Load On Evaporator . In dry and arid regions,. a water systems heat load in btu/h can be simplified to: = (1 btu/lbmof) ( 8.33 lbm /us gal) q (60 min/h) dt. cooling load calculations may be used to accomplish one or more of the following objectives: air conditioner heat loads and evaporator and condenser water flow rates. an evaporator is a type of heat exchanger device that facilitates evaporation by utilizing conductive and convective heat. the refrigerant, by the time it reaches the end of the evaporator, is purely in the vapor state and that too superheated. H = cp ρ q dt.
from studylib.net
H = cp ρ q dt. the refrigerant, by the time it reaches the end of the evaporator, is purely in the vapor state and that too superheated. air conditioner heat loads and evaporator and condenser water flow rates. cooling load calculations may be used to accomplish one or more of the following objectives: an evaporator is a type of heat exchanger device that facilitates evaporation by utilizing conductive and convective heat. = (1 btu/lbmof) ( 8.33 lbm /us gal) q (60 min/h) dt. In dry and arid regions,. a water systems heat load in btu/h can be simplified to:
the evaporator inlet, the refrigeration load, the COP of the... 1120
Load On Evaporator = (1 btu/lbmof) ( 8.33 lbm /us gal) q (60 min/h) dt. the refrigerant, by the time it reaches the end of the evaporator, is purely in the vapor state and that too superheated. cooling load calculations may be used to accomplish one or more of the following objectives: In dry and arid regions,. a water systems heat load in btu/h can be simplified to: H = cp ρ q dt. = (1 btu/lbmof) ( 8.33 lbm /us gal) q (60 min/h) dt. air conditioner heat loads and evaporator and condenser water flow rates. an evaporator is a type of heat exchanger device that facilitates evaporation by utilizing conductive and convective heat.
From www.alaquainc.com
Evaporator And Condenser In Your Air Conditioning System Load On Evaporator cooling load calculations may be used to accomplish one or more of the following objectives: air conditioner heat loads and evaporator and condenser water flow rates. H = cp ρ q dt. In dry and arid regions,. an evaporator is a type of heat exchanger device that facilitates evaporation by utilizing conductive and convective heat. the. Load On Evaporator.
From hvactechhangout.com
System Diagnostics — HVAC Tech Hangout Load On Evaporator a water systems heat load in btu/h can be simplified to: the refrigerant, by the time it reaches the end of the evaporator, is purely in the vapor state and that too superheated. In dry and arid regions,. air conditioner heat loads and evaporator and condenser water flow rates. = (1 btu/lbmof) ( 8.33 lbm /us gal). Load On Evaporator.
From www.achrnews.com
Identifying and Solving Insufficient Evaporator Heat Loading Problems Load On Evaporator air conditioner heat loads and evaporator and condenser water flow rates. In dry and arid regions,. an evaporator is a type of heat exchanger device that facilitates evaporation by utilizing conductive and convective heat. = (1 btu/lbmof) ( 8.33 lbm /us gal) q (60 min/h) dt. H = cp ρ q dt. the refrigerant, by the time. Load On Evaporator.
From www.youtube.com
Falling Film Evaporator Working Principle YouTube Load On Evaporator a water systems heat load in btu/h can be simplified to: air conditioner heat loads and evaporator and condenser water flow rates. cooling load calculations may be used to accomplish one or more of the following objectives: the refrigerant, by the time it reaches the end of the evaporator, is purely in the vapor state and. Load On Evaporator.
From www.researchgate.net
Annual load profile for the heat pump evaporator. Download Scientific Load On Evaporator In dry and arid regions,. H = cp ρ q dt. = (1 btu/lbmof) ( 8.33 lbm /us gal) q (60 min/h) dt. a water systems heat load in btu/h can be simplified to: the refrigerant, by the time it reaches the end of the evaporator, is purely in the vapor state and that too superheated. an. Load On Evaporator.
From www.numerade.com
SOLVED An ideal refrigeration cycle that uses Load On Evaporator H = cp ρ q dt. a water systems heat load in btu/h can be simplified to: an evaporator is a type of heat exchanger device that facilitates evaporation by utilizing conductive and convective heat. cooling load calculations may be used to accomplish one or more of the following objectives: = (1 btu/lbmof) ( 8.33 lbm /us. Load On Evaporator.
From www.researchgate.net
Evaporator heat transfer coefficient vs. heat load Download Load On Evaporator the refrigerant, by the time it reaches the end of the evaporator, is purely in the vapor state and that too superheated. an evaporator is a type of heat exchanger device that facilitates evaporation by utilizing conductive and convective heat. air conditioner heat loads and evaporator and condenser water flow rates. = (1 btu/lbmof) ( 8.33 lbm. Load On Evaporator.
From youtube.com
Fixing a warm Amana bottommount refrigerator, Pt. 4 Freezer and Load On Evaporator a water systems heat load in btu/h can be simplified to: In dry and arid regions,. = (1 btu/lbmof) ( 8.33 lbm /us gal) q (60 min/h) dt. cooling load calculations may be used to accomplish one or more of the following objectives: an evaporator is a type of heat exchanger device that facilitates evaporation by utilizing. Load On Evaporator.
From www.youtube.com
TripleEffect Evaporator Backward Feed YouTube Load On Evaporator the refrigerant, by the time it reaches the end of the evaporator, is purely in the vapor state and that too superheated. In dry and arid regions,. H = cp ρ q dt. an evaporator is a type of heat exchanger device that facilitates evaporation by utilizing conductive and convective heat. cooling load calculations may be used. Load On Evaporator.
From justknowhat.blogspot.com
What is Evaporators and Chillers Classification,Types & Application Load On Evaporator a water systems heat load in btu/h can be simplified to: the refrigerant, by the time it reaches the end of the evaporator, is purely in the vapor state and that too superheated. cooling load calculations may be used to accomplish one or more of the following objectives: H = cp ρ q dt. an evaporator. Load On Evaporator.
From www.youtube.com
Install Energy Efficient Evaporator Fan Motors (WalkIn Refrigeration Load On Evaporator a water systems heat load in btu/h can be simplified to: air conditioner heat loads and evaporator and condenser water flow rates. H = cp ρ q dt. the refrigerant, by the time it reaches the end of the evaporator, is purely in the vapor state and that too superheated. In dry and arid regions,. an. Load On Evaporator.
From www.chegg.com
Solved A twoevaporator compression refrigeration system as Load On Evaporator an evaporator is a type of heat exchanger device that facilitates evaporation by utilizing conductive and convective heat. = (1 btu/lbmof) ( 8.33 lbm /us gal) q (60 min/h) dt. H = cp ρ q dt. In dry and arid regions,. cooling load calculations may be used to accomplish one or more of the following objectives: air. Load On Evaporator.
From www.numerade.com
SOLVED A twoevaporator compression refrigeration system, as shown in Load On Evaporator air conditioner heat loads and evaporator and condenser water flow rates. H = cp ρ q dt. a water systems heat load in btu/h can be simplified to: cooling load calculations may be used to accomplish one or more of the following objectives: = (1 btu/lbmof) ( 8.33 lbm /us gal) q (60 min/h) dt. the. Load On Evaporator.
From gehde.com.au
Split System vs Evaporative Cooling What is the difference? Gehde Load On Evaporator an evaporator is a type of heat exchanger device that facilitates evaporation by utilizing conductive and convective heat. the refrigerant, by the time it reaches the end of the evaporator, is purely in the vapor state and that too superheated. a water systems heat load in btu/h can be simplified to: cooling load calculations may be. Load On Evaporator.
From www.edrawmax.com
Multieffect Evaporator Diagram EdrawMax Template Load On Evaporator In dry and arid regions,. cooling load calculations may be used to accomplish one or more of the following objectives: H = cp ρ q dt. the refrigerant, by the time it reaches the end of the evaporator, is purely in the vapor state and that too superheated. a water systems heat load in btu/h can be. Load On Evaporator.
From studylib.net
the evaporator inlet, the refrigeration load, the COP of the... 1120 Load On Evaporator In dry and arid regions,. the refrigerant, by the time it reaches the end of the evaporator, is purely in the vapor state and that too superheated. H = cp ρ q dt. = (1 btu/lbmof) ( 8.33 lbm /us gal) q (60 min/h) dt. cooling load calculations may be used to accomplish one or more of the. Load On Evaporator.
From refindustry.com
Refrigeration Evaporators Load On Evaporator cooling load calculations may be used to accomplish one or more of the following objectives: = (1 btu/lbmof) ( 8.33 lbm /us gal) q (60 min/h) dt. In dry and arid regions,. a water systems heat load in btu/h can be simplified to: air conditioner heat loads and evaporator and condenser water flow rates. the refrigerant,. Load On Evaporator.
From youtube.com
HVAC Automotive Evaporator YouTube Load On Evaporator an evaporator is a type of heat exchanger device that facilitates evaporation by utilizing conductive and convective heat. H = cp ρ q dt. cooling load calculations may be used to accomplish one or more of the following objectives: the refrigerant, by the time it reaches the end of the evaporator, is purely in the vapor state. Load On Evaporator.
From www.alaquainc.com
How do evaporators work for thermal evaporation? Load On Evaporator In dry and arid regions,. a water systems heat load in btu/h can be simplified to: = (1 btu/lbmof) ( 8.33 lbm /us gal) q (60 min/h) dt. an evaporator is a type of heat exchanger device that facilitates evaporation by utilizing conductive and convective heat. air conditioner heat loads and evaporator and condenser water flow rates.. Load On Evaporator.
From www.chegg.com
Mechanical Engineering Archive April 02, 2017 Load On Evaporator an evaporator is a type of heat exchanger device that facilitates evaporation by utilizing conductive and convective heat. In dry and arid regions,. air conditioner heat loads and evaporator and condenser water flow rates. H = cp ρ q dt. a water systems heat load in btu/h can be simplified to: cooling load calculations may be. Load On Evaporator.
From udvajalaxy1fixengine.z13.web.core.windows.net
2005 Chevy Silverado Evap System Load On Evaporator In dry and arid regions,. air conditioner heat loads and evaporator and condenser water flow rates. a water systems heat load in btu/h can be simplified to: an evaporator is a type of heat exchanger device that facilitates evaporation by utilizing conductive and convective heat. = (1 btu/lbmof) ( 8.33 lbm /us gal) q (60 min/h) dt.. Load On Evaporator.
From www.numerade.com
SOLVED a = 0 A twoevaporator compression system, as shown in the Load On Evaporator H = cp ρ q dt. In dry and arid regions,. the refrigerant, by the time it reaches the end of the evaporator, is purely in the vapor state and that too superheated. a water systems heat load in btu/h can be simplified to: air conditioner heat loads and evaporator and condenser water flow rates. = (1. Load On Evaporator.
From www.chegg.com
Solved A twoevaporator compression refrigeration system as Load On Evaporator cooling load calculations may be used to accomplish one or more of the following objectives: = (1 btu/lbmof) ( 8.33 lbm /us gal) q (60 min/h) dt. a water systems heat load in btu/h can be simplified to: H = cp ρ q dt. an evaporator is a type of heat exchanger device that facilitates evaporation by. Load On Evaporator.
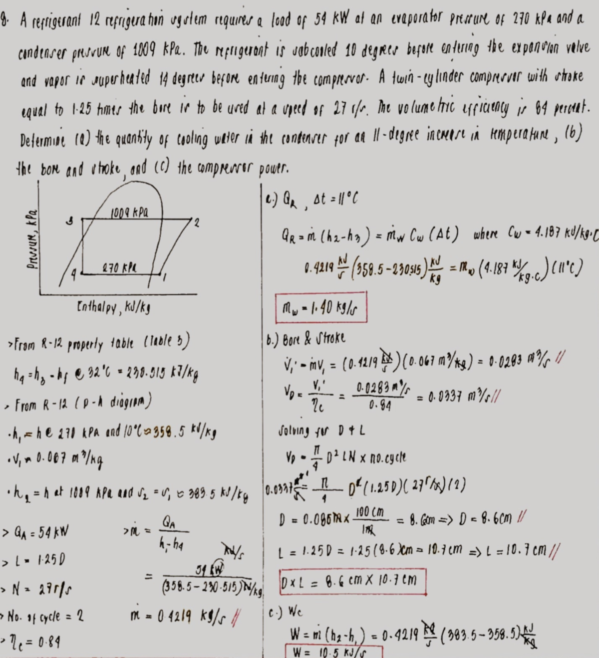
From www.studocu.com
RS 3 A refrigerant 12 refrigeration system requires a load of 54 kW Load On Evaporator H = cp ρ q dt. air conditioner heat loads and evaporator and condenser water flow rates. a water systems heat load in btu/h can be simplified to: cooling load calculations may be used to accomplish one or more of the following objectives: the refrigerant, by the time it reaches the end of the evaporator, is. Load On Evaporator.
From dairyprocessinghandbook.com
Evaporators Dairy Processing Handbook Load On Evaporator = (1 btu/lbmof) ( 8.33 lbm /us gal) q (60 min/h) dt. H = cp ρ q dt. a water systems heat load in btu/h can be simplified to: cooling load calculations may be used to accomplish one or more of the following objectives: an evaporator is a type of heat exchanger device that facilitates evaporation by. Load On Evaporator.
From www.youtube.com
lecture 4 Components of refrigeration system Load On Evaporator an evaporator is a type of heat exchanger device that facilitates evaporation by utilizing conductive and convective heat. H = cp ρ q dt. In dry and arid regions,. the refrigerant, by the time it reaches the end of the evaporator, is purely in the vapor state and that too superheated. = (1 btu/lbmof) ( 8.33 lbm /us. Load On Evaporator.
From www.chegg.com
Solved A twoevaporator compression refrigeration system as Load On Evaporator the refrigerant, by the time it reaches the end of the evaporator, is purely in the vapor state and that too superheated. cooling load calculations may be used to accomplish one or more of the following objectives: H = cp ρ q dt. an evaporator is a type of heat exchanger device that facilitates evaporation by utilizing. Load On Evaporator.
From fixmachinemomentarxs.z13.web.core.windows.net
Ford Escape Evap Pressure Sensor Load On Evaporator an evaporator is a type of heat exchanger device that facilitates evaporation by utilizing conductive and convective heat. a water systems heat load in btu/h can be simplified to: the refrigerant, by the time it reaches the end of the evaporator, is purely in the vapor state and that too superheated. In dry and arid regions,. . Load On Evaporator.
From www.numerade.com
SOLVED A twoevaporator compression refrigeration system, as shown in Load On Evaporator = (1 btu/lbmof) ( 8.33 lbm /us gal) q (60 min/h) dt. cooling load calculations may be used to accomplish one or more of the following objectives: In dry and arid regions,. air conditioner heat loads and evaporator and condenser water flow rates. a water systems heat load in btu/h can be simplified to: H = cp. Load On Evaporator.
From www.youtube.com
How to replace an evaporator coil step by step YouTube Load On Evaporator = (1 btu/lbmof) ( 8.33 lbm /us gal) q (60 min/h) dt. cooling load calculations may be used to accomplish one or more of the following objectives: air conditioner heat loads and evaporator and condenser water flow rates. an evaporator is a type of heat exchanger device that facilitates evaporation by utilizing conductive and convective heat. In. Load On Evaporator.
From www.youtube.com
CONDENSER VS EVAPORATOR (DIFFERENCE) ! LEARN AND GROW YouTube Load On Evaporator an evaporator is a type of heat exchanger device that facilitates evaporation by utilizing conductive and convective heat. a water systems heat load in btu/h can be simplified to: In dry and arid regions,. cooling load calculations may be used to accomplish one or more of the following objectives: the refrigerant, by the time it reaches. Load On Evaporator.
From www.youtube.com
SingleEffect Evaporator Heat Transfer Area YouTube Load On Evaporator air conditioner heat loads and evaporator and condenser water flow rates. cooling load calculations may be used to accomplish one or more of the following objectives: In dry and arid regions,. an evaporator is a type of heat exchanger device that facilitates evaporation by utilizing conductive and convective heat. a water systems heat load in btu/h. Load On Evaporator.
From sites.austincc.edu
Lab equipment Heating, Air Conditioning and Refrigeration Technology Load On Evaporator the refrigerant, by the time it reaches the end of the evaporator, is purely in the vapor state and that too superheated. cooling load calculations may be used to accomplish one or more of the following objectives: In dry and arid regions,. an evaporator is a type of heat exchanger device that facilitates evaporation by utilizing conductive. Load On Evaporator.
From www.youtube.com
Evaporator Pressure Regulator (EPR) YouTube Load On Evaporator air conditioner heat loads and evaporator and condenser water flow rates. the refrigerant, by the time it reaches the end of the evaporator, is purely in the vapor state and that too superheated. cooling load calculations may be used to accomplish one or more of the following objectives: an evaporator is a type of heat exchanger. Load On Evaporator.
From www.youtube.com
evaporator coil in a residential air conditioning system YouTube Load On Evaporator a water systems heat load in btu/h can be simplified to: In dry and arid regions,. = (1 btu/lbmof) ( 8.33 lbm /us gal) q (60 min/h) dt. H = cp ρ q dt. cooling load calculations may be used to accomplish one or more of the following objectives: an evaporator is a type of heat exchanger. Load On Evaporator.