page 2) share a couple of sentences why you want to work at scoops and what special abilities make you a good. Scoops Job Application.
From www.pinterest.ca
Get the scoop on work in this week's issue of EmploymentNews North Scoops Job Application Please print the online application to start your interview process. If getting paid to work with ice cream sounds like a great way to spend some of your time this. Scoops ice cream & grille. Find out what works well at scoops ice cream from the people who know best. Get the inside scoop on jobs, salaries, top office locations,. Scoops Job Application.
From www.tla-o-qui-aht.org
60's scoop Application forms — Tlaoquiaht First Nation Scoops Job Application Employment application (page 2) share a couple of sentences why you want to work at scoops and what special abilities make you a good candidate for. Find out what works well at scoops ice cream from the people who know best. Search 53 scoops jobs now available in ontario on indeed.com, the world's largest job site. 25 scoops ice cream. Scoops Job Application.
From www.hindustantimes.com
‘Scoop’ series HC refuses to grant urgent reliefs to Chhota Rajan Scoops Job Application Search 53 scoops jobs now available in ontario on indeed.com, the world's largest job site. Please print the online application to start your interview process. Apply to crew member, barista, team member and more! Follow all the direction on the application and complete it in its entirety. I certify that my answers are true and complete to the. 25 scoops. Scoops Job Application.
From www.qwikresume.com
Canteen Manager Resume Samples QwikResume Scoops Job Application Follow all the direction on the application and complete it in its entirety. Employment application (page 2) share a couple of sentences why you want to work at scoops and what special abilities make you a good candidate for. Scoops ice cream & grille. Find out what works well at scoops ice cream from the people who know best. We're. Scoops Job Application.
From thelakewoodscoop.com
From Application to Acceptance and Beyond The Lakewood Scoop Scoops Job Application We're looking for enthusiastic people who enjoy being around others and working as part of a team. Search 53 scoops jobs now available in ontario on indeed.com, the world's largest job site. I certify that my answers are true and complete to the. If getting paid to work with ice cream sounds like a great way to spend some of. Scoops Job Application.
From dixietech.edu
Get the Scoop Dixie Technical College Scoops Job Application Follow all the direction on the application and complete it in its entirety. We are looking for someone like you. Apply to crew member, barista, team member and more! Scoops ice cream & grille. If getting paid to work with ice cream sounds like a great way to spend some of your time this. Get the inside scoop on jobs,. Scoops Job Application.
From www.tla-o-qui-aht.org
60's scoop Application forms — Tlaoquiaht First Nation Scoops Job Application Scoops ice cream & grille. We are looking for someone like you. Please print the online application to start your interview process. Apply to crew member, barista, team member and more! Employment application (page 2) share a couple of sentences why you want to work at scoops and what special abilities make you a good candidate for. We're looking for. Scoops Job Application.
From www.wpri.com
Top Scoops 2022 Nomination Promo Pack Scoops Job Application Follow all the direction on the application and complete it in its entirety. We are looking for someone like you. If getting paid to work with ice cream sounds like a great way to spend some of your time this. We're looking for enthusiastic people who enjoy being around others and working as part of a team. Search 53 scoops. Scoops Job Application.
From thescoopmainstreet.com
Menu — The Scoop Scoops Job Application Employment application (page 2) share a couple of sentences why you want to work at scoops and what special abilities make you a good candidate for. Please print the online application to start your interview process. 25 scoops ice cream jobs available on indeed.com. If getting paid to work with ice cream sounds like a great way to spend some. Scoops Job Application.
From exoaizhgo.blob.core.windows.net
Lutz Scoops Hiring at Mary Kennedy blog Scoops Job Application 25 scoops ice cream jobs available on indeed.com. Search 53 scoops jobs now available in ontario on indeed.com, the world's largest job site. Get the inside scoop on jobs, salaries, top office locations, and ceo. Please print the online application to start your interview process. I certify that my answers are true and complete to the. Follow all the direction. Scoops Job Application.
From www.cobbk12.org
The Inside Scoop Employment Opportunities in Cobb Schools Scoops Job Application 25 scoops ice cream jobs available on indeed.com. Follow all the direction on the application and complete it in its entirety. We're looking for enthusiastic people who enjoy being around others and working as part of a team. Get the inside scoop on jobs, salaries, top office locations, and ceo. Search 53 scoops jobs now available in ontario on indeed.com,. Scoops Job Application.
From exoaizhgo.blob.core.windows.net
Lutz Scoops Hiring at Mary Kennedy blog Scoops Job Application Follow all the direction on the application and complete it in its entirety. Apply to crew member, barista, team member and more! I certify that my answers are true and complete to the. We are looking for someone like you. Employment application (page 2) share a couple of sentences why you want to work at scoops and what special abilities. Scoops Job Application.
From easternscoops.com
Korea to provide maritime training and employment opportunities for Scoops Job Application Find out what works well at scoops ice cream from the people who know best. If getting paid to work with ice cream sounds like a great way to spend some of your time this. Scoops ice cream & grille. Follow all the direction on the application and complete it in its entirety. Search 53 scoops jobs now available in. Scoops Job Application.
From www.zoominfo.com
Identify Passive Job Candidates Ready to Make a Move Scoops Job Application Find out what works well at scoops ice cream from the people who know best. Apply to crew member, barista, team member and more! Get the inside scoop on jobs, salaries, top office locations, and ceo. If getting paid to work with ice cream sounds like a great way to spend some of your time this. We're looking for enthusiastic. Scoops Job Application.
From www.pinterest.com
Employment Application Pet Scoop Scoops Job Application 25 scoops ice cream jobs available on indeed.com. I certify that my answers are true and complete to the. Search 53 scoops jobs now available in ontario on indeed.com, the world's largest job site. Follow all the direction on the application and complete it in its entirety. Scoops ice cream & grille. Find out what works well at scoops ice. Scoops Job Application.
From www.scoopsgrille.com
EMPLOYMENT scoops Scoops Job Application Employment application (page 2) share a couple of sentences why you want to work at scoops and what special abilities make you a good candidate for. 25 scoops ice cream jobs available on indeed.com. Search 53 scoops jobs now available in ontario on indeed.com, the world's largest job site. Follow all the direction on the application and complete it in. Scoops Job Application.
From www.sampleforms.com
FREE 11+ Training Application Forms in PDF MS Word Scoops Job Application We are looking for someone like you. I certify that my answers are true and complete to the. 25 scoops ice cream jobs available on indeed.com. Employment application (page 2) share a couple of sentences why you want to work at scoops and what special abilities make you a good candidate for. Scoops ice cream & grille. Please print the. Scoops Job Application.
From mix166.vn
How to Write a Scope of Work (With SOW Examples & Templates) The Scoops Job Application 25 scoops ice cream jobs available on indeed.com. Follow all the direction on the application and complete it in its entirety. We are looking for someone like you. Scoops ice cream & grille. Apply to crew member, barista, team member and more! Get the inside scoop on jobs, salaries, top office locations, and ceo. We're looking for enthusiastic people who. Scoops Job Application.
From www.tla-o-qui-aht.org
60's scoop Application forms — Tlaoquiaht First Nation Scoops Job Application Employment application (page 2) share a couple of sentences why you want to work at scoops and what special abilities make you a good candidate for. 25 scoops ice cream jobs available on indeed.com. Apply to crew member, barista, team member and more! We're looking for enthusiastic people who enjoy being around others and working as part of a team.. Scoops Job Application.
From www.slideshare.net
Prospecting Cover Letter Scoops Job Application Find out what works well at scoops ice cream from the people who know best. Please print the online application to start your interview process. We're looking for enthusiastic people who enjoy being around others and working as part of a team. Scoops ice cream & grille. Apply to crew member, barista, team member and more! Get the inside scoop. Scoops Job Application.
From templatelab.com
30 Readytouse Scope of Work Templates & Examples Scoops Job Application Follow all the direction on the application and complete it in its entirety. We are looking for someone like you. Scoops ice cream & grille. Find out what works well at scoops ice cream from the people who know best. Employment application (page 2) share a couple of sentences why you want to work at scoops and what special abilities. Scoops Job Application.
From www.thejenkinsinstitute.com
SCOOPS Job postings here — The Jenkins Institute Scoops Job Application Get the inside scoop on jobs, salaries, top office locations, and ceo. We are looking for someone like you. We're looking for enthusiastic people who enjoy being around others and working as part of a team. Employment application (page 2) share a couple of sentences why you want to work at scoops and what special abilities make you a good. Scoops Job Application.
From recruiting.paylocity.com
Pet Scoop Inc Application Successful Scoops Job Application Employment application (page 2) share a couple of sentences why you want to work at scoops and what special abilities make you a good candidate for. Apply to crew member, barista, team member and more! Scoops ice cream & grille. If getting paid to work with ice cream sounds like a great way to spend some of your time this.. Scoops Job Application.
From thelakewoodscoop.com
Lakewood School District Employment Opportunities The Lakewood Scoop Scoops Job Application Get the inside scoop on jobs, salaries, top office locations, and ceo. We are looking for someone like you. Scoops ice cream & grille. Employment application (page 2) share a couple of sentences why you want to work at scoops and what special abilities make you a good candidate for. Please print the online application to start your interview process.. Scoops Job Application.
From www.livecareer.co.uk
Plumber Cover Letter Sample Cover Letter Templates & Examples Scoops Job Application We are looking for someone like you. Employment application (page 2) share a couple of sentences why you want to work at scoops and what special abilities make you a good candidate for. Follow all the direction on the application and complete it in its entirety. We're looking for enthusiastic people who enjoy being around others and working as part. Scoops Job Application.
From www.engineeringnews.co.za
Application specifics to drive new product development Scoops Job Application We are looking for someone like you. Search 53 scoops jobs now available in ontario on indeed.com, the world's largest job site. Follow all the direction on the application and complete it in its entirety. Get the inside scoop on jobs, salaries, top office locations, and ceo. Employment application (page 2) share a couple of sentences why you want to. Scoops Job Application.
From www.allbusinesstemplates.com
Application cover letter newspaper job vacancy Templates at Scoops Job Application We are looking for someone like you. Find out what works well at scoops ice cream from the people who know best. Get the inside scoop on jobs, salaries, top office locations, and ceo. Scoops ice cream & grille. We're looking for enthusiastic people who enjoy being around others and working as part of a team. Search 53 scoops jobs. Scoops Job Application.