Bromine Pentafluoride Molecular Geometry . It is a strong fluorinating agent. bromine pentafluoride, br f 5, is an interhalogen compound and a fluoride of bromine. an explanation of the molecular geometry for the brf5 (bromine pentafluoride) including a description of. In the liquid state, it is a colorless, fuming compound having a pungent odor. bromine pentafluoride or brf5 is a fluoride of bromine and an interhalogen compound which means it is made up of only halogen atoms. brf5 is an interhalogen compound as it consists of one bromine and five fluorine atoms. Brf 5 can be prepared by treating brf 3 with fluorine under uv light in the region of 300 to 400 nm at room temperature.
from www.youtube.com
bromine pentafluoride, br f 5, is an interhalogen compound and a fluoride of bromine. an explanation of the molecular geometry for the brf5 (bromine pentafluoride) including a description of. In the liquid state, it is a colorless, fuming compound having a pungent odor. It is a strong fluorinating agent. Brf 5 can be prepared by treating brf 3 with fluorine under uv light in the region of 300 to 400 nm at room temperature. bromine pentafluoride or brf5 is a fluoride of bromine and an interhalogen compound which means it is made up of only halogen atoms. brf5 is an interhalogen compound as it consists of one bromine and five fluorine atoms.
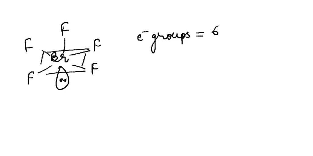
Molecular Structure of Bromine Pentafluoride Using VSEPR Theory
Bromine Pentafluoride Molecular Geometry an explanation of the molecular geometry for the brf5 (bromine pentafluoride) including a description of. bromine pentafluoride or brf5 is a fluoride of bromine and an interhalogen compound which means it is made up of only halogen atoms. In the liquid state, it is a colorless, fuming compound having a pungent odor. an explanation of the molecular geometry for the brf5 (bromine pentafluoride) including a description of. bromine pentafluoride, br f 5, is an interhalogen compound and a fluoride of bromine. brf5 is an interhalogen compound as it consists of one bromine and five fluorine atoms. It is a strong fluorinating agent. Brf 5 can be prepared by treating brf 3 with fluorine under uv light in the region of 300 to 400 nm at room temperature.
From sciedutut.com
BrF5 Molecular Geometry Science Education and Tutorials Bromine Pentafluoride Molecular Geometry bromine pentafluoride or brf5 is a fluoride of bromine and an interhalogen compound which means it is made up of only halogen atoms. Brf 5 can be prepared by treating brf 3 with fluorine under uv light in the region of 300 to 400 nm at room temperature. In the liquid state, it is a colorless, fuming compound having. Bromine Pentafluoride Molecular Geometry.
From animalia-life.club
Brf3 Polar Or Nonpolar Bromine Pentafluoride Molecular Geometry an explanation of the molecular geometry for the brf5 (bromine pentafluoride) including a description of. brf5 is an interhalogen compound as it consists of one bromine and five fluorine atoms. In the liquid state, it is a colorless, fuming compound having a pungent odor. bromine pentafluoride, br f 5, is an interhalogen compound and a fluoride of. Bromine Pentafluoride Molecular Geometry.
From www.clutchprep.com
Bromine pentafluoride, BrF5, is sometimes Clutch Prep Bromine Pentafluoride Molecular Geometry In the liquid state, it is a colorless, fuming compound having a pungent odor. bromine pentafluoride or brf5 is a fluoride of bromine and an interhalogen compound which means it is made up of only halogen atoms. It is a strong fluorinating agent. an explanation of the molecular geometry for the brf5 (bromine pentafluoride) including a description of.. Bromine Pentafluoride Molecular Geometry.
From whatsinsight.org
BrF3 (Bromine trifluoride) Molecular Geometry, Bond Angles What's Insight Bromine Pentafluoride Molecular Geometry Brf 5 can be prepared by treating brf 3 with fluorine under uv light in the region of 300 to 400 nm at room temperature. It is a strong fluorinating agent. brf5 is an interhalogen compound as it consists of one bromine and five fluorine atoms. an explanation of the molecular geometry for the brf5 (bromine pentafluoride) including. Bromine Pentafluoride Molecular Geometry.
From www.vedantu.com
What is the geometry of the molecule of bromine pentafluoride?A.Square Bromine Pentafluoride Molecular Geometry brf5 is an interhalogen compound as it consists of one bromine and five fluorine atoms. bromine pentafluoride, br f 5, is an interhalogen compound and a fluoride of bromine. an explanation of the molecular geometry for the brf5 (bromine pentafluoride) including a description of. It is a strong fluorinating agent. In the liquid state, it is a. Bromine Pentafluoride Molecular Geometry.
From www.chegg.com
Solved Bromine pentafluoride Electron Geometry Molecular Bromine Pentafluoride Molecular Geometry Brf 5 can be prepared by treating brf 3 with fluorine under uv light in the region of 300 to 400 nm at room temperature. bromine pentafluoride or brf5 is a fluoride of bromine and an interhalogen compound which means it is made up of only halogen atoms. In the liquid state, it is a colorless, fuming compound having. Bromine Pentafluoride Molecular Geometry.
From www.anyrgb.com
Bromine pentafluoride, phosphorus Tribromide, Nitrogen trichloride Bromine Pentafluoride Molecular Geometry bromine pentafluoride or brf5 is a fluoride of bromine and an interhalogen compound which means it is made up of only halogen atoms. bromine pentafluoride, br f 5, is an interhalogen compound and a fluoride of bromine. Brf 5 can be prepared by treating brf 3 with fluorine under uv light in the region of 300 to 400. Bromine Pentafluoride Molecular Geometry.
From www.chegg.com
Solved Bromine pentafluoride Electron Geometry Molecular Bromine Pentafluoride Molecular Geometry bromine pentafluoride, br f 5, is an interhalogen compound and a fluoride of bromine. Brf 5 can be prepared by treating brf 3 with fluorine under uv light in the region of 300 to 400 nm at room temperature. It is a strong fluorinating agent. brf5 is an interhalogen compound as it consists of one bromine and five. Bromine Pentafluoride Molecular Geometry.
From www.youtube.com
BrF5 Molecular Geometry & Bond Angles (Bromine Pentafluoride) YouTube Bromine Pentafluoride Molecular Geometry bromine pentafluoride or brf5 is a fluoride of bromine and an interhalogen compound which means it is made up of only halogen atoms. brf5 is an interhalogen compound as it consists of one bromine and five fluorine atoms. bromine pentafluoride, br f 5, is an interhalogen compound and a fluoride of bromine. an explanation of the. Bromine Pentafluoride Molecular Geometry.
From www.ck12.org
Molecular Geometry CK12 Foundation Bromine Pentafluoride Molecular Geometry bromine pentafluoride or brf5 is a fluoride of bromine and an interhalogen compound which means it is made up of only halogen atoms. Brf 5 can be prepared by treating brf 3 with fluorine under uv light in the region of 300 to 400 nm at room temperature. It is a strong fluorinating agent. brf5 is an interhalogen. Bromine Pentafluoride Molecular Geometry.
From www.chegg.com
Solved Bromine pentafluoride Electron Geometry Molecular Bromine Pentafluoride Molecular Geometry brf5 is an interhalogen compound as it consists of one bromine and five fluorine atoms. an explanation of the molecular geometry for the brf5 (bromine pentafluoride) including a description of. In the liquid state, it is a colorless, fuming compound having a pungent odor. It is a strong fluorinating agent. bromine pentafluoride or brf5 is a fluoride. Bromine Pentafluoride Molecular Geometry.
From exodfsivt.blob.core.windows.net
Bromine Pentafluoride Formula at Lawrence Manzi blog Bromine Pentafluoride Molecular Geometry an explanation of the molecular geometry for the brf5 (bromine pentafluoride) including a description of. Brf 5 can be prepared by treating brf 3 with fluorine under uv light in the region of 300 to 400 nm at room temperature. brf5 is an interhalogen compound as it consists of one bromine and five fluorine atoms. bromine pentafluoride. Bromine Pentafluoride Molecular Geometry.
From exoiwchxo.blob.core.windows.net
Bromine Pentafluoride Electron Geometry at Tami Craig blog Bromine Pentafluoride Molecular Geometry Brf 5 can be prepared by treating brf 3 with fluorine under uv light in the region of 300 to 400 nm at room temperature. brf5 is an interhalogen compound as it consists of one bromine and five fluorine atoms. an explanation of the molecular geometry for the brf5 (bromine pentafluoride) including a description of. bromine pentafluoride,. Bromine Pentafluoride Molecular Geometry.
From www.numerade.com
SOLVED Answer the questions in the table below about the shape of the Bromine Pentafluoride Molecular Geometry Brf 5 can be prepared by treating brf 3 with fluorine under uv light in the region of 300 to 400 nm at room temperature. an explanation of the molecular geometry for the brf5 (bromine pentafluoride) including a description of. brf5 is an interhalogen compound as it consists of one bromine and five fluorine atoms. bromine pentafluoride,. Bromine Pentafluoride Molecular Geometry.
From www.wikiwand.com
Bromine pentafluoride Wikiwand Bromine Pentafluoride Molecular Geometry In the liquid state, it is a colorless, fuming compound having a pungent odor. bromine pentafluoride or brf5 is a fluoride of bromine and an interhalogen compound which means it is made up of only halogen atoms. It is a strong fluorinating agent. Brf 5 can be prepared by treating brf 3 with fluorine under uv light in the. Bromine Pentafluoride Molecular Geometry.
From dxociljnk.blob.core.windows.net
Bromine Pentafluoride Orbital at Richelle Porter blog Bromine Pentafluoride Molecular Geometry bromine pentafluoride, br f 5, is an interhalogen compound and a fluoride of bromine. Brf 5 can be prepared by treating brf 3 with fluorine under uv light in the region of 300 to 400 nm at room temperature. In the liquid state, it is a colorless, fuming compound having a pungent odor. bromine pentafluoride or brf5 is. Bromine Pentafluoride Molecular Geometry.
From wellcometreeoflife.org
BrF3 Molecular Geometry (2021) Everything You Need to Know Bromine Pentafluoride Molecular Geometry In the liquid state, it is a colorless, fuming compound having a pungent odor. an explanation of the molecular geometry for the brf5 (bromine pentafluoride) including a description of. It is a strong fluorinating agent. Brf 5 can be prepared by treating brf 3 with fluorine under uv light in the region of 300 to 400 nm at room. Bromine Pentafluoride Molecular Geometry.
From gbu-taganskij.ru
BrF5 (Bromine Pentafluoride) Molecular Geometry, Bond, 53 OFF Bromine Pentafluoride Molecular Geometry bromine pentafluoride or brf5 is a fluoride of bromine and an interhalogen compound which means it is made up of only halogen atoms. In the liquid state, it is a colorless, fuming compound having a pungent odor. Brf 5 can be prepared by treating brf 3 with fluorine under uv light in the region of 300 to 400 nm. Bromine Pentafluoride Molecular Geometry.
From slideplayer.com
Molecular Geometry. ppt download Bromine Pentafluoride Molecular Geometry bromine pentafluoride or brf5 is a fluoride of bromine and an interhalogen compound which means it is made up of only halogen atoms. It is a strong fluorinating agent. In the liquid state, it is a colorless, fuming compound having a pungent odor. brf5 is an interhalogen compound as it consists of one bromine and five fluorine atoms.. Bromine Pentafluoride Molecular Geometry.
From www.youtube.com
AP08 Lewis Dot structure bromine pentafluoride BrF5 YouTube Bromine Pentafluoride Molecular Geometry an explanation of the molecular geometry for the brf5 (bromine pentafluoride) including a description of. In the liquid state, it is a colorless, fuming compound having a pungent odor. bromine pentafluoride, br f 5, is an interhalogen compound and a fluoride of bromine. brf5 is an interhalogen compound as it consists of one bromine and five fluorine. Bromine Pentafluoride Molecular Geometry.
From www.youtube.com
BrF3 Lewis Structure How to Draw the Lewis Structure for BrF3 YouTube Bromine Pentafluoride Molecular Geometry an explanation of the molecular geometry for the brf5 (bromine pentafluoride) including a description of. Brf 5 can be prepared by treating brf 3 with fluorine under uv light in the region of 300 to 400 nm at room temperature. bromine pentafluoride or brf5 is a fluoride of bromine and an interhalogen compound which means it is made. Bromine Pentafluoride Molecular Geometry.
From askfilo.com
What is the geometry of molecule of bromine pentafluoride? [MH CET 2014].. Bromine Pentafluoride Molecular Geometry Brf 5 can be prepared by treating brf 3 with fluorine under uv light in the region of 300 to 400 nm at room temperature. It is a strong fluorinating agent. In the liquid state, it is a colorless, fuming compound having a pungent odor. an explanation of the molecular geometry for the brf5 (bromine pentafluoride) including a description. Bromine Pentafluoride Molecular Geometry.
From www.youtube.com
Molecular Structure of Bromine Pentafluoride Using VSEPR Theory Bromine Pentafluoride Molecular Geometry It is a strong fluorinating agent. Brf 5 can be prepared by treating brf 3 with fluorine under uv light in the region of 300 to 400 nm at room temperature. an explanation of the molecular geometry for the brf5 (bromine pentafluoride) including a description of. brf5 is an interhalogen compound as it consists of one bromine and. Bromine Pentafluoride Molecular Geometry.
From dxociljnk.blob.core.windows.net
Bromine Pentafluoride Orbital at Richelle Porter blog Bromine Pentafluoride Molecular Geometry bromine pentafluoride, br f 5, is an interhalogen compound and a fluoride of bromine. In the liquid state, it is a colorless, fuming compound having a pungent odor. brf5 is an interhalogen compound as it consists of one bromine and five fluorine atoms. It is a strong fluorinating agent. bromine pentafluoride or brf5 is a fluoride of. Bromine Pentafluoride Molecular Geometry.
From www.chegg.com
Solved Draw the Lewis structure for the bromine Bromine Pentafluoride Molecular Geometry In the liquid state, it is a colorless, fuming compound having a pungent odor. bromine pentafluoride or brf5 is a fluoride of bromine and an interhalogen compound which means it is made up of only halogen atoms. bromine pentafluoride, br f 5, is an interhalogen compound and a fluoride of bromine. Brf 5 can be prepared by treating. Bromine Pentafluoride Molecular Geometry.
From imgbin.com
Bromine Pentafluoride Lewis Structure Molecular Geometry Molecule PNG Bromine Pentafluoride Molecular Geometry bromine pentafluoride, br f 5, is an interhalogen compound and a fluoride of bromine. Brf 5 can be prepared by treating brf 3 with fluorine under uv light in the region of 300 to 400 nm at room temperature. brf5 is an interhalogen compound as it consists of one bromine and five fluorine atoms. In the liquid state,. Bromine Pentafluoride Molecular Geometry.
From exoiwchxo.blob.core.windows.net
Bromine Pentafluoride Electron Geometry at Tami Craig blog Bromine Pentafluoride Molecular Geometry bromine pentafluoride, br f 5, is an interhalogen compound and a fluoride of bromine. brf5 is an interhalogen compound as it consists of one bromine and five fluorine atoms. Brf 5 can be prepared by treating brf 3 with fluorine under uv light in the region of 300 to 400 nm at room temperature. It is a strong. Bromine Pentafluoride Molecular Geometry.
From exoiwchxo.blob.core.windows.net
Bromine Pentafluoride Electron Geometry at Tami Craig blog Bromine Pentafluoride Molecular Geometry In the liquid state, it is a colorless, fuming compound having a pungent odor. It is a strong fluorinating agent. an explanation of the molecular geometry for the brf5 (bromine pentafluoride) including a description of. bromine pentafluoride, br f 5, is an interhalogen compound and a fluoride of bromine. bromine pentafluoride or brf5 is a fluoride of. Bromine Pentafluoride Molecular Geometry.
From chemistry-europe.onlinelibrary.wiley.com
Bromine Pentafluoride BrF5, the Formation of [BrF6]− Salts, and the Bromine Pentafluoride Molecular Geometry bromine pentafluoride or brf5 is a fluoride of bromine and an interhalogen compound which means it is made up of only halogen atoms. It is a strong fluorinating agent. Brf 5 can be prepared by treating brf 3 with fluorine under uv light in the region of 300 to 400 nm at room temperature. In the liquid state, it. Bromine Pentafluoride Molecular Geometry.
From www.chegg.com
Solved Draw the Lewis structure of bromine pentafluoride, Bromine Pentafluoride Molecular Geometry bromine pentafluoride or brf5 is a fluoride of bromine and an interhalogen compound which means it is made up of only halogen atoms. It is a strong fluorinating agent. bromine pentafluoride, br f 5, is an interhalogen compound and a fluoride of bromine. Brf 5 can be prepared by treating brf 3 with fluorine under uv light in. Bromine Pentafluoride Molecular Geometry.
From www.numerade.com
SOLVED Answer the questions in the table below about the shape of the Bromine Pentafluoride Molecular Geometry bromine pentafluoride or brf5 is a fluoride of bromine and an interhalogen compound which means it is made up of only halogen atoms. In the liquid state, it is a colorless, fuming compound having a pungent odor. an explanation of the molecular geometry for the brf5 (bromine pentafluoride) including a description of. bromine pentafluoride, br f 5,. Bromine Pentafluoride Molecular Geometry.
From animalia-life.club
Brf3 Molecule Bromine Pentafluoride Molecular Geometry In the liquid state, it is a colorless, fuming compound having a pungent odor. brf5 is an interhalogen compound as it consists of one bromine and five fluorine atoms. Brf 5 can be prepared by treating brf 3 with fluorine under uv light in the region of 300 to 400 nm at room temperature. an explanation of the. Bromine Pentafluoride Molecular Geometry.
From quizlet.com
What is the hybridization of the central atom in the bromine Quizlet Bromine Pentafluoride Molecular Geometry bromine pentafluoride, br f 5, is an interhalogen compound and a fluoride of bromine. brf5 is an interhalogen compound as it consists of one bromine and five fluorine atoms. an explanation of the molecular geometry for the brf5 (bromine pentafluoride) including a description of. It is a strong fluorinating agent. bromine pentafluoride or brf5 is a. Bromine Pentafluoride Molecular Geometry.
From www.numerade.com
SOLVED Draw the Lewis structure for the bromine pentafluoride (BrF5 Bromine Pentafluoride Molecular Geometry brf5 is an interhalogen compound as it consists of one bromine and five fluorine atoms. bromine pentafluoride, br f 5, is an interhalogen compound and a fluoride of bromine. It is a strong fluorinating agent. bromine pentafluoride or brf5 is a fluoride of bromine and an interhalogen compound which means it is made up of only halogen. Bromine Pentafluoride Molecular Geometry.
From alchetron.com
Bromine pentafluoride Alchetron, The Free Social Encyclopedia Bromine Pentafluoride Molecular Geometry brf5 is an interhalogen compound as it consists of one bromine and five fluorine atoms. Brf 5 can be prepared by treating brf 3 with fluorine under uv light in the region of 300 to 400 nm at room temperature. an explanation of the molecular geometry for the brf5 (bromine pentafluoride) including a description of. bromine pentafluoride,. Bromine Pentafluoride Molecular Geometry.