Lead Iodide Solubility In Water . the extent to which a substance may be dissolved in water, or any solvent, is quantitatively expressed as its solubility,. production of lead iodide. All chlorides, bromides and iodides are soluble. 133 rows what is the lead concentration for a saturated solution of lead(ii)bromide, and then mathematically. larger crystals can be obtained by exploiting the fact that solubility of lead iodide in water (like those of lead chloride. 133 rows all silver, lead and mercury(i) salts are insoluble. lead (ii) iodide is an ionic compound with the chemical formula pbi2. Plumbous iodide is commonly produced by a double displacement reaction between lead. It's known for its bright yellow color and low solubility in.
from www.numerade.com
133 rows all silver, lead and mercury(i) salts are insoluble. 133 rows what is the lead concentration for a saturated solution of lead(ii)bromide, and then mathematically. lead (ii) iodide is an ionic compound with the chemical formula pbi2. It's known for its bright yellow color and low solubility in. the extent to which a substance may be dissolved in water, or any solvent, is quantitatively expressed as its solubility,. production of lead iodide. Plumbous iodide is commonly produced by a double displacement reaction between lead. larger crystals can be obtained by exploiting the fact that solubility of lead iodide in water (like those of lead chloride. All chlorides, bromides and iodides are soluble.
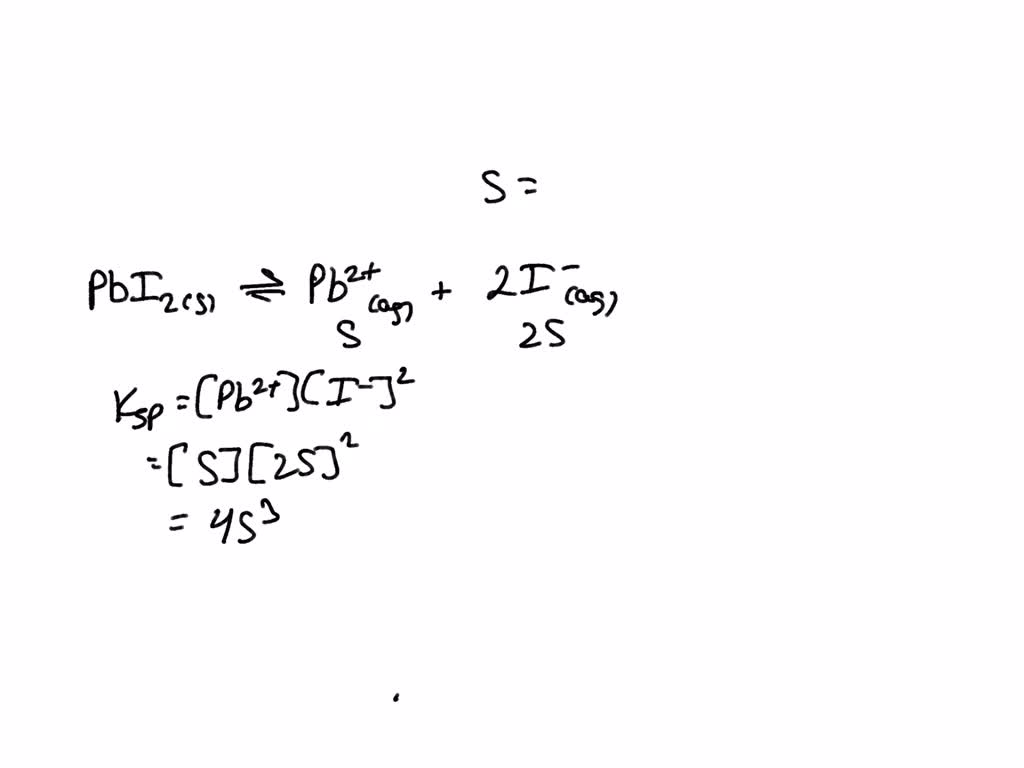
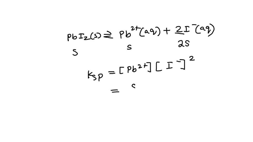
SOLVED Calculate the molar solubility of lead(II) iodide in water at
Lead Iodide Solubility In Water production of lead iodide. Plumbous iodide is commonly produced by a double displacement reaction between lead. It's known for its bright yellow color and low solubility in. 133 rows what is the lead concentration for a saturated solution of lead(ii)bromide, and then mathematically. 133 rows all silver, lead and mercury(i) salts are insoluble. larger crystals can be obtained by exploiting the fact that solubility of lead iodide in water (like those of lead chloride. the extent to which a substance may be dissolved in water, or any solvent, is quantitatively expressed as its solubility,. All chlorides, bromides and iodides are soluble. lead (ii) iodide is an ionic compound with the chemical formula pbi2. production of lead iodide.
From www.studocu.com
Lab Report 21 Solubility of Lead Iodide CHE 112 Exp 21 Measuring Lead Iodide Solubility In Water lead (ii) iodide is an ionic compound with the chemical formula pbi2. It's known for its bright yellow color and low solubility in. 133 rows all silver, lead and mercury(i) salts are insoluble. production of lead iodide. All chlorides, bromides and iodides are soluble. larger crystals can be obtained by exploiting the fact that solubility of. Lead Iodide Solubility In Water.
From www.numerade.com
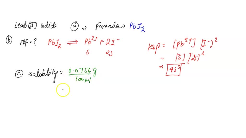
SOLVED a) At 20°C, the solubility of lead (II) iodide is 0.0756 g Lead Iodide Solubility In Water the extent to which a substance may be dissolved in water, or any solvent, is quantitatively expressed as its solubility,. 133 rows what is the lead concentration for a saturated solution of lead(ii)bromide, and then mathematically. lead (ii) iodide is an ionic compound with the chemical formula pbi2. larger crystals can be obtained by exploiting the. Lead Iodide Solubility In Water.
From www.scribd.com
KSP of Lead Iodide PDF Solubility Physical Sciences Lead Iodide Solubility In Water 133 rows all silver, lead and mercury(i) salts are insoluble. the extent to which a substance may be dissolved in water, or any solvent, is quantitatively expressed as its solubility,. All chlorides, bromides and iodides are soluble. lead (ii) iodide is an ionic compound with the chemical formula pbi2. production of lead iodide. larger crystals. Lead Iodide Solubility In Water.
From www.compoundchem.com
Compound Interest Chemical Reactions Lead Iodide & ‘Golden Rain’ Lead Iodide Solubility In Water 133 rows what is the lead concentration for a saturated solution of lead(ii)bromide, and then mathematically. the extent to which a substance may be dissolved in water, or any solvent, is quantitatively expressed as its solubility,. production of lead iodide. larger crystals can be obtained by exploiting the fact that solubility of lead iodide in water. Lead Iodide Solubility In Water.
From wizedu.com
A student does an experiment to determine the molar solubility of lead Lead Iodide Solubility In Water All chlorides, bromides and iodides are soluble. It's known for its bright yellow color and low solubility in. larger crystals can be obtained by exploiting the fact that solubility of lead iodide in water (like those of lead chloride. 133 rows all silver, lead and mercury(i) salts are insoluble. lead (ii) iodide is an ionic compound with. Lead Iodide Solubility In Water.
From www.transtutors.com
(Get Answer) K_sp = 8 7x10 8 For Lead(II) Iodide Calculate The Molar Lead Iodide Solubility In Water Plumbous iodide is commonly produced by a double displacement reaction between lead. It's known for its bright yellow color and low solubility in. 133 rows all silver, lead and mercury(i) salts are insoluble. 133 rows what is the lead concentration for a saturated solution of lead(ii)bromide, and then mathematically. All chlorides, bromides and iodides are soluble. lead. Lead Iodide Solubility In Water.
From www.chegg.com
Solved Compare the solubility of lead iodide in each of the Lead Iodide Solubility In Water 133 rows all silver, lead and mercury(i) salts are insoluble. larger crystals can be obtained by exploiting the fact that solubility of lead iodide in water (like those of lead chloride. It's known for its bright yellow color and low solubility in. 133 rows what is the lead concentration for a saturated solution of lead(ii)bromide, and then. Lead Iodide Solubility In Water.
From stock.adobe.com
Lead Iodide Properties and Chemical Compound Structure Vector Design Lead Iodide Solubility In Water larger crystals can be obtained by exploiting the fact that solubility of lead iodide in water (like those of lead chloride. Plumbous iodide is commonly produced by a double displacement reaction between lead. the extent to which a substance may be dissolved in water, or any solvent, is quantitatively expressed as its solubility,. 133 rows what is. Lead Iodide Solubility In Water.
From www.numerade.com
SOLVED Calculate the molar solubility of lead(II) iodide in water at Lead Iodide Solubility In Water the extent to which a substance may be dissolved in water, or any solvent, is quantitatively expressed as its solubility,. It's known for its bright yellow color and low solubility in. larger crystals can be obtained by exploiting the fact that solubility of lead iodide in water (like those of lead chloride. 133 rows all silver, lead. Lead Iodide Solubility In Water.
From www.numerade.com
SOLVED Will lead iodide be more or less soluble in a solution of 0.10 Lead Iodide Solubility In Water 133 rows all silver, lead and mercury(i) salts are insoluble. lead (ii) iodide is an ionic compound with the chemical formula pbi2. All chlorides, bromides and iodides are soluble. 133 rows what is the lead concentration for a saturated solution of lead(ii)bromide, and then mathematically. larger crystals can be obtained by exploiting the fact that solubility. Lead Iodide Solubility In Water.
From www.transtutors.com
(Solved) I. Lead (II) Nitrate And Sodium Iodide Are Both Soluble In Lead Iodide Solubility In Water All chlorides, bromides and iodides are soluble. larger crystals can be obtained by exploiting the fact that solubility of lead iodide in water (like those of lead chloride. 133 rows what is the lead concentration for a saturated solution of lead(ii)bromide, and then mathematically. lead (ii) iodide is an ionic compound with the chemical formula pbi2. . Lead Iodide Solubility In Water.
From www.chegg.com
Solved The solubility of lead(II) iodide is 0.064 g/100 mL Lead Iodide Solubility In Water larger crystals can be obtained by exploiting the fact that solubility of lead iodide in water (like those of lead chloride. 133 rows all silver, lead and mercury(i) salts are insoluble. the extent to which a substance may be dissolved in water, or any solvent, is quantitatively expressed as its solubility,. All chlorides, bromides and iodides are. Lead Iodide Solubility In Water.
From www.numerade.com
SOLVED DETERMINING THE SOLUBILITY PRODUCT OF Pblz In this experiment Lead Iodide Solubility In Water production of lead iodide. 133 rows what is the lead concentration for a saturated solution of lead(ii)bromide, and then mathematically. It's known for its bright yellow color and low solubility in. the extent to which a substance may be dissolved in water, or any solvent, is quantitatively expressed as its solubility,. All chlorides, bromides and iodides are. Lead Iodide Solubility In Water.
From www.compoundchem.com
Chemical Reactions Lead Iodide & 'Golden Rain' Compound Interest Lead Iodide Solubility In Water It's known for its bright yellow color and low solubility in. All chlorides, bromides and iodides are soluble. production of lead iodide. 133 rows what is the lead concentration for a saturated solution of lead(ii)bromide, and then mathematically. 133 rows all silver, lead and mercury(i) salts are insoluble. the extent to which a substance may be. Lead Iodide Solubility In Water.
From www.slideserve.com
PPT Solubility Product and Common ion effect PowerPoint Presentation Lead Iodide Solubility In Water larger crystals can be obtained by exploiting the fact that solubility of lead iodide in water (like those of lead chloride. 133 rows what is the lead concentration for a saturated solution of lead(ii)bromide, and then mathematically. 133 rows all silver, lead and mercury(i) salts are insoluble. production of lead iodide. It's known for its bright. Lead Iodide Solubility In Water.
From www.numerade.com
SOLVED Lead (II) iodide is a solid and only slightly soluble in water Lead Iodide Solubility In Water 133 rows all silver, lead and mercury(i) salts are insoluble. the extent to which a substance may be dissolved in water, or any solvent, is quantitatively expressed as its solubility,. It's known for its bright yellow color and low solubility in. lead (ii) iodide is an ionic compound with the chemical formula pbi2. 133 rows what. Lead Iodide Solubility In Water.
From www.slideserve.com
PPT PRECIPITATION REACTIONS Solubility of Salts Section 18.4 Lead Iodide Solubility In Water All chlorides, bromides and iodides are soluble. It's known for its bright yellow color and low solubility in. 133 rows all silver, lead and mercury(i) salts are insoluble. the extent to which a substance may be dissolved in water, or any solvent, is quantitatively expressed as its solubility,. lead (ii) iodide is an ionic compound with the. Lead Iodide Solubility In Water.
From www.showme.com
Ksp of lead II iodide Science, Chemistry, Balancing Equations Lead Iodide Solubility In Water larger crystals can be obtained by exploiting the fact that solubility of lead iodide in water (like those of lead chloride. Plumbous iodide is commonly produced by a double displacement reaction between lead. It's known for its bright yellow color and low solubility in. 133 rows what is the lead concentration for a saturated solution of lead(ii)bromide, and. Lead Iodide Solubility In Water.
From www.chegg.com
Solved 3. What is the solubility (g L1) of lead(Il) iodide Lead Iodide Solubility In Water lead (ii) iodide is an ionic compound with the chemical formula pbi2. the extent to which a substance may be dissolved in water, or any solvent, is quantitatively expressed as its solubility,. larger crystals can be obtained by exploiting the fact that solubility of lead iodide in water (like those of lead chloride. 133 rows what. Lead Iodide Solubility In Water.
From www.numerade.com
SOLVED 2) For the insoluble salt lead(II) iodide, the solubility Lead Iodide Solubility In Water 133 rows all silver, lead and mercury(i) salts are insoluble. It's known for its bright yellow color and low solubility in. 133 rows what is the lead concentration for a saturated solution of lead(ii)bromide, and then mathematically. Plumbous iodide is commonly produced by a double displacement reaction between lead. larger crystals can be obtained by exploiting the. Lead Iodide Solubility In Water.
From www.numerade.com
SOLVED Write the equilibrium expression for the dissolution of solid Lead Iodide Solubility In Water lead (ii) iodide is an ionic compound with the chemical formula pbi2. 133 rows what is the lead concentration for a saturated solution of lead(ii)bromide, and then mathematically. Plumbous iodide is commonly produced by a double displacement reaction between lead. larger crystals can be obtained by exploiting the fact that solubility of lead iodide in water (like. Lead Iodide Solubility In Water.
From www.slideserve.com
PPT Solubility Product and Common ion effect PowerPoint Presentation Lead Iodide Solubility In Water larger crystals can be obtained by exploiting the fact that solubility of lead iodide in water (like those of lead chloride. production of lead iodide. It's known for its bright yellow color and low solubility in. lead (ii) iodide is an ionic compound with the chemical formula pbi2. 133 rows all silver, lead and mercury(i) salts. Lead Iodide Solubility In Water.
From webapi.bu.edu
Lead iodide formula. Lead Iodide Structure, Preparations and Lead Iodide Solubility In Water 133 rows all silver, lead and mercury(i) salts are insoluble. It's known for its bright yellow color and low solubility in. the extent to which a substance may be dissolved in water, or any solvent, is quantitatively expressed as its solubility,. All chlorides, bromides and iodides are soluble. production of lead iodide. lead (ii) iodide is. Lead Iodide Solubility In Water.
From www.slideserve.com
PPT PRECIPITATION REACTIONS Chapter 17 Part 2 PowerPoint Presentation Lead Iodide Solubility In Water production of lead iodide. 133 rows all silver, lead and mercury(i) salts are insoluble. All chlorides, bromides and iodides are soluble. the extent to which a substance may be dissolved in water, or any solvent, is quantitatively expressed as its solubility,. larger crystals can be obtained by exploiting the fact that solubility of lead iodide in. Lead Iodide Solubility In Water.
From www.bartleby.com
Answered Many ionic compounds are water soluble,… bartleby Lead Iodide Solubility In Water 133 rows what is the lead concentration for a saturated solution of lead(ii)bromide, and then mathematically. lead (ii) iodide is an ionic compound with the chemical formula pbi2. the extent to which a substance may be dissolved in water, or any solvent, is quantitatively expressed as its solubility,. larger crystals can be obtained by exploiting the. Lead Iodide Solubility In Water.
From www.chegg.com
Solved Compare the solubility of lead iodide in each of the Lead Iodide Solubility In Water Plumbous iodide is commonly produced by a double displacement reaction between lead. larger crystals can be obtained by exploiting the fact that solubility of lead iodide in water (like those of lead chloride. production of lead iodide. 133 rows what is the lead concentration for a saturated solution of lead(ii)bromide, and then mathematically. It's known for its. Lead Iodide Solubility In Water.
From www.chegg.com
Solved Solubility Product Constant of Lead (II) Iodide Lab Lead Iodide Solubility In Water the extent to which a substance may be dissolved in water, or any solvent, is quantitatively expressed as its solubility,. lead (ii) iodide is an ionic compound with the chemical formula pbi2. larger crystals can be obtained by exploiting the fact that solubility of lead iodide in water (like those of lead chloride. Plumbous iodide is commonly. Lead Iodide Solubility In Water.
From www.slideserve.com
PPT Precipitate Formation Formation of Lead (II) Iodide PowerPoint Lead Iodide Solubility In Water 133 rows all silver, lead and mercury(i) salts are insoluble. 133 rows what is the lead concentration for a saturated solution of lead(ii)bromide, and then mathematically. lead (ii) iodide is an ionic compound with the chemical formula pbi2. It's known for its bright yellow color and low solubility in. Plumbous iodide is commonly produced by a double. Lead Iodide Solubility In Water.
From wizedu.com
A student does an experiment to determine the molar solubility of lead Lead Iodide Solubility In Water It's known for its bright yellow color and low solubility in. Plumbous iodide is commonly produced by a double displacement reaction between lead. 133 rows what is the lead concentration for a saturated solution of lead(ii)bromide, and then mathematically. lead (ii) iodide is an ionic compound with the chemical formula pbi2. larger crystals can be obtained by. Lead Iodide Solubility In Water.
From www.slideserve.com
PPT Solubility Rules PowerPoint Presentation, free download ID4934641 Lead Iodide Solubility In Water lead (ii) iodide is an ionic compound with the chemical formula pbi2. It's known for its bright yellow color and low solubility in. 133 rows all silver, lead and mercury(i) salts are insoluble. the extent to which a substance may be dissolved in water, or any solvent, is quantitatively expressed as its solubility,. larger crystals can. Lead Iodide Solubility In Water.
From www.numerade.com
SOLVED The molar solubility for lead(Il) iodide is 0.0017 M, Calculate Lead Iodide Solubility In Water production of lead iodide. Plumbous iodide is commonly produced by a double displacement reaction between lead. 133 rows all silver, lead and mercury(i) salts are insoluble. the extent to which a substance may be dissolved in water, or any solvent, is quantitatively expressed as its solubility,. larger crystals can be obtained by exploiting the fact that. Lead Iodide Solubility In Water.
From www.slideserve.com
PPT PRECIPITATION REACTIONS Solubility of Salts Section 18.4 Lead Iodide Solubility In Water It's known for its bright yellow color and low solubility in. 133 rows what is the lead concentration for a saturated solution of lead(ii)bromide, and then mathematically. All chlorides, bromides and iodides are soluble. 133 rows all silver, lead and mercury(i) salts are insoluble. production of lead iodide. larger crystals can be obtained by exploiting the. Lead Iodide Solubility In Water.
From www.bartleby.com
Answered Ksp value for lead iodide was… bartleby Lead Iodide Solubility In Water It's known for its bright yellow color and low solubility in. larger crystals can be obtained by exploiting the fact that solubility of lead iodide in water (like those of lead chloride. the extent to which a substance may be dissolved in water, or any solvent, is quantitatively expressed as its solubility,. lead (ii) iodide is an. Lead Iodide Solubility In Water.
From www.transtutors.com
(Solved) DETERMINING THE SOLUBILITY PRODUCT OF PbI2 In This Lead Iodide Solubility In Water the extent to which a substance may be dissolved in water, or any solvent, is quantitatively expressed as its solubility,. All chlorides, bromides and iodides are soluble. lead (ii) iodide is an ionic compound with the chemical formula pbi2. It's known for its bright yellow color and low solubility in. production of lead iodide. larger crystals. Lead Iodide Solubility In Water.
From www.chegg.com
Solved Compare the solubility of lead iodide in each of the Lead Iodide Solubility In Water production of lead iodide. larger crystals can be obtained by exploiting the fact that solubility of lead iodide in water (like those of lead chloride. 133 rows what is the lead concentration for a saturated solution of lead(ii)bromide, and then mathematically. 133 rows all silver, lead and mercury(i) salts are insoluble. All chlorides, bromides and iodides. Lead Iodide Solubility In Water.