Radius Of Aluminum Atom Pm . Below mentioned radii are the van der waals. 119 rows atomic radius of all the elements are mentioned in the chart below. The atomic radius of aluminium atom is 121pm (covalent radius). Notes on the properties of aluminum:. Click any property name to see plots of that property for all the elements. The atomic radius of a chemical element. The atomic radius of a chemical. The atomic radius of a chemical element is a measure of the size of its atom, usually, the distance from the center of the nucleus to the outermost isolated electron. The atomic radius of aluminium atom is 121pm (covalent radius). The si units for measuring atomic radii are the nanometer (nm) and the picometer (pm).
from www.numerade.com
Notes on the properties of aluminum:. Click any property name to see plots of that property for all the elements. The atomic radius of a chemical. The atomic radius of aluminium atom is 121pm (covalent radius). 119 rows atomic radius of all the elements are mentioned in the chart below. Below mentioned radii are the van der waals. The atomic radius of a chemical element. The si units for measuring atomic radii are the nanometer (nm) and the picometer (pm). The atomic radius of a chemical element is a measure of the size of its atom, usually, the distance from the center of the nucleus to the outermost isolated electron. The atomic radius of aluminium atom is 121pm (covalent radius).
SOLVED Aluminum crystallizes with a facecentered cubic unit cell. The
Radius Of Aluminum Atom Pm The atomic radius of aluminium atom is 121pm (covalent radius). The atomic radius of aluminium atom is 121pm (covalent radius). The atomic radius of a chemical element. The atomic radius of aluminium atom is 121pm (covalent radius). The atomic radius of a chemical. The atomic radius of a chemical element is a measure of the size of its atom, usually, the distance from the center of the nucleus to the outermost isolated electron. Below mentioned radii are the van der waals. The si units for measuring atomic radii are the nanometer (nm) and the picometer (pm). 119 rows atomic radius of all the elements are mentioned in the chart below. Click any property name to see plots of that property for all the elements. Notes on the properties of aluminum:.
From www.museoinclusivo.com
Exploring the Atomic Radius of Aluminum and Its Impact on Its Radius Of Aluminum Atom Pm Click any property name to see plots of that property for all the elements. The atomic radius of a chemical element. The atomic radius of aluminium atom is 121pm (covalent radius). Notes on the properties of aluminum:. The atomic radius of aluminium atom is 121pm (covalent radius). 119 rows atomic radius of all the elements are mentioned in the chart. Radius Of Aluminum Atom Pm.
From exozmxsst.blob.core.windows.net
Aluminum Atom Radius at Leticia Robertson blog Radius Of Aluminum Atom Pm The si units for measuring atomic radii are the nanometer (nm) and the picometer (pm). Click any property name to see plots of that property for all the elements. The atomic radius of aluminium atom is 121pm (covalent radius). 119 rows atomic radius of all the elements are mentioned in the chart below. Below mentioned radii are the van der. Radius Of Aluminum Atom Pm.
From pediabay.com
Atomic Radius of Elements (With Periodic table Chart) Pediabay Radius Of Aluminum Atom Pm The atomic radius of a chemical element is a measure of the size of its atom, usually, the distance from the center of the nucleus to the outermost isolated electron. The si units for measuring atomic radii are the nanometer (nm) and the picometer (pm). The atomic radius of a chemical element. The atomic radius of aluminium atom is 121pm. Radius Of Aluminum Atom Pm.
From www.museoinclusivo.com
Exploring the Atomic Radius of Aluminum A Comprehensive Guide Radius Of Aluminum Atom Pm Below mentioned radii are the van der waals. Notes on the properties of aluminum:. The atomic radius of aluminium atom is 121pm (covalent radius). The atomic radius of a chemical element. The atomic radius of a chemical. The atomic radius of aluminium atom is 121pm (covalent radius). 119 rows atomic radius of all the elements are mentioned in the chart. Radius Of Aluminum Atom Pm.
From elchoroukhost.net
Aluminum Periodic Table Protons Neutrons Electrons Elcho Table Radius Of Aluminum Atom Pm The atomic radius of a chemical element. The atomic radius of a chemical. The atomic radius of aluminium atom is 121pm (covalent radius). The si units for measuring atomic radii are the nanometer (nm) and the picometer (pm). The atomic radius of aluminium atom is 121pm (covalent radius). Notes on the properties of aluminum:. Click any property name to see. Radius Of Aluminum Atom Pm.
From sciencenotes.org
Atomic Radius and Ionic Radius Radius Of Aluminum Atom Pm The atomic radius of a chemical. Below mentioned radii are the van der waals. 119 rows atomic radius of all the elements are mentioned in the chart below. The atomic radius of aluminium atom is 121pm (covalent radius). The atomic radius of aluminium atom is 121pm (covalent radius). The si units for measuring atomic radii are the nanometer (nm) and. Radius Of Aluminum Atom Pm.
From www.researchgate.net
34 (a) Trends in atomic radii in the periodic table in pm Download Radius Of Aluminum Atom Pm The atomic radius of aluminium atom is 121pm (covalent radius). Click any property name to see plots of that property for all the elements. 119 rows atomic radius of all the elements are mentioned in the chart below. The atomic radius of a chemical element. The atomic radius of a chemical. Notes on the properties of aluminum:. The si units. Radius Of Aluminum Atom Pm.
From material-properties.org
Aluminium Periodic Table and Atomic Properties Radius Of Aluminum Atom Pm The atomic radius of a chemical element. Notes on the properties of aluminum:. Below mentioned radii are the van der waals. Click any property name to see plots of that property for all the elements. The si units for measuring atomic radii are the nanometer (nm) and the picometer (pm). The atomic radius of aluminium atom is 121pm (covalent radius).. Radius Of Aluminum Atom Pm.
From smk-tpz-web-api-1325663342.ap-south-1.elb.amazonaws.com
Al Aluminium Element Information Facts, Properties, Trends, Uses and Radius Of Aluminum Atom Pm The atomic radius of a chemical element. 119 rows atomic radius of all the elements are mentioned in the chart below. The atomic radius of a chemical. The atomic radius of a chemical element is a measure of the size of its atom, usually, the distance from the center of the nucleus to the outermost isolated electron. The si units. Radius Of Aluminum Atom Pm.
From www.slideserve.com
PPT Trends in the periodic table PowerPoint Presentation, free Radius Of Aluminum Atom Pm The atomic radius of a chemical. Below mentioned radii are the van der waals. Click any property name to see plots of that property for all the elements. The si units for measuring atomic radii are the nanometer (nm) and the picometer (pm). The atomic radius of aluminium atom is 121pm (covalent radius). The atomic radius of a chemical element.. Radius Of Aluminum Atom Pm.
From www.pinterest.jp
Periodic Table Database Chemogenesis Chemistry lessons, Ionic Radius Of Aluminum Atom Pm The atomic radius of a chemical element. The atomic radius of aluminium atom is 121pm (covalent radius). The atomic radius of a chemical. 119 rows atomic radius of all the elements are mentioned in the chart below. Below mentioned radii are the van der waals. The atomic radius of aluminium atom is 121pm (covalent radius). The atomic radius of a. Radius Of Aluminum Atom Pm.
From www.museoinclusivo.com
Exploring the Atomic Radius of Aluminum A Comprehensive Guide Radius Of Aluminum Atom Pm Click any property name to see plots of that property for all the elements. The atomic radius of aluminium atom is 121pm (covalent radius). 119 rows atomic radius of all the elements are mentioned in the chart below. The atomic radius of a chemical element. The atomic radius of a chemical. Below mentioned radii are the van der waals. The. Radius Of Aluminum Atom Pm.
From www.youtube.com
Atomic Radius Basic Introduction Periodic Table Trends, Chemistry Radius Of Aluminum Atom Pm Below mentioned radii are the van der waals. The atomic radius of a chemical. The si units for measuring atomic radii are the nanometer (nm) and the picometer (pm). The atomic radius of aluminium atom is 121pm (covalent radius). The atomic radius of a chemical element. The atomic radius of aluminium atom is 121pm (covalent radius). Notes on the properties. Radius Of Aluminum Atom Pm.
From sciencenotes.org
Free Printable Periodic Tables (PDF and PNG) Science Notes and Projects Radius Of Aluminum Atom Pm The atomic radius of aluminium atom is 121pm (covalent radius). The atomic radius of a chemical element. Notes on the properties of aluminum:. 119 rows atomic radius of all the elements are mentioned in the chart below. The si units for measuring atomic radii are the nanometer (nm) and the picometer (pm). The atomic radius of a chemical. The atomic. Radius Of Aluminum Atom Pm.
From flexbooks.ck12.org
CK12Foundation Radius Of Aluminum Atom Pm The atomic radius of aluminium atom is 121pm (covalent radius). 119 rows atomic radius of all the elements are mentioned in the chart below. The atomic radius of a chemical element. Click any property name to see plots of that property for all the elements. Notes on the properties of aluminum:. The si units for measuring atomic radii are the. Radius Of Aluminum Atom Pm.
From www.slideserve.com
PPT Periodic Table PowerPoint Presentation, free download ID1951146 Radius Of Aluminum Atom Pm The atomic radius of a chemical. Notes on the properties of aluminum:. The atomic radius of a chemical element. The si units for measuring atomic radii are the nanometer (nm) and the picometer (pm). 119 rows atomic radius of all the elements are mentioned in the chart below. Below mentioned radii are the van der waals. The atomic radius of. Radius Of Aluminum Atom Pm.
From periodictableguide.com
Get the Periodic table with Atomic radius values (Img+Chart) Radius Of Aluminum Atom Pm Click any property name to see plots of that property for all the elements. The atomic radius of a chemical element. The si units for measuring atomic radii are the nanometer (nm) and the picometer (pm). The atomic radius of a chemical. The atomic radius of aluminium atom is 121pm (covalent radius). The atomic radius of a chemical element is. Radius Of Aluminum Atom Pm.
From periodictableguide.com
Aluminum (Al) Periodic Table (Element Information & More) Radius Of Aluminum Atom Pm Below mentioned radii are the van der waals. The si units for measuring atomic radii are the nanometer (nm) and the picometer (pm). The atomic radius of a chemical element is a measure of the size of its atom, usually, the distance from the center of the nucleus to the outermost isolated electron. The atomic radius of a chemical. The. Radius Of Aluminum Atom Pm.
From www.slideserve.com
PPT Chapter 7 The Structure of Atoms and Periodic Trends PowerPoint Radius Of Aluminum Atom Pm The atomic radius of a chemical element. Notes on the properties of aluminum:. The atomic radius of a chemical element is a measure of the size of its atom, usually, the distance from the center of the nucleus to the outermost isolated electron. The atomic radius of aluminium atom is 121pm (covalent radius). 119 rows atomic radius of all the. Radius Of Aluminum Atom Pm.
From brainly.com
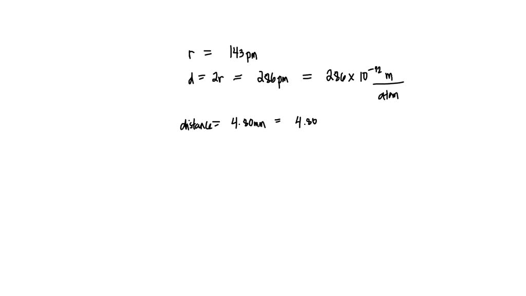
The radius of the aluminum (Al) atom is 143 pm. The radius of the Radius Of Aluminum Atom Pm Below mentioned radii are the van der waals. Notes on the properties of aluminum:. 119 rows atomic radius of all the elements are mentioned in the chart below. The atomic radius of aluminium atom is 121pm (covalent radius). The atomic radius of a chemical element. Click any property name to see plots of that property for all the elements. The. Radius Of Aluminum Atom Pm.
From www.chemistrylearner.com
Atomic Radius Definition, Determination, Chart, & Trend in Periodic Table Radius Of Aluminum Atom Pm The atomic radius of aluminium atom is 121pm (covalent radius). The si units for measuring atomic radii are the nanometer (nm) and the picometer (pm). Click any property name to see plots of that property for all the elements. The atomic radius of a chemical element. Below mentioned radii are the van der waals. The atomic radius of a chemical.. Radius Of Aluminum Atom Pm.
From www.chegg.com
Solved If The Atomic Radius Of Aluminum Is 0.143 Nm, Calc... Radius Of Aluminum Atom Pm 119 rows atomic radius of all the elements are mentioned in the chart below. Click any property name to see plots of that property for all the elements. The si units for measuring atomic radii are the nanometer (nm) and the picometer (pm). The atomic radius of a chemical. The atomic radius of aluminium atom is 121pm (covalent radius). The. Radius Of Aluminum Atom Pm.
From exozmxsst.blob.core.windows.net
Aluminum Atom Radius at Leticia Robertson blog Radius Of Aluminum Atom Pm The si units for measuring atomic radii are the nanometer (nm) and the picometer (pm). 119 rows atomic radius of all the elements are mentioned in the chart below. Below mentioned radii are the van der waals. Notes on the properties of aluminum:. The atomic radius of a chemical element. Click any property name to see plots of that property. Radius Of Aluminum Atom Pm.
From www.numerade.com
SOLVED Aluminum crystallizes with a facecentered cubic unit cell. The Radius Of Aluminum Atom Pm The atomic radius of aluminium atom is 121pm (covalent radius). Below mentioned radii are the van der waals. Notes on the properties of aluminum:. The atomic radius of aluminium atom is 121pm (covalent radius). The atomic radius of a chemical element. The atomic radius of a chemical element is a measure of the size of its atom, usually, the distance. Radius Of Aluminum Atom Pm.
From mindsstorm.weebly.com
Atomic radius chart mindsstorm Radius Of Aluminum Atom Pm The si units for measuring atomic radii are the nanometer (nm) and the picometer (pm). The atomic radius of aluminium atom is 121pm (covalent radius). The atomic radius of a chemical element is a measure of the size of its atom, usually, the distance from the center of the nucleus to the outermost isolated electron. The atomic radius of a. Radius Of Aluminum Atom Pm.
From www.numerade.com
SOLVED The radius of a aluminum atom is 143 pm. How many aluminum Radius Of Aluminum Atom Pm Click any property name to see plots of that property for all the elements. The atomic radius of a chemical element is a measure of the size of its atom, usually, the distance from the center of the nucleus to the outermost isolated electron. The si units for measuring atomic radii are the nanometer (nm) and the picometer (pm). The. Radius Of Aluminum Atom Pm.
From pressbooks.nscc.ca
Periodic Variations in Element Properties Atoms First / OpenStax Radius Of Aluminum Atom Pm The atomic radius of aluminium atom is 121pm (covalent radius). The atomic radius of a chemical. Notes on the properties of aluminum:. The atomic radius of aluminium atom is 121pm (covalent radius). The atomic radius of a chemical element is a measure of the size of its atom, usually, the distance from the center of the nucleus to the outermost. Radius Of Aluminum Atom Pm.
From chem.libretexts.org
9.9 Periodic Trends Atomic Size, Ionization Energy, and Metallic Radius Of Aluminum Atom Pm 119 rows atomic radius of all the elements are mentioned in the chart below. The atomic radius of aluminium atom is 121pm (covalent radius). The atomic radius of a chemical element. The atomic radius of a chemical. Below mentioned radii are the van der waals. The atomic radius of aluminium atom is 121pm (covalent radius). Click any property name to. Radius Of Aluminum Atom Pm.
From www.numerade.com
SOLVED Aluminum (atomic mass 26.98 g/mol) crystallizes in a face Radius Of Aluminum Atom Pm The atomic radius of a chemical element. 119 rows atomic radius of all the elements are mentioned in the chart below. The atomic radius of a chemical element is a measure of the size of its atom, usually, the distance from the center of the nucleus to the outermost isolated electron. The si units for measuring atomic radii are the. Radius Of Aluminum Atom Pm.
From www.breakingatom.com
Atomic Radius of Elements Radius Of Aluminum Atom Pm Below mentioned radii are the van der waals. The atomic radius of a chemical. Notes on the properties of aluminum:. Click any property name to see plots of that property for all the elements. The atomic radius of a chemical element is a measure of the size of its atom, usually, the distance from the center of the nucleus to. Radius Of Aluminum Atom Pm.
From www.coursehero.com
[Solved] The metallic radius of an aluminum atom is 143 pm. What is the Radius Of Aluminum Atom Pm The atomic radius of aluminium atom is 121pm (covalent radius). The atomic radius of a chemical element is a measure of the size of its atom, usually, the distance from the center of the nucleus to the outermost isolated electron. The atomic radius of a chemical. Notes on the properties of aluminum:. Below mentioned radii are the van der waals.. Radius Of Aluminum Atom Pm.
From www.numerade.com
SOLVED The radius of an aluminum atom is 143 pm. How many aluminum Radius Of Aluminum Atom Pm The si units for measuring atomic radii are the nanometer (nm) and the picometer (pm). The atomic radius of a chemical element is a measure of the size of its atom, usually, the distance from the center of the nucleus to the outermost isolated electron. The atomic radius of a chemical. Click any property name to see plots of that. Radius Of Aluminum Atom Pm.
From www.sliderbase.com
Structure of the Atom Presentation Chemistry Radius Of Aluminum Atom Pm The atomic radius of a chemical element is a measure of the size of its atom, usually, the distance from the center of the nucleus to the outermost isolated electron. The atomic radius of aluminium atom is 121pm (covalent radius). The atomic radius of a chemical. Below mentioned radii are the van der waals. The atomic radius of aluminium atom. Radius Of Aluminum Atom Pm.
From www.numerade.com
SOLVED 5. The radius of one atom in the unit cell is 150 pm. And the Radius Of Aluminum Atom Pm The atomic radius of aluminium atom is 121pm (covalent radius). The si units for measuring atomic radii are the nanometer (nm) and the picometer (pm). The atomic radius of aluminium atom is 121pm (covalent radius). 119 rows atomic radius of all the elements are mentioned in the chart below. The atomic radius of a chemical element. Notes on the properties. Radius Of Aluminum Atom Pm.
From sciencephoto.com
Aluminium, atomic structure Stock Image C019/7644 Science Photo Library Radius Of Aluminum Atom Pm Notes on the properties of aluminum:. Below mentioned radii are the van der waals. The atomic radius of a chemical element. The atomic radius of a chemical. The atomic radius of a chemical element is a measure of the size of its atom, usually, the distance from the center of the nucleus to the outermost isolated electron. The atomic radius. Radius Of Aluminum Atom Pm.