Agreement For Furniture And Fixtures . Free instantly download free agreement between owner and vendor for furniture template, sample & example in microsoft word (doc), pdf,. This rent agreement made at delhi on this ____ day of ___________, 202 between sh. Create a furniture rental agreement template to make sure both parties are clear on the terms. This comprehensive document outlines all the. This agreement details the sale of fittings, fixtures, and furniture from a seller to a purchaser. The seller owns the items and agrees to sell them to the purchaser. Agreement made this _____, between _____ of _____, seller, and _____ of _____, buyer. Contract for sale of furniture and fixtures. An agreement for furniture and fixtures is a legally binding contract that outlines the terms and conditions related to the purchase, sale, lease,. Sublandlord and subtenant acknowledge and agree that the sublease premises are partially furnished and.
from www.allbusinesstemplates.com
Agreement made this _____, between _____ of _____, seller, and _____ of _____, buyer. This rent agreement made at delhi on this ____ day of ___________, 202 between sh. This agreement details the sale of fittings, fixtures, and furniture from a seller to a purchaser. Contract for sale of furniture and fixtures. Create a furniture rental agreement template to make sure both parties are clear on the terms. This comprehensive document outlines all the. Sublandlord and subtenant acknowledge and agree that the sublease premises are partially furnished and. The seller owns the items and agrees to sell them to the purchaser. An agreement for furniture and fixtures is a legally binding contract that outlines the terms and conditions related to the purchase, sale, lease,. Free instantly download free agreement between owner and vendor for furniture template, sample & example in microsoft word (doc), pdf,.
Furniture Sales Contract Sample Templates at
Agreement For Furniture And Fixtures An agreement for furniture and fixtures is a legally binding contract that outlines the terms and conditions related to the purchase, sale, lease,. Contract for sale of furniture and fixtures. Create a furniture rental agreement template to make sure both parties are clear on the terms. Free instantly download free agreement between owner and vendor for furniture template, sample & example in microsoft word (doc), pdf,. An agreement for furniture and fixtures is a legally binding contract that outlines the terms and conditions related to the purchase, sale, lease,. This agreement details the sale of fittings, fixtures, and furniture from a seller to a purchaser. The seller owns the items and agrees to sell them to the purchaser. Sublandlord and subtenant acknowledge and agree that the sublease premises are partially furnished and. This comprehensive document outlines all the. This rent agreement made at delhi on this ____ day of ___________, 202 between sh. Agreement made this _____, between _____ of _____, seller, and _____ of _____, buyer.
From www.scribd.com
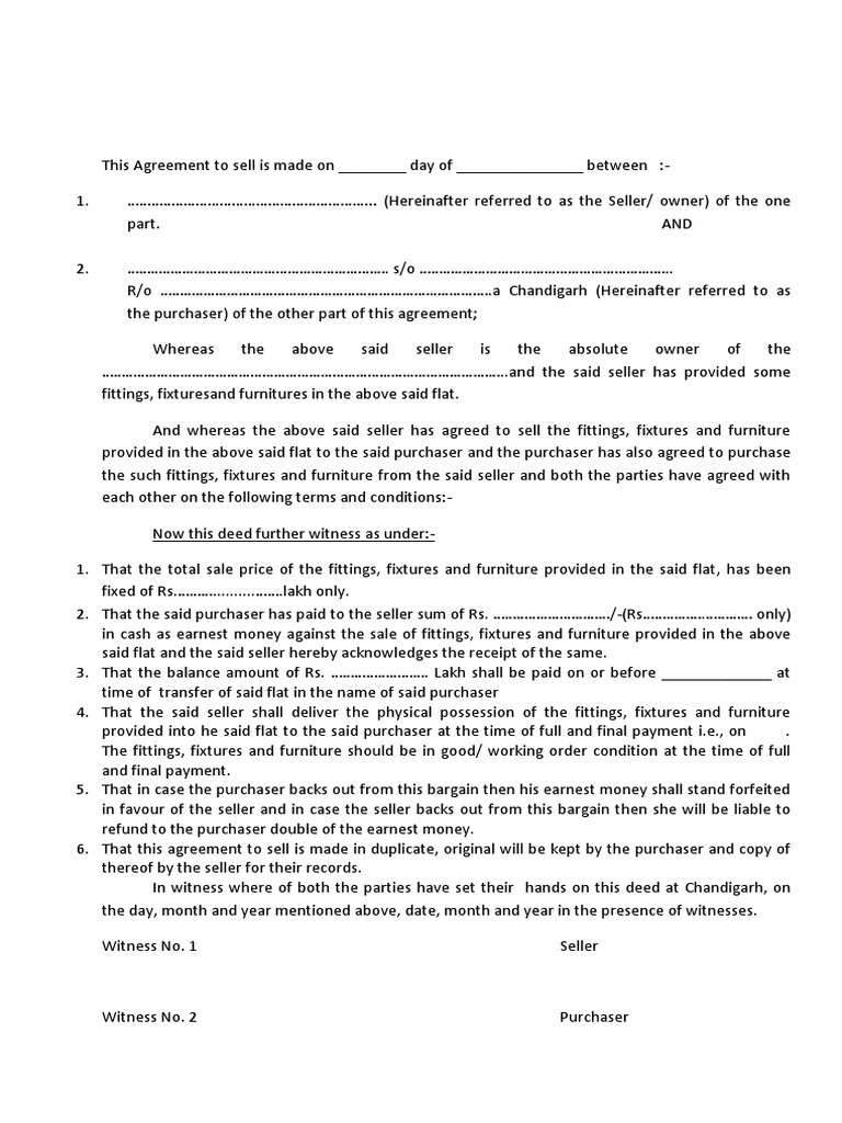
Agreement To Sell For Furnitures and Fittings PDF Private Law Agreement For Furniture And Fixtures This agreement details the sale of fittings, fixtures, and furniture from a seller to a purchaser. This comprehensive document outlines all the. Agreement made this _____, between _____ of _____, seller, and _____ of _____, buyer. Create a furniture rental agreement template to make sure both parties are clear on the terms. Contract for sale of furniture and fixtures. This. Agreement For Furniture And Fixtures.
From templates.rjuuc.edu.np
Furniture Purchase Agreement Template Agreement For Furniture And Fixtures The seller owns the items and agrees to sell them to the purchaser. An agreement for furniture and fixtures is a legally binding contract that outlines the terms and conditions related to the purchase, sale, lease,. Agreement made this _____, between _____ of _____, seller, and _____ of _____, buyer. Create a furniture rental agreement template to make sure both. Agreement For Furniture And Fixtures.
From exoqzzfwj.blob.core.windows.net
Furniture And Fixtures Agreement at David McDuffie blog Agreement For Furniture And Fixtures The seller owns the items and agrees to sell them to the purchaser. Agreement made this _____, between _____ of _____, seller, and _____ of _____, buyer. An agreement for furniture and fixtures is a legally binding contract that outlines the terms and conditions related to the purchase, sale, lease,. This comprehensive document outlines all the. Contract for sale of. Agreement For Furniture And Fixtures.
From www.template.net
Shares Agreement Templates 41+ Designs, Free Downloads Agreement For Furniture And Fixtures This rent agreement made at delhi on this ____ day of ___________, 202 between sh. Agreement made this _____, between _____ of _____, seller, and _____ of _____, buyer. An agreement for furniture and fixtures is a legally binding contract that outlines the terms and conditions related to the purchase, sale, lease,. Sublandlord and subtenant acknowledge and agree that the. Agreement For Furniture And Fixtures.
From legaltemplates.net
Furniture Bill of Sale Form Legal Templates Agreement For Furniture And Fixtures Contract for sale of furniture and fixtures. An agreement for furniture and fixtures is a legally binding contract that outlines the terms and conditions related to the purchase, sale, lease,. This agreement details the sale of fittings, fixtures, and furniture from a seller to a purchaser. This comprehensive document outlines all the. Agreement made this _____, between _____ of _____,. Agreement For Furniture And Fixtures.
From esign.com
Free Furniture Bill of Sale Form PDF Word Agreement For Furniture And Fixtures Sublandlord and subtenant acknowledge and agree that the sublease premises are partially furnished and. Contract for sale of furniture and fixtures. This rent agreement made at delhi on this ____ day of ___________, 202 between sh. This agreement details the sale of fittings, fixtures, and furniture from a seller to a purchaser. An agreement for furniture and fixtures is a. Agreement For Furniture And Fixtures.
From marketbusinessnews.com
What is furniture, fixtures and equipment (FF&E)? Definition and examples Agreement For Furniture And Fixtures Free instantly download free agreement between owner and vendor for furniture template, sample & example in microsoft word (doc), pdf,. Agreement made this _____, between _____ of _____, seller, and _____ of _____, buyer. Create a furniture rental agreement template to make sure both parties are clear on the terms. The seller owns the items and agrees to sell them. Agreement For Furniture And Fixtures.
From www.youtube.com
Furniture & Fixtures Professor Victoria Chiu YouTube Agreement For Furniture And Fixtures The seller owns the items and agrees to sell them to the purchaser. An agreement for furniture and fixtures is a legally binding contract that outlines the terms and conditions related to the purchase, sale, lease,. Agreement made this _____, between _____ of _____, seller, and _____ of _____, buyer. Free instantly download free agreement between owner and vendor for. Agreement For Furniture And Fixtures.
From esign.com
Free Improvements and Modifications Lease Addendum PDF Word Agreement For Furniture And Fixtures This agreement details the sale of fittings, fixtures, and furniture from a seller to a purchaser. Contract for sale of furniture and fixtures. Free instantly download free agreement between owner and vendor for furniture template, sample & example in microsoft word (doc), pdf,. Sublandlord and subtenant acknowledge and agree that the sublease premises are partially furnished and. This rent agreement. Agreement For Furniture And Fixtures.
From www.pdffiller.com
Fillable Online SERVICE AGREEMENT FURNITURE, FIXTURE AND EQUIPMENT Agreement For Furniture And Fixtures The seller owns the items and agrees to sell them to the purchaser. Sublandlord and subtenant acknowledge and agree that the sublease premises are partially furnished and. This rent agreement made at delhi on this ____ day of ___________, 202 between sh. An agreement for furniture and fixtures is a legally binding contract that outlines the terms and conditions related. Agreement For Furniture And Fixtures.
From www.allbusinesstemplates.com
Blank Bill Of Sale For Furniture Templates at Agreement For Furniture And Fixtures Contract for sale of furniture and fixtures. This agreement details the sale of fittings, fixtures, and furniture from a seller to a purchaser. An agreement for furniture and fixtures is a legally binding contract that outlines the terms and conditions related to the purchase, sale, lease,. Free instantly download free agreement between owner and vendor for furniture template, sample &. Agreement For Furniture And Fixtures.
From www.dexform.com
Inventory of fixtures, fittings & furnishings form in Word and Pdf formats Agreement For Furniture And Fixtures This comprehensive document outlines all the. An agreement for furniture and fixtures is a legally binding contract that outlines the terms and conditions related to the purchase, sale, lease,. This agreement details the sale of fittings, fixtures, and furniture from a seller to a purchaser. The seller owns the items and agrees to sell them to the purchaser. Free instantly. Agreement For Furniture And Fixtures.
From www.pdffiller.com
Agreement Furniture Fill Online, Printable, Fillable, Blank pdfFiller Agreement For Furniture And Fixtures Contract for sale of furniture and fixtures. Create a furniture rental agreement template to make sure both parties are clear on the terms. The seller owns the items and agrees to sell them to the purchaser. Sublandlord and subtenant acknowledge and agree that the sublease premises are partially furnished and. This comprehensive document outlines all the. Free instantly download free. Agreement For Furniture And Fixtures.
From www.scribd.com
Fitting and Fixtures Lease Agreement PDF Agreement For Furniture And Fixtures This comprehensive document outlines all the. This agreement details the sale of fittings, fixtures, and furniture from a seller to a purchaser. The seller owns the items and agrees to sell them to the purchaser. Create a furniture rental agreement template to make sure both parties are clear on the terms. This rent agreement made at delhi on this ____. Agreement For Furniture And Fixtures.
From www.united-bim.com
Case Study Revit Family Development of Furniture, Fixtures Agreement For Furniture And Fixtures Create a furniture rental agreement template to make sure both parties are clear on the terms. Free instantly download free agreement between owner and vendor for furniture template, sample & example in microsoft word (doc), pdf,. The seller owns the items and agrees to sell them to the purchaser. This agreement details the sale of fittings, fixtures, and furniture from. Agreement For Furniture And Fixtures.
From www.sampletemplates.com
FREE 21+ Simple Sales Contract Samples & Templates in PDF Google Docs Agreement For Furniture And Fixtures This rent agreement made at delhi on this ____ day of ___________, 202 between sh. This agreement details the sale of fittings, fixtures, and furniture from a seller to a purchaser. Create a furniture rental agreement template to make sure both parties are clear on the terms. Free instantly download free agreement between owner and vendor for furniture template, sample. Agreement For Furniture And Fixtures.
From www.template.net
12+ Tenancy Inventory Templates 14+ DOC, Excel, PDF Agreement For Furniture And Fixtures Contract for sale of furniture and fixtures. This agreement details the sale of fittings, fixtures, and furniture from a seller to a purchaser. Create a furniture rental agreement template to make sure both parties are clear on the terms. An agreement for furniture and fixtures is a legally binding contract that outlines the terms and conditions related to the purchase,. Agreement For Furniture And Fixtures.
From www.allbusinesstemplates.com
Furniture Purchase Contract Templates at Agreement For Furniture And Fixtures This comprehensive document outlines all the. An agreement for furniture and fixtures is a legally binding contract that outlines the terms and conditions related to the purchase, sale, lease,. Free instantly download free agreement between owner and vendor for furniture template, sample & example in microsoft word (doc), pdf,. Sublandlord and subtenant acknowledge and agree that the sublease premises are. Agreement For Furniture And Fixtures.
From www.dexform.com
Purchase and Sale Agreement for Equipment in Word and Pdf formats Agreement For Furniture And Fixtures The seller owns the items and agrees to sell them to the purchaser. This agreement details the sale of fittings, fixtures, and furniture from a seller to a purchaser. Free instantly download free agreement between owner and vendor for furniture template, sample & example in microsoft word (doc), pdf,. Agreement made this _____, between _____ of _____, seller, and _____. Agreement For Furniture And Fixtures.
From templatelab.com
40+ Free Roommate Agreement Templates & Forms (Word, PDF) Agreement For Furniture And Fixtures This agreement details the sale of fittings, fixtures, and furniture from a seller to a purchaser. Contract for sale of furniture and fixtures. Free instantly download free agreement between owner and vendor for furniture template, sample & example in microsoft word (doc), pdf,. An agreement for furniture and fixtures is a legally binding contract that outlines the terms and conditions. Agreement For Furniture And Fixtures.
From www.uslegalforms.com
Mesa Arizona Agreement for Sale of Retail Store by Sole Proprietorship Agreement For Furniture And Fixtures Contract for sale of furniture and fixtures. Sublandlord and subtenant acknowledge and agree that the sublease premises are partially furnished and. Create a furniture rental agreement template to make sure both parties are clear on the terms. This agreement details the sale of fittings, fixtures, and furniture from a seller to a purchaser. The seller owns the items and agrees. Agreement For Furniture And Fixtures.
From www.template.net
Simple Vendor Agreement Template Google Docs, Word, Apple Pages Agreement For Furniture And Fixtures This comprehensive document outlines all the. The seller owns the items and agrees to sell them to the purchaser. An agreement for furniture and fixtures is a legally binding contract that outlines the terms and conditions related to the purchase, sale, lease,. This agreement details the sale of fittings, fixtures, and furniture from a seller to a purchaser. Free instantly. Agreement For Furniture And Fixtures.
From www.akima.com
Akima Services Furniture, Fixtures and Equipment FF&E Agreement For Furniture And Fixtures Sublandlord and subtenant acknowledge and agree that the sublease premises are partially furnished and. The seller owns the items and agrees to sell them to the purchaser. Free instantly download free agreement between owner and vendor for furniture template, sample & example in microsoft word (doc), pdf,. This rent agreement made at delhi on this ____ day of ___________, 202. Agreement For Furniture And Fixtures.
From proper-cooking.info
Furniture Rental Agreement Template Agreement For Furniture And Fixtures This comprehensive document outlines all the. Contract for sale of furniture and fixtures. The seller owns the items and agrees to sell them to the purchaser. Create a furniture rental agreement template to make sure both parties are clear on the terms. Free instantly download free agreement between owner and vendor for furniture template, sample & example in microsoft word. Agreement For Furniture And Fixtures.
From www.uslegalforms.com
Furniture Lease Agreement Furniture Agreement Document US Legal Forms Agreement For Furniture And Fixtures Agreement made this _____, between _____ of _____, seller, and _____ of _____, buyer. Contract for sale of furniture and fixtures. This comprehensive document outlines all the. Create a furniture rental agreement template to make sure both parties are clear on the terms. The seller owns the items and agrees to sell them to the purchaser. This agreement details the. Agreement For Furniture And Fixtures.
From www.dochub.com
Furniture rental agreement template word Fill out & sign online DocHub Agreement For Furniture And Fixtures This comprehensive document outlines all the. Sublandlord and subtenant acknowledge and agree that the sublease premises are partially furnished and. This rent agreement made at delhi on this ____ day of ___________, 202 between sh. Agreement made this _____, between _____ of _____, seller, and _____ of _____, buyer. The seller owns the items and agrees to sell them to. Agreement For Furniture And Fixtures.
From easylegaldocs.com
Supply Agreement Template Free Download Easy Legal Docs Agreement For Furniture And Fixtures Sublandlord and subtenant acknowledge and agree that the sublease premises are partially furnished and. An agreement for furniture and fixtures is a legally binding contract that outlines the terms and conditions related to the purchase, sale, lease,. This rent agreement made at delhi on this ____ day of ___________, 202 between sh. Agreement made this _____, between _____ of _____,. Agreement For Furniture And Fixtures.
From www.printablerealestateforms.com
Contract For Furniture Purchase (FREE PRINTABLE WORD) Agreement For Furniture And Fixtures This rent agreement made at delhi on this ____ day of ___________, 202 between sh. The seller owns the items and agrees to sell them to the purchaser. Free instantly download free agreement between owner and vendor for furniture template, sample & example in microsoft word (doc), pdf,. Create a furniture rental agreement template to make sure both parties are. Agreement For Furniture And Fixtures.
From www.contrapositionmagazine.com
Warehousing Agreement Template Template 2 Resume Examples MeVRBL1RVD Agreement For Furniture And Fixtures An agreement for furniture and fixtures is a legally binding contract that outlines the terms and conditions related to the purchase, sale, lease,. This comprehensive document outlines all the. Sublandlord and subtenant acknowledge and agree that the sublease premises are partially furnished and. Agreement made this _____, between _____ of _____, seller, and _____ of _____, buyer. Free instantly download. Agreement For Furniture And Fixtures.
From www.slideteam.net
Your Investment For Electrical Fixture Services Agreement Proposal One Agreement For Furniture And Fixtures This rent agreement made at delhi on this ____ day of ___________, 202 between sh. The seller owns the items and agrees to sell them to the purchaser. Sublandlord and subtenant acknowledge and agree that the sublease premises are partially furnished and. Agreement made this _____, between _____ of _____, seller, and _____ of _____, buyer. This comprehensive document outlines. Agreement For Furniture And Fixtures.
From www.hellobonsai.com
Interior Design Contract Interior Design Agreement Bonsai Agreement For Furniture And Fixtures Free instantly download free agreement between owner and vendor for furniture template, sample & example in microsoft word (doc), pdf,. The seller owns the items and agrees to sell them to the purchaser. An agreement for furniture and fixtures is a legally binding contract that outlines the terms and conditions related to the purchase, sale, lease,. Create a furniture rental. Agreement For Furniture And Fixtures.
From www.investopedia.com
Furniture, Fixtures, and Equipment FF&E Definition Agreement For Furniture And Fixtures This rent agreement made at delhi on this ____ day of ___________, 202 between sh. Agreement made this _____, between _____ of _____, seller, and _____ of _____, buyer. The seller owns the items and agrees to sell them to the purchaser. Contract for sale of furniture and fixtures. An agreement for furniture and fixtures is a legally binding contract. Agreement For Furniture And Fixtures.
From www.signnow.com
Fixtures and Fittings List Template Edit & Share airSlate SignNow Agreement For Furniture And Fixtures Agreement made this _____, between _____ of _____, seller, and _____ of _____, buyer. An agreement for furniture and fixtures is a legally binding contract that outlines the terms and conditions related to the purchase, sale, lease,. Sublandlord and subtenant acknowledge and agree that the sublease premises are partially furnished and. Create a furniture rental agreement template to make sure. Agreement For Furniture And Fixtures.
From www.allbusinesstemplates.com
Furniture Sales Contract Sample Templates at Agreement For Furniture And Fixtures Agreement made this _____, between _____ of _____, seller, and _____ of _____, buyer. Create a furniture rental agreement template to make sure both parties are clear on the terms. This rent agreement made at delhi on this ____ day of ___________, 202 between sh. This agreement details the sale of fittings, fixtures, and furniture from a seller to a. Agreement For Furniture And Fixtures.
From www.bizzlibrary.com
Furniture Purchase Agreement Template Agreement For Furniture And Fixtures Free instantly download free agreement between owner and vendor for furniture template, sample & example in microsoft word (doc), pdf,. Sublandlord and subtenant acknowledge and agree that the sublease premises are partially furnished and. This agreement details the sale of fittings, fixtures, and furniture from a seller to a purchaser. Contract for sale of furniture and fixtures. This rent agreement. Agreement For Furniture And Fixtures.