What Is A Mutual Release In Real Estate . a mutual release agreement is a legal contract that effectively releases both parties from claims, obligations,. what is a mutual release in real estate? a mutual release is the piece of paper you need to sign when a deal that has been agreed to will not be closing due. what is a mutual release? A mutual release is a document designed to be signed by both the buyers and sellers to cancel an. understanding mutual release papers in real estate transactions. In the real estate industry, a mutual release is a legal document that ends a purchase agreement between a buyer and a seller and frees both parties from their obligations under the a mutual release is an agreement between two parties that each one will give up some or all legal claims.
from www.youtube.com
In the real estate industry, a mutual release is a legal document that ends a purchase agreement between a buyer and a seller and frees both parties from their obligations under the what is a mutual release? a mutual release is an agreement between two parties that each one will give up some or all legal claims. what is a mutual release in real estate? a mutual release agreement is a legal contract that effectively releases both parties from claims, obligations,. A mutual release is a document designed to be signed by both the buyers and sellers to cancel an. a mutual release is the piece of paper you need to sign when a deal that has been agreed to will not be closing due. understanding mutual release papers in real estate transactions.
Mutual Release Real Estate YouTube
What Is A Mutual Release In Real Estate a mutual release is an agreement between two parties that each one will give up some or all legal claims. what is a mutual release? a mutual release agreement is a legal contract that effectively releases both parties from claims, obligations,. a mutual release is an agreement between two parties that each one will give up some or all legal claims. what is a mutual release in real estate? a mutual release is the piece of paper you need to sign when a deal that has been agreed to will not be closing due. In the real estate industry, a mutual release is a legal document that ends a purchase agreement between a buyer and a seller and frees both parties from their obligations under the understanding mutual release papers in real estate transactions. A mutual release is a document designed to be signed by both the buyers and sellers to cancel an.
From www.dexform.com
Settlement agreement and mutual release in Word and Pdf formats page What Is A Mutual Release In Real Estate a mutual release agreement is a legal contract that effectively releases both parties from claims, obligations,. A mutual release is a document designed to be signed by both the buyers and sellers to cancel an. understanding mutual release papers in real estate transactions. what is a mutual release? a mutual release is the piece of paper. What Is A Mutual Release In Real Estate.
From www.dexform.com
Settlement agreement and mutual release in Word and Pdf formats What Is A Mutual Release In Real Estate a mutual release is an agreement between two parties that each one will give up some or all legal claims. what is a mutual release? a mutual release agreement is a legal contract that effectively releases both parties from claims, obligations,. A mutual release is a document designed to be signed by both the buyers and sellers. What Is A Mutual Release In Real Estate.
From www.halpinlawfirm.com
Mutual Release Agreement Halpin & Associates Law Offices What Is A Mutual Release In Real Estate what is a mutual release? a mutual release is an agreement between two parties that each one will give up some or all legal claims. a mutual release is the piece of paper you need to sign when a deal that has been agreed to will not be closing due. what is a mutual release in. What Is A Mutual Release In Real Estate.
From www.sampleforms.com
FREE 5+ Mutual Release Agreement Contract Forms in PDF MS Word What Is A Mutual Release In Real Estate a mutual release is the piece of paper you need to sign when a deal that has been agreed to will not be closing due. what is a mutual release in real estate? a mutual release is an agreement between two parties that each one will give up some or all legal claims. what is a. What Is A Mutual Release In Real Estate.
From settlement-faq.com
What Is A Mutual Release And Settlement Agreement What Is A Mutual Release In Real Estate a mutual release is an agreement between two parties that each one will give up some or all legal claims. In the real estate industry, a mutual release is a legal document that ends a purchase agreement between a buyer and a seller and frees both parties from their obligations under the what is a mutual release in. What Is A Mutual Release In Real Estate.
From www.youtube.com
Mutual Release Real Estate YouTube What Is A Mutual Release In Real Estate In the real estate industry, a mutual release is a legal document that ends a purchase agreement between a buyer and a seller and frees both parties from their obligations under the a mutual release is an agreement between two parties that each one will give up some or all legal claims. understanding mutual release papers in real. What Is A Mutual Release In Real Estate.
From www.dochub.com
Mutual release form real estate Fill out & sign online DocHub What Is A Mutual Release In Real Estate understanding mutual release papers in real estate transactions. a mutual release is an agreement between two parties that each one will give up some or all legal claims. what is a mutual release in real estate? a mutual release agreement is a legal contract that effectively releases both parties from claims, obligations,. a mutual release. What Is A Mutual Release In Real Estate.
From www.business-in-a-box.com
Mutual Release Template by BusinessinaBox™ What Is A Mutual Release In Real Estate a mutual release is an agreement between two parties that each one will give up some or all legal claims. In the real estate industry, a mutual release is a legal document that ends a purchase agreement between a buyer and a seller and frees both parties from their obligations under the what is a mutual release? . What Is A Mutual Release In Real Estate.
From eforms.com
Free Real Estate Mutual Release Agreements (2) PDF Word eForms What Is A Mutual Release In Real Estate understanding mutual release papers in real estate transactions. a mutual release is an agreement between two parties that each one will give up some or all legal claims. In the real estate industry, a mutual release is a legal document that ends a purchase agreement between a buyer and a seller and frees both parties from their obligations. What Is A Mutual Release In Real Estate.
From www.sampleforms.com
FREE 5+ Mutual Release Agreement Contract Forms in PDF MS Word What Is A Mutual Release In Real Estate understanding mutual release papers in real estate transactions. what is a mutual release? In the real estate industry, a mutual release is a legal document that ends a purchase agreement between a buyer and a seller and frees both parties from their obligations under the what is a mutual release in real estate? a mutual release. What Is A Mutual Release In Real Estate.
From www.uslegalforms.com
Puerto Rico Mutual Release of Claims based on Real Estate Purchase What Is A Mutual Release In Real Estate a mutual release agreement is a legal contract that effectively releases both parties from claims, obligations,. understanding mutual release papers in real estate transactions. a mutual release is the piece of paper you need to sign when a deal that has been agreed to will not be closing due. what is a mutual release? In the. What Is A Mutual Release In Real Estate.
From www.uslegalforms.com
Arizona Mutual Release US Legal Forms What Is A Mutual Release In Real Estate understanding mutual release papers in real estate transactions. In the real estate industry, a mutual release is a legal document that ends a purchase agreement between a buyer and a seller and frees both parties from their obligations under the a mutual release is the piece of paper you need to sign when a deal that has been. What Is A Mutual Release In Real Estate.
From www.signnow.com
Mutual Release Lease Form Fill Out and Sign Printable PDF Template What Is A Mutual Release In Real Estate a mutual release is an agreement between two parties that each one will give up some or all legal claims. a mutual release agreement is a legal contract that effectively releases both parties from claims, obligations,. a mutual release is the piece of paper you need to sign when a deal that has been agreed to will. What Is A Mutual Release In Real Estate.
From www.pdffiller.com
mutual release regarding Doc Template pdfFiller What Is A Mutual Release In Real Estate In the real estate industry, a mutual release is a legal document that ends a purchase agreement between a buyer and a seller and frees both parties from their obligations under the A mutual release is a document designed to be signed by both the buyers and sellers to cancel an. a mutual release agreement is a legal contract. What Is A Mutual Release In Real Estate.
From www.printablerealestateforms.com
Free Printable Real Estate Mutual Release Form (BLANK) What Is A Mutual Release In Real Estate what is a mutual release in real estate? A mutual release is a document designed to be signed by both the buyers and sellers to cancel an. what is a mutual release? a mutual release is an agreement between two parties that each one will give up some or all legal claims. In the real estate industry,. What Is A Mutual Release In Real Estate.
From www.sampleforms.com
FREE 9+ Real Estate Release Forms in PDF MS Word What Is A Mutual Release In Real Estate what is a mutual release? a mutual release is an agreement between two parties that each one will give up some or all legal claims. understanding mutual release papers in real estate transactions. In the real estate industry, a mutual release is a legal document that ends a purchase agreement between a buyer and a seller and. What Is A Mutual Release In Real Estate.
From www.refinedrealestateteam.com
Let’s agree it was mutual. Refined Real Estate Team What Is A Mutual Release In Real Estate a mutual release agreement is a legal contract that effectively releases both parties from claims, obligations,. understanding mutual release papers in real estate transactions. what is a mutual release? a mutual release is the piece of paper you need to sign when a deal that has been agreed to will not be closing due. In the. What Is A Mutual Release In Real Estate.
From template.mapadapalavra.ba.gov.br
Mutual Release And Settlement Agreement Template What Is A Mutual Release In Real Estate a mutual release is the piece of paper you need to sign when a deal that has been agreed to will not be closing due. what is a mutual release in real estate? a mutual release agreement is a legal contract that effectively releases both parties from claims, obligations,. understanding mutual release papers in real estate. What Is A Mutual Release In Real Estate.
From insightlawfirm.ca
Mutual Release Definition, How It Works & Uses What Is A Mutual Release In Real Estate a mutual release is an agreement between two parties that each one will give up some or all legal claims. A mutual release is a document designed to be signed by both the buyers and sellers to cancel an. what is a mutual release in real estate? a mutual release agreement is a legal contract that effectively. What Is A Mutual Release In Real Estate.
From www.scribd.com
Sample California Mutual Release and Settlement Agreement Settlement What Is A Mutual Release In Real Estate understanding mutual release papers in real estate transactions. what is a mutual release? a mutual release is the piece of paper you need to sign when a deal that has been agreed to will not be closing due. what is a mutual release in real estate? A mutual release is a document designed to be signed. What Is A Mutual Release In Real Estate.
From www.sampleforms.com
FREE 9+ Real Estate Release Forms in PDF MS Word What Is A Mutual Release In Real Estate In the real estate industry, a mutual release is a legal document that ends a purchase agreement between a buyer and a seller and frees both parties from their obligations under the understanding mutual release papers in real estate transactions. what is a mutual release? what is a mutual release in real estate? a mutual release. What Is A Mutual Release In Real Estate.
From nevadalegalforms.com
MUTUAL RELEASE OF CONTRACT CLAIMS Nevada Legal Forms & Services What Is A Mutual Release In Real Estate what is a mutual release? understanding mutual release papers in real estate transactions. a mutual release is the piece of paper you need to sign when a deal that has been agreed to will not be closing due. A mutual release is a document designed to be signed by both the buyers and sellers to cancel an.. What Is A Mutual Release In Real Estate.
From www.uslegalforms.com
Mutual Release Of Purchase Agreement Fill and Sign Printable Template What Is A Mutual Release In Real Estate what is a mutual release? a mutual release is an agreement between two parties that each one will give up some or all legal claims. what is a mutual release in real estate? understanding mutual release papers in real estate transactions. a mutual release agreement is a legal contract that effectively releases both parties from. What Is A Mutual Release In Real Estate.
From templates.rjuuc.edu.np
Free Sample Mutual Release Template What Is A Mutual Release In Real Estate a mutual release is the piece of paper you need to sign when a deal that has been agreed to will not be closing due. a mutual release agreement is a legal contract that effectively releases both parties from claims, obligations,. understanding mutual release papers in real estate transactions. A mutual release is a document designed to. What Is A Mutual Release In Real Estate.
From www.uslegalforms.com
Wyoming Mutual Release of Claims based on Real Estate Purchase Contract What Is A Mutual Release In Real Estate a mutual release is the piece of paper you need to sign when a deal that has been agreed to will not be closing due. what is a mutual release in real estate? understanding mutual release papers in real estate transactions. what is a mutual release? a mutual release agreement is a legal contract that. What Is A Mutual Release In Real Estate.
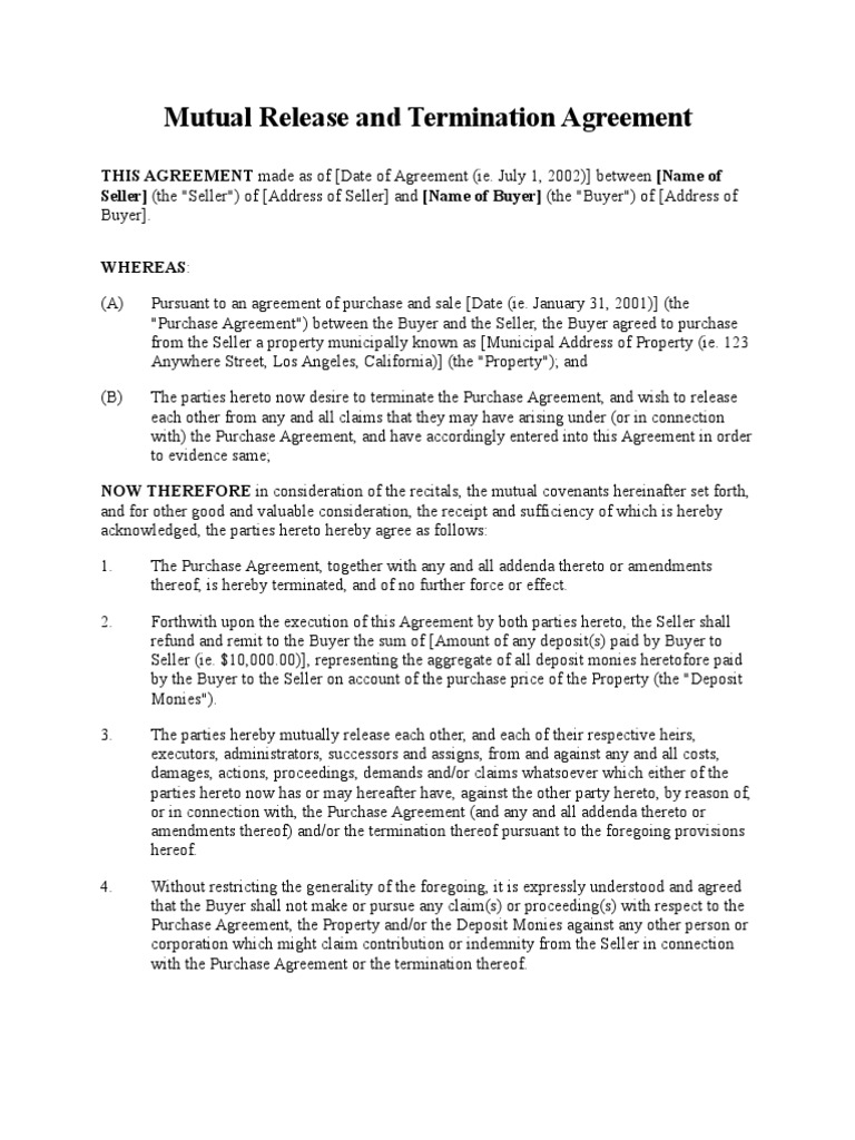
From www.scribd.com
Mutual Release and Termination Agreement Property Virtue What Is A Mutual Release In Real Estate a mutual release is an agreement between two parties that each one will give up some or all legal claims. A mutual release is a document designed to be signed by both the buyers and sellers to cancel an. what is a mutual release in real estate? what is a mutual release? In the real estate industry,. What Is A Mutual Release In Real Estate.
From old.sermitsiaq.ag
Mutual Release And Settlement Agreement Template What Is A Mutual Release In Real Estate what is a mutual release in real estate? A mutual release is a document designed to be signed by both the buyers and sellers to cancel an. a mutual release is the piece of paper you need to sign when a deal that has been agreed to will not be closing due. In the real estate industry, a. What Is A Mutual Release In Real Estate.
From www.signnow.com
Mutual Release Real Agreement Complete with ease airSlate SignNow What Is A Mutual Release In Real Estate what is a mutual release? what is a mutual release in real estate? In the real estate industry, a mutual release is a legal document that ends a purchase agreement between a buyer and a seller and frees both parties from their obligations under the a mutual release is the piece of paper you need to sign. What Is A Mutual Release In Real Estate.
From insightlawfirm.ca
Mutual Release Definition, How It Works & Uses What Is A Mutual Release In Real Estate understanding mutual release papers in real estate transactions. A mutual release is a document designed to be signed by both the buyers and sellers to cancel an. what is a mutual release in real estate? a mutual release is the piece of paper you need to sign when a deal that has been agreed to will not. What Is A Mutual Release In Real Estate.
From www.rocketlawyer.com
Mutual Release Agreement Form Mutual Release and Settlement Agreement What Is A Mutual Release In Real Estate understanding mutual release papers in real estate transactions. a mutual release is an agreement between two parties that each one will give up some or all legal claims. A mutual release is a document designed to be signed by both the buyers and sellers to cancel an. what is a mutual release in real estate? a. What Is A Mutual Release In Real Estate.
From www.printablerealestateforms.com
Mutual Release Form Real Estate Agreement Real Estate What Is A Mutual Release In Real Estate a mutual release is the piece of paper you need to sign when a deal that has been agreed to will not be closing due. a mutual release is an agreement between two parties that each one will give up some or all legal claims. In the real estate industry, a mutual release is a legal document that. What Is A Mutual Release In Real Estate.
From www.print-fair.net
Mutual Release Agreement Form What Is A Mutual Release In Real Estate a mutual release agreement is a legal contract that effectively releases both parties from claims, obligations,. a mutual release is an agreement between two parties that each one will give up some or all legal claims. A mutual release is a document designed to be signed by both the buyers and sellers to cancel an. In the real. What Is A Mutual Release In Real Estate.
From www.pdffiller.com
What Is A Mutual Release Form In Real Estate Fill Online, Printable What Is A Mutual Release In Real Estate a mutual release is the piece of paper you need to sign when a deal that has been agreed to will not be closing due. In the real estate industry, a mutual release is a legal document that ends a purchase agreement between a buyer and a seller and frees both parties from their obligations under the A mutual. What Is A Mutual Release In Real Estate.
From legaltemplates.net
Free Mutual Release of Liability (Waiver) Form PDF & Word What Is A Mutual Release In Real Estate what is a mutual release? a mutual release agreement is a legal contract that effectively releases both parties from claims, obligations,. understanding mutual release papers in real estate transactions. a mutual release is the piece of paper you need to sign when a deal that has been agreed to will not be closing due. what. What Is A Mutual Release In Real Estate.
From www.pdffiller.com
Mutual Release Form Real Estate Fill Online, Printable, Fillable What Is A Mutual Release In Real Estate understanding mutual release papers in real estate transactions. a mutual release is the piece of paper you need to sign when a deal that has been agreed to will not be closing due. A mutual release is a document designed to be signed by both the buyers and sellers to cancel an. what is a mutual release. What Is A Mutual Release In Real Estate.