Calculate Phase Angle Of Impedance . Calculate the impedance, phase angle, resonant frequency, power, power factor, voltage, and/or current in a rlc series circuit. In less than 3 minutes, this video explains the steps to calculate the impedance and phase. How can i use a calculator to find the phase difference and magnitude of a circuit if the circuit has an impedance of, for example, \$z = 5 + 3j\mbox{ }\omega\$. Draw the circuit diagram for an rlc series circuit. The impedance of the device can be calculated by applying a sinusoidal voltage to the device in series with a resistor, and measuring the voltage across the resistor and across the device. Express all voltages in polar notation. Calculate the circuit phase angle based on the voltage drops across the resistor and capacitor. Furthermore, the phase angle may be found; This is essential for uses including impedance matching in rf circuits and power. Compare this to the phase angle that we met earlier in graphs of y = a sin. Use a calculator to convert all voltages to.
from www.numerade.com
This is essential for uses including impedance matching in rf circuits and power. Express all voltages in polar notation. In less than 3 minutes, this video explains the steps to calculate the impedance and phase. Furthermore, the phase angle may be found; Draw the circuit diagram for an rlc series circuit. How can i use a calculator to find the phase difference and magnitude of a circuit if the circuit has an impedance of, for example, \$z = 5 + 3j\mbox{ }\omega\$. Calculate the circuit phase angle based on the voltage drops across the resistor and capacitor. The impedance of the device can be calculated by applying a sinusoidal voltage to the device in series with a resistor, and measuring the voltage across the resistor and across the device. Compare this to the phase angle that we met earlier in graphs of y = a sin. Calculate the impedance, phase angle, resonant frequency, power, power factor, voltage, and/or current in a rlc series circuit.
SOLVED The phase sequence for the 4system of Fig 4(b) is ABC
Calculate Phase Angle Of Impedance Express all voltages in polar notation. Express all voltages in polar notation. In less than 3 minutes, this video explains the steps to calculate the impedance and phase. How can i use a calculator to find the phase difference and magnitude of a circuit if the circuit has an impedance of, for example, \$z = 5 + 3j\mbox{ }\omega\$. Calculate the circuit phase angle based on the voltage drops across the resistor and capacitor. Use a calculator to convert all voltages to. Draw the circuit diagram for an rlc series circuit. The impedance of the device can be calculated by applying a sinusoidal voltage to the device in series with a resistor, and measuring the voltage across the resistor and across the device. Compare this to the phase angle that we met earlier in graphs of y = a sin. Furthermore, the phase angle may be found; Calculate the impedance, phase angle, resonant frequency, power, power factor, voltage, and/or current in a rlc series circuit. This is essential for uses including impedance matching in rf circuits and power.
From www.numerade.com
SOLVED (1) Calculate the (a) total impedance and (b) the phase angle Calculate Phase Angle Of Impedance Draw the circuit diagram for an rlc series circuit. Use a calculator to convert all voltages to. Calculate the impedance, phase angle, resonant frequency, power, power factor, voltage, and/or current in a rlc series circuit. Compare this to the phase angle that we met earlier in graphs of y = a sin. How can i use a calculator to find. Calculate Phase Angle Of Impedance.
From www.chegg.com
Solved Calculate the magnitude and phase angle of the Calculate Phase Angle Of Impedance Compare this to the phase angle that we met earlier in graphs of y = a sin. Use a calculator to convert all voltages to. Calculate the impedance, phase angle, resonant frequency, power, power factor, voltage, and/or current in a rlc series circuit. The impedance of the device can be calculated by applying a sinusoidal voltage to the device in. Calculate Phase Angle Of Impedance.
From istpcsr.edu.pe
sklamanie Vznášať sa Nervové zrútenie how to calculate phase angle Calculate Phase Angle Of Impedance Express all voltages in polar notation. Use a calculator to convert all voltages to. This is essential for uses including impedance matching in rf circuits and power. Furthermore, the phase angle may be found; Calculate the circuit phase angle based on the voltage drops across the resistor and capacitor. In less than 3 minutes, this video explains the steps to. Calculate Phase Angle Of Impedance.
From www.numerade.com
SOLVED 1) A parallel RC circuit with C = 10 F, R = 30.0 is connected Calculate Phase Angle Of Impedance Compare this to the phase angle that we met earlier in graphs of y = a sin. Calculate the impedance, phase angle, resonant frequency, power, power factor, voltage, and/or current in a rlc series circuit. How can i use a calculator to find the phase difference and magnitude of a circuit if the circuit has an impedance of, for example,. Calculate Phase Angle Of Impedance.
From www.teslascientific.com
Phase Angle Calculator Design & Analysis Tesla Scientific Calculate Phase Angle Of Impedance Calculate the impedance, phase angle, resonant frequency, power, power factor, voltage, and/or current in a rlc series circuit. Calculate the circuit phase angle based on the voltage drops across the resistor and capacitor. This is essential for uses including impedance matching in rf circuits and power. Furthermore, the phase angle may be found; How can i use a calculator to. Calculate Phase Angle Of Impedance.
From www.youtube.com
AC series RC circuit Impedance, current, phase angle and power factor Calculate Phase Angle Of Impedance Compare this to the phase angle that we met earlier in graphs of y = a sin. Calculate the circuit phase angle based on the voltage drops across the resistor and capacitor. Express all voltages in polar notation. In less than 3 minutes, this video explains the steps to calculate the impedance and phase. The impedance of the device can. Calculate Phase Angle Of Impedance.
From www.solutionspile.com
[Solved] 10. Determine the impedance magnitude and phase Calculate Phase Angle Of Impedance This is essential for uses including impedance matching in rf circuits and power. Furthermore, the phase angle may be found; Compare this to the phase angle that we met earlier in graphs of y = a sin. Calculate the circuit phase angle based on the voltage drops across the resistor and capacitor. Use a calculator to convert all voltages to.. Calculate Phase Angle Of Impedance.
From www.chegg.com
Solved Calculate The Magnitude And Phase Angle Of The Cir... Calculate Phase Angle Of Impedance How can i use a calculator to find the phase difference and magnitude of a circuit if the circuit has an impedance of, for example, \$z = 5 + 3j\mbox{ }\omega\$. In less than 3 minutes, this video explains the steps to calculate the impedance and phase. Express all voltages in polar notation. This is essential for uses including impedance. Calculate Phase Angle Of Impedance.
From casequoteforge.blogspot.com
View 17 How To Calculate Phase Angle In Rlc Circuit Calculate Phase Angle Of Impedance Express all voltages in polar notation. How can i use a calculator to find the phase difference and magnitude of a circuit if the circuit has an impedance of, for example, \$z = 5 + 3j\mbox{ }\omega\$. In less than 3 minutes, this video explains the steps to calculate the impedance and phase. Draw the circuit diagram for an rlc. Calculate Phase Angle Of Impedance.
From istpcsr.edu.pe
sklamanie Vznášať sa Nervové zrútenie how to calculate phase angle Calculate Phase Angle Of Impedance Furthermore, the phase angle may be found; Compare this to the phase angle that we met earlier in graphs of y = a sin. Use a calculator to convert all voltages to. Calculate the impedance, phase angle, resonant frequency, power, power factor, voltage, and/or current in a rlc series circuit. This is essential for uses including impedance matching in rf. Calculate Phase Angle Of Impedance.
From electronics.stackexchange.com
ac What is the impedance for this parallel rl circuit? Electrical Calculate Phase Angle Of Impedance Calculate the circuit phase angle based on the voltage drops across the resistor and capacitor. How can i use a calculator to find the phase difference and magnitude of a circuit if the circuit has an impedance of, for example, \$z = 5 + 3j\mbox{ }\omega\$. Express all voltages in polar notation. Calculate the impedance, phase angle, resonant frequency, power,. Calculate Phase Angle Of Impedance.
From www.hamradioschool.com
Complex Impedance Part 3 Putting It All Together Calculate Phase Angle Of Impedance Calculate the circuit phase angle based on the voltage drops across the resistor and capacitor. Use a calculator to convert all voltages to. This is essential for uses including impedance matching in rf circuits and power. Draw the circuit diagram for an rlc series circuit. Calculate the impedance, phase angle, resonant frequency, power, power factor, voltage, and/or current in a. Calculate Phase Angle Of Impedance.
From www.youtube.com
Worked examples Phase angle in a series LCR Circuit AC Physics Calculate Phase Angle Of Impedance Calculate the impedance, phase angle, resonant frequency, power, power factor, voltage, and/or current in a rlc series circuit. In less than 3 minutes, this video explains the steps to calculate the impedance and phase. How can i use a calculator to find the phase difference and magnitude of a circuit if the circuit has an impedance of, for example, \$z. Calculate Phase Angle Of Impedance.
From electrical-information.com
RL Parallel Circuit (Impedance, Phasor Diagram) Electrical Information Calculate Phase Angle Of Impedance This is essential for uses including impedance matching in rf circuits and power. The impedance of the device can be calculated by applying a sinusoidal voltage to the device in series with a resistor, and measuring the voltage across the resistor and across the device. Furthermore, the phase angle may be found; How can i use a calculator to find. Calculate Phase Angle Of Impedance.
From www.youtube.com
What is Phase Angle? Graphical and Mathematical representation of Phase Calculate Phase Angle Of Impedance Express all voltages in polar notation. Calculate the impedance, phase angle, resonant frequency, power, power factor, voltage, and/or current in a rlc series circuit. How can i use a calculator to find the phase difference and magnitude of a circuit if the circuit has an impedance of, for example, \$z = 5 + 3j\mbox{ }\omega\$. The impedance of the device. Calculate Phase Angle Of Impedance.
From www.slideserve.com
PPT Chapter 10 PowerPoint Presentation, free download ID1110600 Calculate Phase Angle Of Impedance This is essential for uses including impedance matching in rf circuits and power. In less than 3 minutes, this video explains the steps to calculate the impedance and phase. Compare this to the phase angle that we met earlier in graphs of y = a sin. Calculate the impedance, phase angle, resonant frequency, power, power factor, voltage, and/or current in. Calculate Phase Angle Of Impedance.
From www.chegg.com
Solved Calculate the magnitude and phase angle of the Calculate Phase Angle Of Impedance Express all voltages in polar notation. Calculate the impedance, phase angle, resonant frequency, power, power factor, voltage, and/or current in a rlc series circuit. In less than 3 minutes, this video explains the steps to calculate the impedance and phase. Compare this to the phase angle that we met earlier in graphs of y = a sin. Calculate the circuit. Calculate Phase Angle Of Impedance.
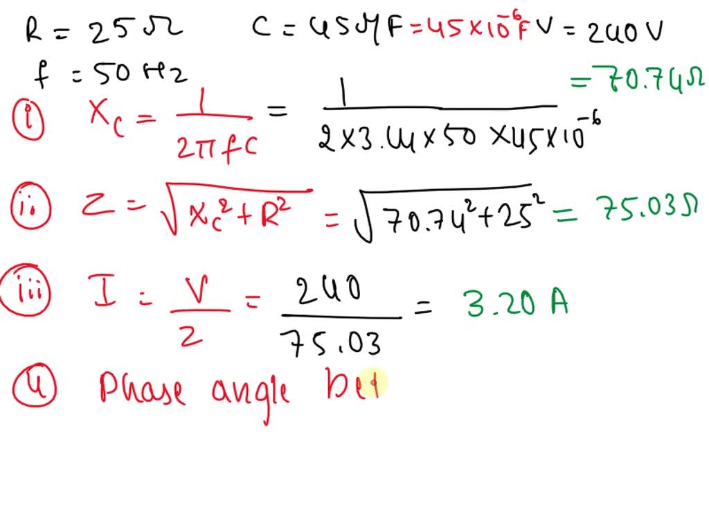
From www.numerade.com
SOLVED A resistor of 25Ω is connected in series with a capacitor of Calculate Phase Angle Of Impedance In less than 3 minutes, this video explains the steps to calculate the impedance and phase. The impedance of the device can be calculated by applying a sinusoidal voltage to the device in series with a resistor, and measuring the voltage across the resistor and across the device. Use a calculator to convert all voltages to. This is essential for. Calculate Phase Angle Of Impedance.
From electrical-information.com
RL Parallel Circuit (Impedance, Phasor Diagram) Electrical Information Calculate Phase Angle Of Impedance Furthermore, the phase angle may be found; Express all voltages in polar notation. Use a calculator to convert all voltages to. Compare this to the phase angle that we met earlier in graphs of y = a sin. Calculate the impedance, phase angle, resonant frequency, power, power factor, voltage, and/or current in a rlc series circuit. How can i use. Calculate Phase Angle Of Impedance.
From www.electricity-magnetism.org
How do you calculate the phase angle between voltage and current in an Calculate Phase Angle Of Impedance This is essential for uses including impedance matching in rf circuits and power. Draw the circuit diagram for an rlc series circuit. Calculate the impedance, phase angle, resonant frequency, power, power factor, voltage, and/or current in a rlc series circuit. Compare this to the phase angle that we met earlier in graphs of y = a sin. The impedance of. Calculate Phase Angle Of Impedance.
From www.circuitdiagram.co
Parallel Rlc Circuit Phase Angle Circuit Diagram Calculate Phase Angle Of Impedance This is essential for uses including impedance matching in rf circuits and power. Draw the circuit diagram for an rlc series circuit. Express all voltages in polar notation. How can i use a calculator to find the phase difference and magnitude of a circuit if the circuit has an impedance of, for example, \$z = 5 + 3j\mbox{ }\omega\$. Calculate. Calculate Phase Angle Of Impedance.
From www.slideserve.com
PPT Chapter 10 PowerPoint Presentation, free download ID1110600 Calculate Phase Angle Of Impedance Calculate the circuit phase angle based on the voltage drops across the resistor and capacitor. Use a calculator to convert all voltages to. Express all voltages in polar notation. Draw the circuit diagram for an rlc series circuit. The impedance of the device can be calculated by applying a sinusoidal voltage to the device in series with a resistor, and. Calculate Phase Angle Of Impedance.
From wiring.ekocraft-appleleaf.com
How To Calculate Phase Angle In Rc Circuit Wiring Diagram Calculate Phase Angle Of Impedance Calculate the impedance, phase angle, resonant frequency, power, power factor, voltage, and/or current in a rlc series circuit. Express all voltages in polar notation. Use a calculator to convert all voltages to. Furthermore, the phase angle may be found; Compare this to the phase angle that we met earlier in graphs of y = a sin. Calculate the circuit phase. Calculate Phase Angle Of Impedance.
From electrical-information.com
RL Series Circuit (Impedance, Phasor Diagram) Electrical Information Calculate Phase Angle Of Impedance This is essential for uses including impedance matching in rf circuits and power. The impedance of the device can be calculated by applying a sinusoidal voltage to the device in series with a resistor, and measuring the voltage across the resistor and across the device. Compare this to the phase angle that we met earlier in graphs of y =. Calculate Phase Angle Of Impedance.
From loetwyxnf.blob.core.windows.net
How To Calculate Phase Angle In Rlc Circuit at Misty Holt blog Calculate Phase Angle Of Impedance Use a calculator to convert all voltages to. This is essential for uses including impedance matching in rf circuits and power. Furthermore, the phase angle may be found; How can i use a calculator to find the phase difference and magnitude of a circuit if the circuit has an impedance of, for example, \$z = 5 + 3j\mbox{ }\omega\$. Calculate. Calculate Phase Angle Of Impedance.
From www.chegg.com
Solved 1.Calculate the impedance per phase for the line and Calculate Phase Angle Of Impedance This is essential for uses including impedance matching in rf circuits and power. The impedance of the device can be calculated by applying a sinusoidal voltage to the device in series with a resistor, and measuring the voltage across the resistor and across the device. Draw the circuit diagram for an rlc series circuit. In less than 3 minutes, this. Calculate Phase Angle Of Impedance.
From www.slideserve.com
PPT Chapter 21 PowerPoint Presentation, free download ID689273 Calculate Phase Angle Of Impedance This is essential for uses including impedance matching in rf circuits and power. Compare this to the phase angle that we met earlier in graphs of y = a sin. Calculate the impedance, phase angle, resonant frequency, power, power factor, voltage, and/or current in a rlc series circuit. In less than 3 minutes, this video explains the steps to calculate. Calculate Phase Angle Of Impedance.
From electrical-information.com
RC Parallel Circuit (Impedance, Phasor Diagram) Electrical Information Calculate Phase Angle Of Impedance Calculate the impedance, phase angle, resonant frequency, power, power factor, voltage, and/or current in a rlc series circuit. Compare this to the phase angle that we met earlier in graphs of y = a sin. Express all voltages in polar notation. How can i use a calculator to find the phase difference and magnitude of a circuit if the circuit. Calculate Phase Angle Of Impedance.
From www.researchgate.net
Impedance spectrum (magnitude and phase angle) of the whole blood Calculate Phase Angle Of Impedance The impedance of the device can be calculated by applying a sinusoidal voltage to the device in series with a resistor, and measuring the voltage across the resistor and across the device. Calculate the impedance, phase angle, resonant frequency, power, power factor, voltage, and/or current in a rlc series circuit. This is essential for uses including impedance matching in rf. Calculate Phase Angle Of Impedance.
From electrical-information.com
RC Parallel Circuit (Impedance, Phasor Diagram) Electrical Information Calculate Phase Angle Of Impedance How can i use a calculator to find the phase difference and magnitude of a circuit if the circuit has an impedance of, for example, \$z = 5 + 3j\mbox{ }\omega\$. The impedance of the device can be calculated by applying a sinusoidal voltage to the device in series with a resistor, and measuring the voltage across the resistor and. Calculate Phase Angle Of Impedance.
From www.numerade.com
SOLVED The phase sequence for the 4system of Fig 4(b) is ABC Calculate Phase Angle Of Impedance Use a calculator to convert all voltages to. Calculate the impedance, phase angle, resonant frequency, power, power factor, voltage, and/or current in a rlc series circuit. Furthermore, the phase angle may be found; Express all voltages in polar notation. This is essential for uses including impedance matching in rf circuits and power. In less than 3 minutes, this video explains. Calculate Phase Angle Of Impedance.
From electrical-information.com
LC Parallel Circuit (Impedance, Phasor Diagram) Electrical Information Calculate Phase Angle Of Impedance Use a calculator to convert all voltages to. This is essential for uses including impedance matching in rf circuits and power. In less than 3 minutes, this video explains the steps to calculate the impedance and phase. How can i use a calculator to find the phase difference and magnitude of a circuit if the circuit has an impedance of,. Calculate Phase Angle Of Impedance.
From www.slideserve.com
PPT Chapter 21 PowerPoint Presentation, free download ID6695130 Calculate Phase Angle Of Impedance In less than 3 minutes, this video explains the steps to calculate the impedance and phase. Compare this to the phase angle that we met earlier in graphs of y = a sin. Use a calculator to convert all voltages to. Calculate the impedance, phase angle, resonant frequency, power, power factor, voltage, and/or current in a rlc series circuit. The. Calculate Phase Angle Of Impedance.
From www.researchgate.net
Phase angle of the impedance of a vertical grounding electrode of 1 m Calculate Phase Angle Of Impedance Calculate the circuit phase angle based on the voltage drops across the resistor and capacitor. This is essential for uses including impedance matching in rf circuits and power. Use a calculator to convert all voltages to. Calculate the impedance, phase angle, resonant frequency, power, power factor, voltage, and/or current in a rlc series circuit. Draw the circuit diagram for an. Calculate Phase Angle Of Impedance.
From getcalc.com
RLC Circuit Equivalent Impedance Calculator Calculate Phase Angle Of Impedance In less than 3 minutes, this video explains the steps to calculate the impedance and phase. Calculate the circuit phase angle based on the voltage drops across the resistor and capacitor. How can i use a calculator to find the phase difference and magnitude of a circuit if the circuit has an impedance of, for example, \$z = 5 +. Calculate Phase Angle Of Impedance.