Metodo De Runge Kutta 2 Ordem Exercicios Resolvidos . Resolva o seguinte problema de valor inicial no intervalo de x = 0 a 2: Usando o método yn+1 = yn+ h 2 [k1+k2], n= 0,1,2,. Sendo a equação diferencial de segunda ordem,. Dentre os metodos numericos para resolver este tipo de problema, os mais utilizados por sua precis~ao e simplicidade s~ao os metodos de. Guia com resumos, provas antigas, focados na prova da. Guia com resumos, provas antigas, focados na prova da.
        
        from www.youtube.com 
     
        
        Sendo a equação diferencial de segunda ordem,. Resolva o seguinte problema de valor inicial no intervalo de x = 0 a 2: Dentre os metodos numericos para resolver este tipo de problema, os mais utilizados por sua precis~ao e simplicidade s~ao os metodos de. Guia com resumos, provas antigas, focados na prova da. Guia com resumos, provas antigas, focados na prova da. Usando o método yn+1 = yn+ h 2 [k1+k2], n= 0,1,2,.
    
    	
            
	
		 
         
    Método de Runge Kutta segundo orden 14 06 2021 YouTube 
    Metodo De Runge Kutta 2 Ordem Exercicios Resolvidos  Usando o método yn+1 = yn+ h 2 [k1+k2], n= 0,1,2,. Dentre os metodos numericos para resolver este tipo de problema, os mais utilizados por sua precis~ao e simplicidade s~ao os metodos de. Resolva o seguinte problema de valor inicial no intervalo de x = 0 a 2: Sendo a equação diferencial de segunda ordem,. Guia com resumos, provas antigas, focados na prova da. Usando o método yn+1 = yn+ h 2 [k1+k2], n= 0,1,2,. Guia com resumos, provas antigas, focados na prova da.
            
	
		 
         
 
    
        From es.slideshare.net 
                    Metodo de Runge Kutta PDF Metodo De Runge Kutta 2 Ordem Exercicios Resolvidos  Dentre os metodos numericos para resolver este tipo de problema, os mais utilizados por sua precis~ao e simplicidade s~ao os metodos de. Sendo a equação diferencial de segunda ordem,. Guia com resumos, provas antigas, focados na prova da. Usando o método yn+1 = yn+ h 2 [k1+k2], n= 0,1,2,. Resolva o seguinte problema de valor inicial no intervalo de x. Metodo De Runge Kutta 2 Ordem Exercicios Resolvidos.
     
    
        From es.scribd.com 
                    metodo de runge kutta Integral Ecuaciones diferenciales Metodo De Runge Kutta 2 Ordem Exercicios Resolvidos  Guia com resumos, provas antigas, focados na prova da. Resolva o seguinte problema de valor inicial no intervalo de x = 0 a 2: Guia com resumos, provas antigas, focados na prova da. Sendo a equação diferencial de segunda ordem,. Usando o método yn+1 = yn+ h 2 [k1+k2], n= 0,1,2,. Dentre os metodos numericos para resolver este tipo de. Metodo De Runge Kutta 2 Ordem Exercicios Resolvidos.
     
    
        From es.scribd.com 
                    Método de RungeKutta Ecuaciones Análisis numérico Metodo De Runge Kutta 2 Ordem Exercicios Resolvidos  Dentre os metodos numericos para resolver este tipo de problema, os mais utilizados por sua precis~ao e simplicidade s~ao os metodos de. Sendo a equação diferencial de segunda ordem,. Resolva o seguinte problema de valor inicial no intervalo de x = 0 a 2: Guia com resumos, provas antigas, focados na prova da. Usando o método yn+1 = yn+ h. Metodo De Runge Kutta 2 Ordem Exercicios Resolvidos.
     
    
        From www.youtube.com 
                    Presentación de los método de Runge Kutta de segundo orden YouTube Metodo De Runge Kutta 2 Ordem Exercicios Resolvidos  Guia com resumos, provas antigas, focados na prova da. Resolva o seguinte problema de valor inicial no intervalo de x = 0 a 2: Guia com resumos, provas antigas, focados na prova da. Dentre os metodos numericos para resolver este tipo de problema, os mais utilizados por sua precis~ao e simplicidade s~ao os metodos de. Usando o método yn+1 =. Metodo De Runge Kutta 2 Ordem Exercicios Resolvidos.
     
    
        From www.youtube.com 
                    Runge Kutta segundo orden Heun ejemplo YouTube Metodo De Runge Kutta 2 Ordem Exercicios Resolvidos  Dentre os metodos numericos para resolver este tipo de problema, os mais utilizados por sua precis~ao e simplicidade s~ao os metodos de. Sendo a equação diferencial de segunda ordem,. Guia com resumos, provas antigas, focados na prova da. Usando o método yn+1 = yn+ h 2 [k1+k2], n= 0,1,2,. Resolva o seguinte problema de valor inicial no intervalo de x. Metodo De Runge Kutta 2 Ordem Exercicios Resolvidos.
     
    
        From pim-staging.cpcompany.com 
                    Metodo De Runge Kutta BRAINCP Metodo De Runge Kutta 2 Ordem Exercicios Resolvidos  Sendo a equação diferencial de segunda ordem,. Dentre os metodos numericos para resolver este tipo de problema, os mais utilizados por sua precis~ao e simplicidade s~ao os metodos de. Resolva o seguinte problema de valor inicial no intervalo de x = 0 a 2: Guia com resumos, provas antigas, focados na prova da. Guia com resumos, provas antigas, focados na. Metodo De Runge Kutta 2 Ordem Exercicios Resolvidos.
     
    
        From www.youtube.com 
                    runge kutta segundo orden matlab YouTube Metodo De Runge Kutta 2 Ordem Exercicios Resolvidos  Usando o método yn+1 = yn+ h 2 [k1+k2], n= 0,1,2,. Guia com resumos, provas antigas, focados na prova da. Sendo a equação diferencial de segunda ordem,. Dentre os metodos numericos para resolver este tipo de problema, os mais utilizados por sua precis~ao e simplicidade s~ao os metodos de. Guia com resumos, provas antigas, focados na prova da. Resolva o. Metodo De Runge Kutta 2 Ordem Exercicios Resolvidos.
     
    
        From es.scribd.com 
                    PROCEDIMIENTO DEL MÉTODO DE RUNGE KUTTA DE 4to PDF Metodo De Runge Kutta 2 Ordem Exercicios Resolvidos  Resolva o seguinte problema de valor inicial no intervalo de x = 0 a 2: Sendo a equação diferencial de segunda ordem,. Guia com resumos, provas antigas, focados na prova da. Guia com resumos, provas antigas, focados na prova da. Usando o método yn+1 = yn+ h 2 [k1+k2], n= 0,1,2,. Dentre os metodos numericos para resolver este tipo de. Metodo De Runge Kutta 2 Ordem Exercicios Resolvidos.
     
    
        From metodosnumericos.com.br 
                    O método de RungeKutta para sistemas \(2 \times 2\) Métodos numéricos Metodo De Runge Kutta 2 Ordem Exercicios Resolvidos  Dentre os metodos numericos para resolver este tipo de problema, os mais utilizados por sua precis~ao e simplicidade s~ao os metodos de. Resolva o seguinte problema de valor inicial no intervalo de x = 0 a 2: Usando o método yn+1 = yn+ h 2 [k1+k2], n= 0,1,2,. Guia com resumos, provas antigas, focados na prova da. Sendo a equação. Metodo De Runge Kutta 2 Ordem Exercicios Resolvidos.
     
    
        From matlabmorena.blogspot.com 
                    MATLAB MORENA SALAZAR Método de RungeKutta Metodo De Runge Kutta 2 Ordem Exercicios Resolvidos  Usando o método yn+1 = yn+ h 2 [k1+k2], n= 0,1,2,. Resolva o seguinte problema de valor inicial no intervalo de x = 0 a 2: Sendo a equação diferencial de segunda ordem,. Guia com resumos, provas antigas, focados na prova da. Guia com resumos, provas antigas, focados na prova da. Dentre os metodos numericos para resolver este tipo de. Metodo De Runge Kutta 2 Ordem Exercicios Resolvidos.
     
    
        From www.slideserve.com 
                    PPT Runge 2 nd Order Method PowerPoint Presentation, free download Metodo De Runge Kutta 2 Ordem Exercicios Resolvidos  Guia com resumos, provas antigas, focados na prova da. Usando o método yn+1 = yn+ h 2 [k1+k2], n= 0,1,2,. Sendo a equação diferencial de segunda ordem,. Guia com resumos, provas antigas, focados na prova da. Resolva o seguinte problema de valor inicial no intervalo de x = 0 a 2: Dentre os metodos numericos para resolver este tipo de. Metodo De Runge Kutta 2 Ordem Exercicios Resolvidos.
     
    
        From www.youtube.com 
                    Método de Runge Kutta segundo orden 14 06 2021 YouTube Metodo De Runge Kutta 2 Ordem Exercicios Resolvidos  Dentre os metodos numericos para resolver este tipo de problema, os mais utilizados por sua precis~ao e simplicidade s~ao os metodos de. Usando o método yn+1 = yn+ h 2 [k1+k2], n= 0,1,2,. Guia com resumos, provas antigas, focados na prova da. Sendo a equação diferencial de segunda ordem,. Guia com resumos, provas antigas, focados na prova da. Resolva o. Metodo De Runge Kutta 2 Ordem Exercicios Resolvidos.
     
    
        From www.youtube.com 
                    Runge Kutta segundo orden Ralston ejemplo YouTube Metodo De Runge Kutta 2 Ordem Exercicios Resolvidos  Resolva o seguinte problema de valor inicial no intervalo de x = 0 a 2: Guia com resumos, provas antigas, focados na prova da. Sendo a equação diferencial de segunda ordem,. Usando o método yn+1 = yn+ h 2 [k1+k2], n= 0,1,2,. Dentre os metodos numericos para resolver este tipo de problema, os mais utilizados por sua precis~ao e simplicidade. Metodo De Runge Kutta 2 Ordem Exercicios Resolvidos.
     
    
        From pim-staging.cpcompany.com 
                    Metodo De Runge Kutta BRAINCP Metodo De Runge Kutta 2 Ordem Exercicios Resolvidos  Resolva o seguinte problema de valor inicial no intervalo de x = 0 a 2: Guia com resumos, provas antigas, focados na prova da. Dentre os metodos numericos para resolver este tipo de problema, os mais utilizados por sua precis~ao e simplicidade s~ao os metodos de. Usando o método yn+1 = yn+ h 2 [k1+k2], n= 0,1,2,. Guia com resumos,. Metodo De Runge Kutta 2 Ordem Exercicios Resolvidos.
     
    
        From pdfslide.net 
                    (PDF) Aula 13 Métodos de RungeKutta. Unicampvalle/Teaching/2015 Metodo De Runge Kutta 2 Ordem Exercicios Resolvidos  Guia com resumos, provas antigas, focados na prova da. Resolva o seguinte problema de valor inicial no intervalo de x = 0 a 2: Usando o método yn+1 = yn+ h 2 [k1+k2], n= 0,1,2,. Sendo a equação diferencial de segunda ordem,. Dentre os metodos numericos para resolver este tipo de problema, os mais utilizados por sua precis~ao e simplicidade. Metodo De Runge Kutta 2 Ordem Exercicios Resolvidos.
     
    
        From es.slideshare.net 
                    Metodo de Rungekutta PPT Metodo De Runge Kutta 2 Ordem Exercicios Resolvidos  Sendo a equação diferencial de segunda ordem,. Guia com resumos, provas antigas, focados na prova da. Usando o método yn+1 = yn+ h 2 [k1+k2], n= 0,1,2,. Resolva o seguinte problema de valor inicial no intervalo de x = 0 a 2: Guia com resumos, provas antigas, focados na prova da. Dentre os metodos numericos para resolver este tipo de. Metodo De Runge Kutta 2 Ordem Exercicios Resolvidos.
     
    
        From www.youtube.com 
                    Ejemplo de RungeKutta de orden 2 YouTube Metodo De Runge Kutta 2 Ordem Exercicios Resolvidos  Usando o método yn+1 = yn+ h 2 [k1+k2], n= 0,1,2,. Dentre os metodos numericos para resolver este tipo de problema, os mais utilizados por sua precis~ao e simplicidade s~ao os metodos de. Resolva o seguinte problema de valor inicial no intervalo de x = 0 a 2: Guia com resumos, provas antigas, focados na prova da. Guia com resumos,. Metodo De Runge Kutta 2 Ordem Exercicios Resolvidos.
     
    
        From www.youtube.com 
                    Ejemplos de los Métodos de Runge Kutta de segundo orden YouTube Metodo De Runge Kutta 2 Ordem Exercicios Resolvidos  Guia com resumos, provas antigas, focados na prova da. Resolva o seguinte problema de valor inicial no intervalo de x = 0 a 2: Sendo a equação diferencial de segunda ordem,. Usando o método yn+1 = yn+ h 2 [k1+k2], n= 0,1,2,. Dentre os metodos numericos para resolver este tipo de problema, os mais utilizados por sua precis~ao e simplicidade. Metodo De Runge Kutta 2 Ordem Exercicios Resolvidos.
     
    
        From www.studypool.com 
                    SOLUTION 2nd order runge kutta methods sample prob 2 Studypool Metodo De Runge Kutta 2 Ordem Exercicios Resolvidos  Sendo a equação diferencial de segunda ordem,. Usando o método yn+1 = yn+ h 2 [k1+k2], n= 0,1,2,. Guia com resumos, provas antigas, focados na prova da. Dentre os metodos numericos para resolver este tipo de problema, os mais utilizados por sua precis~ao e simplicidade s~ao os metodos de. Guia com resumos, provas antigas, focados na prova da. Resolva o. Metodo De Runge Kutta 2 Ordem Exercicios Resolvidos.
     
    
        From www.youtube.com 
                    Método de RungeKutta de 2°, 3° y 4° Orden YouTube Metodo De Runge Kutta 2 Ordem Exercicios Resolvidos  Sendo a equação diferencial de segunda ordem,. Guia com resumos, provas antigas, focados na prova da. Guia com resumos, provas antigas, focados na prova da. Dentre os metodos numericos para resolver este tipo de problema, os mais utilizados por sua precis~ao e simplicidade s~ao os metodos de. Usando o método yn+1 = yn+ h 2 [k1+k2], n= 0,1,2,. Resolva o. Metodo De Runge Kutta 2 Ordem Exercicios Resolvidos.
     
    
        From www.youtube.com 
                    Aula 29 Equações Diferenciais Ordinárias Método de Runge Kutta Metodo De Runge Kutta 2 Ordem Exercicios Resolvidos  Resolva o seguinte problema de valor inicial no intervalo de x = 0 a 2: Usando o método yn+1 = yn+ h 2 [k1+k2], n= 0,1,2,. Dentre os metodos numericos para resolver este tipo de problema, os mais utilizados por sua precis~ao e simplicidade s~ao os metodos de. Guia com resumos, provas antigas, focados na prova da. Guia com resumos,. Metodo De Runge Kutta 2 Ordem Exercicios Resolvidos.
     
    
        From fdocuments.ec 
                    METODO DE RUNGE KUTTA 2.xls [PDF Document] Metodo De Runge Kutta 2 Ordem Exercicios Resolvidos  Usando o método yn+1 = yn+ h 2 [k1+k2], n= 0,1,2,. Guia com resumos, provas antigas, focados na prova da. Dentre os metodos numericos para resolver este tipo de problema, os mais utilizados por sua precis~ao e simplicidade s~ao os metodos de. Guia com resumos, provas antigas, focados na prova da. Sendo a equação diferencial de segunda ordem,. Resolva o. Metodo De Runge Kutta 2 Ordem Exercicios Resolvidos.
     
    
        From www.youtube.com 
                    Runge Kutta segundo ordenteoría YouTube Metodo De Runge Kutta 2 Ordem Exercicios Resolvidos  Guia com resumos, provas antigas, focados na prova da. Guia com resumos, provas antigas, focados na prova da. Usando o método yn+1 = yn+ h 2 [k1+k2], n= 0,1,2,. Dentre os metodos numericos para resolver este tipo de problema, os mais utilizados por sua precis~ao e simplicidade s~ao os metodos de. Resolva o seguinte problema de valor inicial no intervalo. Metodo De Runge Kutta 2 Ordem Exercicios Resolvidos.
     
    
        From www.studypool.com 
                    SOLUTION Runge Kutta 2nd Order Method Notes Studypool Metodo De Runge Kutta 2 Ordem Exercicios Resolvidos  Dentre os metodos numericos para resolver este tipo de problema, os mais utilizados por sua precis~ao e simplicidade s~ao os metodos de. Usando o método yn+1 = yn+ h 2 [k1+k2], n= 0,1,2,. Guia com resumos, provas antigas, focados na prova da. Sendo a equação diferencial de segunda ordem,. Guia com resumos, provas antigas, focados na prova da. Resolva o. Metodo De Runge Kutta 2 Ordem Exercicios Resolvidos.
     
    
        From www.youtube.com 
                    Método de Runge Kutta de Cuarto Orden EDO Orden Superior YouTube Metodo De Runge Kutta 2 Ordem Exercicios Resolvidos  Sendo a equação diferencial de segunda ordem,. Usando o método yn+1 = yn+ h 2 [k1+k2], n= 0,1,2,. Guia com resumos, provas antigas, focados na prova da. Dentre os metodos numericos para resolver este tipo de problema, os mais utilizados por sua precis~ao e simplicidade s~ao os metodos de. Resolva o seguinte problema de valor inicial no intervalo de x. Metodo De Runge Kutta 2 Ordem Exercicios Resolvidos.
     
    
        From www.youtube.com 
                    MÉTODO DE RUNGE KUTTA PARA ECUACIONES DIFERENCIALES DE PRIMER ORDEN Metodo De Runge Kutta 2 Ordem Exercicios Resolvidos  Guia com resumos, provas antigas, focados na prova da. Guia com resumos, provas antigas, focados na prova da. Dentre os metodos numericos para resolver este tipo de problema, os mais utilizados por sua precis~ao e simplicidade s~ao os metodos de. Usando o método yn+1 = yn+ h 2 [k1+k2], n= 0,1,2,. Resolva o seguinte problema de valor inicial no intervalo. Metodo De Runge Kutta 2 Ordem Exercicios Resolvidos.
     
    
        From www.youtube.com 
                    Aula 36 Cálculo Numérico Método de Runge Kutta de 2ª ordem YouTube Metodo De Runge Kutta 2 Ordem Exercicios Resolvidos  Sendo a equação diferencial de segunda ordem,. Dentre os metodos numericos para resolver este tipo de problema, os mais utilizados por sua precis~ao e simplicidade s~ao os metodos de. Guia com resumos, provas antigas, focados na prova da. Resolva o seguinte problema de valor inicial no intervalo de x = 0 a 2: Usando o método yn+1 = yn+ h. Metodo De Runge Kutta 2 Ordem Exercicios Resolvidos.
     
    
        From www.studocu.com 
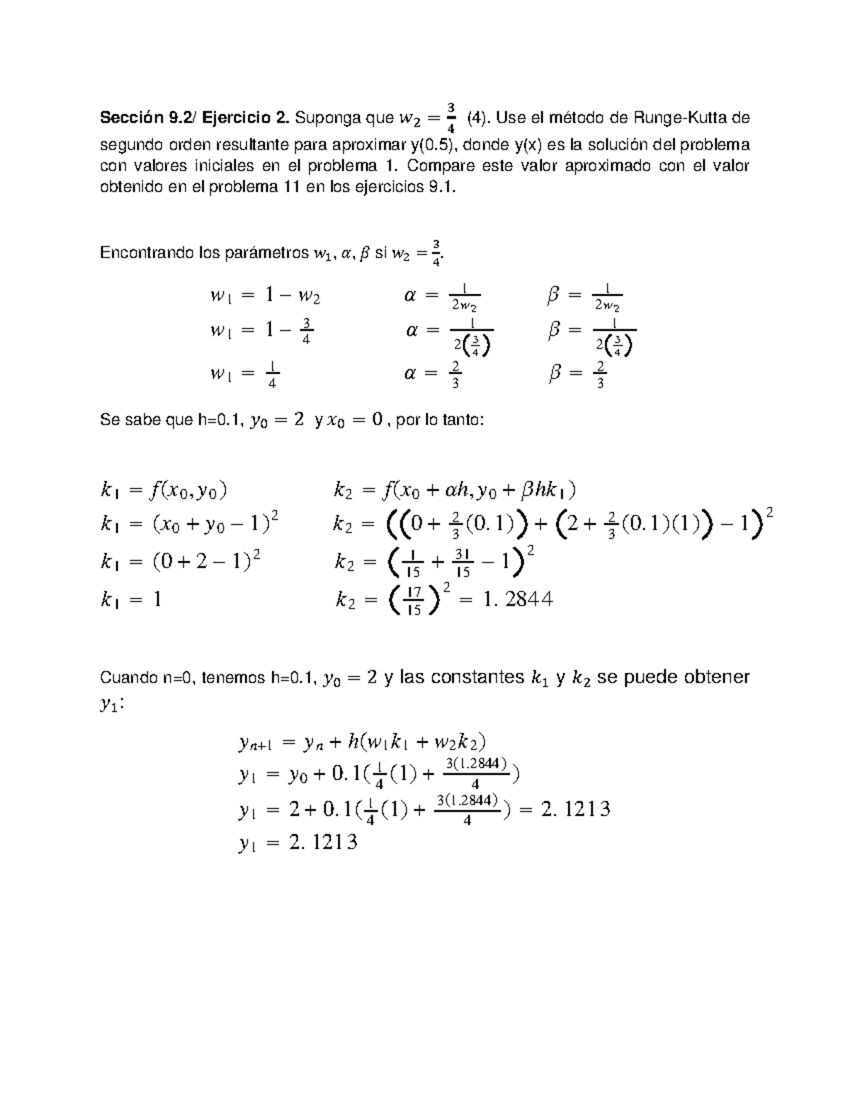
                    Métodos numericos Runge Kutta Sección 9/ Ejercicio 2. Suponga que 𝑤 Metodo De Runge Kutta 2 Ordem Exercicios Resolvidos  Dentre os metodos numericos para resolver este tipo de problema, os mais utilizados por sua precis~ao e simplicidade s~ao os metodos de. Resolva o seguinte problema de valor inicial no intervalo de x = 0 a 2: Guia com resumos, provas antigas, focados na prova da. Guia com resumos, provas antigas, focados na prova da. Sendo a equação diferencial de. Metodo De Runge Kutta 2 Ordem Exercicios Resolvidos.
     
    
        From tubloginformativo.com 
                    ¿Cómo Se Puede Utilizar El Método De RungeKutta De Segundo Orden Para Metodo De Runge Kutta 2 Ordem Exercicios Resolvidos  Dentre os metodos numericos para resolver este tipo de problema, os mais utilizados por sua precis~ao e simplicidade s~ao os metodos de. Resolva o seguinte problema de valor inicial no intervalo de x = 0 a 2: Usando o método yn+1 = yn+ h 2 [k1+k2], n= 0,1,2,. Sendo a equação diferencial de segunda ordem,. Guia com resumos, provas antigas,. Metodo De Runge Kutta 2 Ordem Exercicios Resolvidos.
     
    
        From www.youtube.com 
                    Métodos RungeKutta Orden 2 (Euler Mejorado, Heun, Ralston) Teoría Metodo De Runge Kutta 2 Ordem Exercicios Resolvidos  Resolva o seguinte problema de valor inicial no intervalo de x = 0 a 2: Sendo a equação diferencial de segunda ordem,. Usando o método yn+1 = yn+ h 2 [k1+k2], n= 0,1,2,. Dentre os metodos numericos para resolver este tipo de problema, os mais utilizados por sua precis~ao e simplicidade s~ao os metodos de. Guia com resumos, provas antigas,. Metodo De Runge Kutta 2 Ordem Exercicios Resolvidos.
     
    
        From www.scribd.com 
                    MÉTODO DE RUNGEKUTTA 4to Orden PDF Metodo De Runge Kutta 2 Ordem Exercicios Resolvidos  Sendo a equação diferencial de segunda ordem,. Guia com resumos, provas antigas, focados na prova da. Dentre os metodos numericos para resolver este tipo de problema, os mais utilizados por sua precis~ao e simplicidade s~ao os metodos de. Usando o método yn+1 = yn+ h 2 [k1+k2], n= 0,1,2,. Resolva o seguinte problema de valor inicial no intervalo de x. Metodo De Runge Kutta 2 Ordem Exercicios Resolvidos.
     
    
        From www.youtube.com 
                    Rungekutta 2° ordem YouTube Metodo De Runge Kutta 2 Ordem Exercicios Resolvidos  Resolva o seguinte problema de valor inicial no intervalo de x = 0 a 2: Sendo a equação diferencial de segunda ordem,. Usando o método yn+1 = yn+ h 2 [k1+k2], n= 0,1,2,. Guia com resumos, provas antigas, focados na prova da. Dentre os metodos numericos para resolver este tipo de problema, os mais utilizados por sua precis~ao e simplicidade. Metodo De Runge Kutta 2 Ordem Exercicios Resolvidos.
     
    
        From www.youtube.com 
                    [Analyse numérique] Résolution numérique d'équations différentielles Metodo De Runge Kutta 2 Ordem Exercicios Resolvidos  Sendo a equação diferencial de segunda ordem,. Resolva o seguinte problema de valor inicial no intervalo de x = 0 a 2: Usando o método yn+1 = yn+ h 2 [k1+k2], n= 0,1,2,. Guia com resumos, provas antigas, focados na prova da. Dentre os metodos numericos para resolver este tipo de problema, os mais utilizados por sua precis~ao e simplicidade. Metodo De Runge Kutta 2 Ordem Exercicios Resolvidos.
     
    
        From www.studypool.com 
                    SOLUTION Metodo de runge kutta 4to orden ejercicio Studypool Metodo De Runge Kutta 2 Ordem Exercicios Resolvidos  Sendo a equação diferencial de segunda ordem,. Usando o método yn+1 = yn+ h 2 [k1+k2], n= 0,1,2,. Guia com resumos, provas antigas, focados na prova da. Resolva o seguinte problema de valor inicial no intervalo de x = 0 a 2: Guia com resumos, provas antigas, focados na prova da. Dentre os metodos numericos para resolver este tipo de. Metodo De Runge Kutta 2 Ordem Exercicios Resolvidos.
     
    
        From www.youtube.com 
                    Explicación de la solución de tres ejercicios de Runge Kutta de segundo Metodo De Runge Kutta 2 Ordem Exercicios Resolvidos  Usando o método yn+1 = yn+ h 2 [k1+k2], n= 0,1,2,. Resolva o seguinte problema de valor inicial no intervalo de x = 0 a 2: Guia com resumos, provas antigas, focados na prova da. Dentre os metodos numericos para resolver este tipo de problema, os mais utilizados por sua precis~ao e simplicidade s~ao os metodos de. Sendo a equação. Metodo De Runge Kutta 2 Ordem Exercicios Resolvidos.