A Football Kicker Is Attempting A Field Goal From . A football kicker is attempting a field goal from 44 m out. We can use these to find the horizontal component of the. 21) a football kicker is attempting a field goal from 44 m out. The ball is kicked and just clears the lower bar with a time of flight of 2.9 s. The ball is kicked and just clears the lower bar with a time of flight of 2.9. Teams will attempt field goals when they get close to scoring a touchdown but do not. A football kicker is attempting a field goal from 25.0 m out. The ball is kicked and just clears the lower bar with a time of flight of 2.9 s. The ball is kicked and just clears the lower bar with a time of flight of. If the angle of the kick was 45, what was the. We know the horizontal distance (44m) and the time of flight (2.9s). The ball is kicked and just clears the lower bar with a time of flight of. Solution for a football kicker is attempting a field goal from 44 m out. A football kicker is attempting a field goal from 44m out. One of the more common plays that you will see in football is a kicker attempting a field goal.
from coachingkidz.com
The ball is kicked and just clears the lower bar with a time of flight of 2.9. The ball is kicked and just clears the lower bar with a time of flight of 2.9 s. The ball is kicked and just clears the lower bar with a time of flight of 2.9 s. If the angle of the kick was 45, what was the. We can use these to find the horizontal component of the. One of the more common plays that you will see in football is a kicker attempting a field goal. The ball is kicked and just clears the lower bar with a time of flight of. We know the horizontal distance (44m) and the time of flight (2.9s). The ball is kicked and just clears the lower bar with a time of flight of. Solution for a football kicker is attempting a field goal from 44 m out.
What Is Roughing the Kicker in Football? A Rule Explanation Coaching Kidz
A Football Kicker Is Attempting A Field Goal From If the angle of the kick was 45, what was the. If the angle of the kick was 45, what was the. 21) a football kicker is attempting a field goal from 44 m out. A football kicker is attempting a field goal from 44m out. A football kicker is attempting a field goal from 25.0 m out. We know the horizontal distance (44m) and the time of flight (2.9s). The ball is kicked and just clears the lower bar with a time of flight of 2.9 s. Teams will attempt field goals when they get close to scoring a touchdown but do not. The ball is kicked and just clears the lower bar with a time of flight of 2.9. One of the more common plays that you will see in football is a kicker attempting a field goal. The ball is kicked and just clears the lower bar with a time of flight of. The ball is kicked and just clears the lower bar with a time of flight of. The ball is kicked and just clears the lower bar with a time of flight of 2.9 s. We can use these to find the horizontal component of the. A football kicker is attempting a field goal from 44 m out. Solution for a football kicker is attempting a field goal from 44 m out.
From www.atlantanewsfirst.com
Atlanta native, Ga. Tech alum kicks Chiefs’ gamewinning field goal A Football Kicker Is Attempting A Field Goal From The ball is kicked and just clears the lower bar with a time of flight of. The ball is kicked and just clears the lower bar with a time of flight of 2.9. A football kicker is attempting a field goal from 44 m out. Solution for a football kicker is attempting a field goal from 44 m out. 21). A Football Kicker Is Attempting A Field Goal From.
From www.youtube.com
Attempting Field Goals NFL Kickers Missed YouTube A Football Kicker Is Attempting A Field Goal From The ball is kicked and just clears the lower bar with a time of flight of 2.9. One of the more common plays that you will see in football is a kicker attempting a field goal. The ball is kicked and just clears the lower bar with a time of flight of. The ball is kicked and just clears the. A Football Kicker Is Attempting A Field Goal From.
From www.numerade.com
A football kicker is attempting a field goal from 44m out. The ball is A Football Kicker Is Attempting A Field Goal From A football kicker is attempting a field goal from 44m out. One of the more common plays that you will see in football is a kicker attempting a field goal. 21) a football kicker is attempting a field goal from 44 m out. A football kicker is attempting a field goal from 44 m out. We can use these to. A Football Kicker Is Attempting A Field Goal From.
From thespun.com
College Football Kicker Just Had The Worst Field Goal Attempt Of 2023 A Football Kicker Is Attempting A Field Goal From 21) a football kicker is attempting a field goal from 44 m out. Solution for a football kicker is attempting a field goal from 44 m out. If the angle of the kick was 45, what was the. Teams will attempt field goals when they get close to scoring a touchdown but do not. One of the more common plays. A Football Kicker Is Attempting A Field Goal From.
From www.alamy.com
Football player practices kicking football into a net prior to A Football Kicker Is Attempting A Field Goal From We can use these to find the horizontal component of the. The ball is kicked and just clears the lower bar with a time of flight of 2.9 s. The ball is kicked and just clears the lower bar with a time of flight of. The ball is kicked and just clears the lower bar with a time of flight. A Football Kicker Is Attempting A Field Goal From.
From jugeote.media
Le Super Bowl LVI pour les Nuls Jugeote A Football Kicker Is Attempting A Field Goal From 21) a football kicker is attempting a field goal from 44 m out. The ball is kicked and just clears the lower bar with a time of flight of. We know the horizontal distance (44m) and the time of flight (2.9s). We can use these to find the horizontal component of the. The ball is kicked and just clears the. A Football Kicker Is Attempting A Field Goal From.
From www.youtube.com
A football kicker is attempting a field goal from 44 m out. The ball is A Football Kicker Is Attempting A Field Goal From 21) a football kicker is attempting a field goal from 44 m out. The ball is kicked and just clears the lower bar with a time of flight of 2.9. We can use these to find the horizontal component of the. One of the more common plays that you will see in football is a kicker attempting a field goal.. A Football Kicker Is Attempting A Field Goal From.
From dailyiowan.com
Iowa football kicker Drew Stevens sets personal record with 54yard A Football Kicker Is Attempting A Field Goal From A football kicker is attempting a field goal from 25.0 m out. The ball is kicked and just clears the lower bar with a time of flight of 2.9 s. One of the more common plays that you will see in football is a kicker attempting a field goal. A football kicker is attempting a field goal from 44 m. A Football Kicker Is Attempting A Field Goal From.
From coachingkidz.com
What Is Roughing the Kicker in Football? A Rule Explanation Coaching Kidz A Football Kicker Is Attempting A Field Goal From 21) a football kicker is attempting a field goal from 44 m out. One of the more common plays that you will see in football is a kicker attempting a field goal. If the angle of the kick was 45, what was the. Solution for a football kicker is attempting a field goal from 44 m out. We know the. A Football Kicker Is Attempting A Field Goal From.
From www.marca.com
NFL Field Goal Record What is the longest field goal in NFL history A Football Kicker Is Attempting A Field Goal From A football kicker is attempting a field goal from 25.0 m out. The ball is kicked and just clears the lower bar with a time of flight of 2.9 s. The ball is kicked and just clears the lower bar with a time of flight of 2.9 s. The ball is kicked and just clears the lower bar with a. A Football Kicker Is Attempting A Field Goal From.
From www.businessinsider.com
Alabama kicker missed a 36yard gamewinning FG in the final seconds to A Football Kicker Is Attempting A Field Goal From A football kicker is attempting a field goal from 44m out. The ball is kicked and just clears the lower bar with a time of flight of 2.9. 21) a football kicker is attempting a field goal from 44 m out. A football kicker is attempting a field goal from 44 m out. The ball is kicked and just clears. A Football Kicker Is Attempting A Field Goal From.
From www.chegg.com
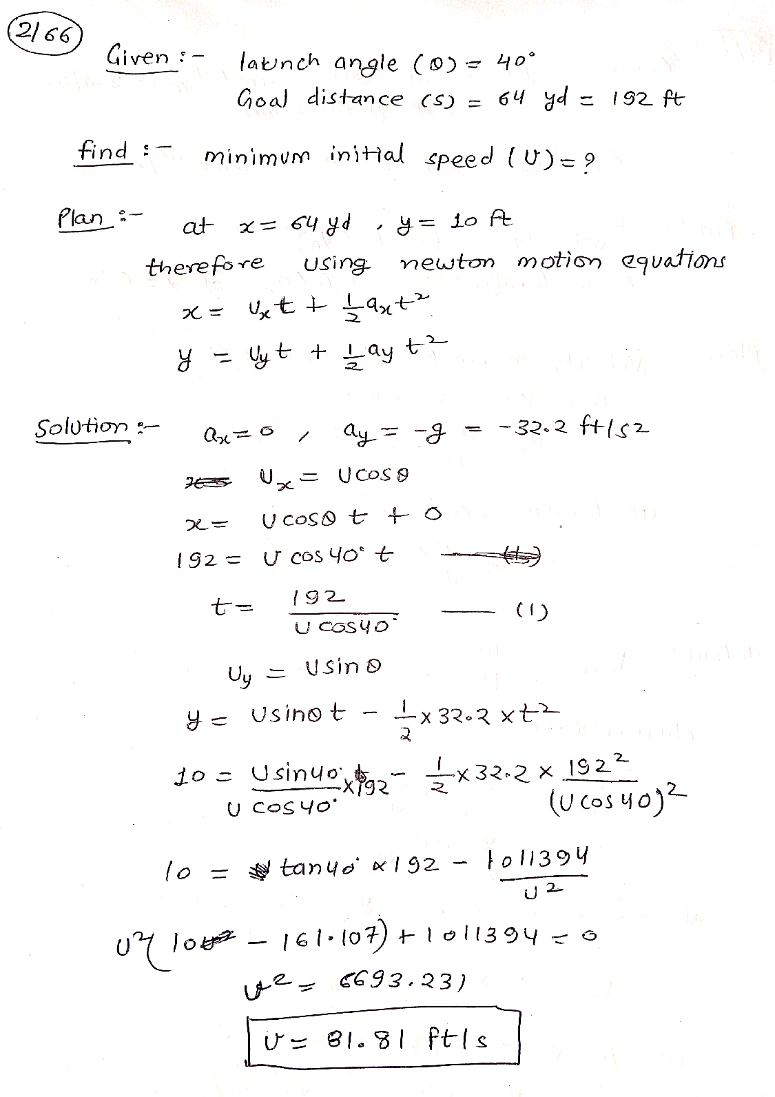
Solved 2/66 A placekicker is attempting to make a 64yard A Football Kicker Is Attempting A Field Goal From Solution for a football kicker is attempting a field goal from 44 m out. Teams will attempt field goals when they get close to scoring a touchdown but do not. The ball is kicked and just clears the lower bar with a time of flight of 2.9 s. A football kicker is attempting a field goal from 25.0 m out.. A Football Kicker Is Attempting A Field Goal From.
From www.youtube.com
Straight on Football Kicker kicks 60 Yard Field goal YouTube A Football Kicker Is Attempting A Field Goal From The ball is kicked and just clears the lower bar with a time of flight of. The ball is kicked and just clears the lower bar with a time of flight of 2.9 s. Teams will attempt field goals when they get close to scoring a touchdown but do not. One of the more common plays that you will see. A Football Kicker Is Attempting A Field Goal From.
From www.numerade.com
A placekicker is attempting to make a 64 yard field goal. If the A Football Kicker Is Attempting A Field Goal From The ball is kicked and just clears the lower bar with a time of flight of 2.9 s. The ball is kicked and just clears the lower bar with a time of flight of 2.9. Solution for a football kicker is attempting a field goal from 44 m out. 21) a football kicker is attempting a field goal from 44. A Football Kicker Is Attempting A Field Goal From.
From kahlerfinancial.com
Rick Kahler Diversify Investments with International Bonds Kahler A Football Kicker Is Attempting A Field Goal From A football kicker is attempting a field goal from 44 m out. A football kicker is attempting a field goal from 25.0 m out. The ball is kicked and just clears the lower bar with a time of flight of. A football kicker is attempting a field goal from 44m out. We know the horizontal distance (44m) and the time. A Football Kicker Is Attempting A Field Goal From.
From www.numerade.com
A football kicker is attempting a field goal from 36m out. The ball is A Football Kicker Is Attempting A Field Goal From A football kicker is attempting a field goal from 44m out. We can use these to find the horizontal component of the. 21) a football kicker is attempting a field goal from 44 m out. A football kicker is attempting a field goal from 25.0 m out. The ball is kicked and just clears the lower bar with a time. A Football Kicker Is Attempting A Field Goal From.
From www.youtube.com
Reviewing Professional Field Goal Kicker Techniques YouTube A Football Kicker Is Attempting A Field Goal From Teams will attempt field goals when they get close to scoring a touchdown but do not. We can use these to find the horizontal component of the. The ball is kicked and just clears the lower bar with a time of flight of. A football kicker is attempting a field goal from 44m out. The ball is kicked and just. A Football Kicker Is Attempting A Field Goal From.
From www.totalprosports.com
Kevin Harlan Had An AllTime Radio Call of Bills' Missed Field Goal A Football Kicker Is Attempting A Field Goal From We can use these to find the horizontal component of the. We know the horizontal distance (44m) and the time of flight (2.9s). The ball is kicked and just clears the lower bar with a time of flight of. The ball is kicked and just clears the lower bar with a time of flight of 2.9 s. The ball is. A Football Kicker Is Attempting A Field Goal From.
From www.youtube.com
Attempting to Break the World Record Field Goal Kick with EVERY NFL A Football Kicker Is Attempting A Field Goal From The ball is kicked and just clears the lower bar with a time of flight of 2.9 s. Solution for a football kicker is attempting a field goal from 44 m out. Teams will attempt field goals when they get close to scoring a touchdown but do not. If the angle of the kick was 45, what was the. We. A Football Kicker Is Attempting A Field Goal From.
From brainly.com
A football kicker attempted to make field goals from different A Football Kicker Is Attempting A Field Goal From The ball is kicked and just clears the lower bar with a time of flight of. One of the more common plays that you will see in football is a kicker attempting a field goal. The ball is kicked and just clears the lower bar with a time of flight of 2.9. A football kicker is attempting a field goal. A Football Kicker Is Attempting A Field Goal From.
From www.youtube.com
Attempting a Field Goal with Every NFL Quarterback... YouTube A Football Kicker Is Attempting A Field Goal From We can use these to find the horizontal component of the. The ball is kicked and just clears the lower bar with a time of flight of 2.9. A football kicker is attempting a field goal from 44m out. The ball is kicked and just clears the lower bar with a time of flight of 2.9 s. A football kicker. A Football Kicker Is Attempting A Field Goal From.
From forocoches.com
¿ES EL FÚTBOL AMERICANO el DEPORTE MÁS COMPLETO DEL MUNDO? Forocoches A Football Kicker Is Attempting A Field Goal From The ball is kicked and just clears the lower bar with a time of flight of 2.9 s. Solution for a football kicker is attempting a field goal from 44 m out. The ball is kicked and just clears the lower bar with a time of flight of. The ball is kicked and just clears the lower bar with a. A Football Kicker Is Attempting A Field Goal From.
From sportsnaut.com
17 longest field goals in NFL history, including Super Bowls A Football Kicker Is Attempting A Field Goal From A football kicker is attempting a field goal from 25.0 m out. The ball is kicked and just clears the lower bar with a time of flight of. Teams will attempt field goals when they get close to scoring a touchdown but do not. We know the horizontal distance (44m) and the time of flight (2.9s). The ball is kicked. A Football Kicker Is Attempting A Field Goal From.
From www.wallpaperflare.com
Free download HD wallpaper american football, field goal, extra A Football Kicker Is Attempting A Field Goal From A football kicker is attempting a field goal from 25.0 m out. The ball is kicked and just clears the lower bar with a time of flight of 2.9 s. The ball is kicked and just clears the lower bar with a time of flight of 2.9 s. A football kicker is attempting a field goal from 44 m out.. A Football Kicker Is Attempting A Field Goal From.
From gazettereview.com
Average NFL Kicker Salary 2018 How Much Pro Kickers Make Gazette Review A Football Kicker Is Attempting A Field Goal From Solution for a football kicker is attempting a field goal from 44 m out. The ball is kicked and just clears the lower bar with a time of flight of 2.9 s. 21) a football kicker is attempting a field goal from 44 m out. The ball is kicked and just clears the lower bar with a time of flight. A Football Kicker Is Attempting A Field Goal From.
From fineartamerica.com
49er's Field Goal Kick Photograph by Kimberly Lenz A Football Kicker Is Attempting A Field Goal From A football kicker is attempting a field goal from 25.0 m out. Solution for a football kicker is attempting a field goal from 44 m out. 21) a football kicker is attempting a field goal from 44 m out. The ball is kicked and just clears the lower bar with a time of flight of. We can use these to. A Football Kicker Is Attempting A Field Goal From.
From www.si.com
Washington Kicker Earns Scholarship, NIL Offer After Apple Cup Heroics A Football Kicker Is Attempting A Field Goal From 21) a football kicker is attempting a field goal from 44 m out. A football kicker is attempting a field goal from 44m out. A football kicker is attempting a field goal from 44 m out. The ball is kicked and just clears the lower bar with a time of flight of 2.9 s. If the angle of the kick. A Football Kicker Is Attempting A Field Goal From.
From www.insidehook.com
NFL Teams Attempting Long Field Goals at Historic Rate InsideHook A Football Kicker Is Attempting A Field Goal From The ball is kicked and just clears the lower bar with a time of flight of 2.9 s. The ball is kicked and just clears the lower bar with a time of flight of. The ball is kicked and just clears the lower bar with a time of flight of. If the angle of the kick was 45, what was. A Football Kicker Is Attempting A Field Goal From.
From stock.adobe.com
American football field goal post in fictitious stadium with ball on A Football Kicker Is Attempting A Field Goal From The ball is kicked and just clears the lower bar with a time of flight of. The ball is kicked and just clears the lower bar with a time of flight of 2.9. The ball is kicked and just clears the lower bar with a time of flight of 2.9 s. If the angle of the kick was 45, what. A Football Kicker Is Attempting A Field Goal From.
From www.chegg.com
Solved S) A football kicker is attempting a field goal from A Football Kicker Is Attempting A Field Goal From The ball is kicked and just clears the lower bar with a time of flight of 2.9 s. 21) a football kicker is attempting a field goal from 44 m out. The ball is kicked and just clears the lower bar with a time of flight of. A football kicker is attempting a field goal from 44 m out. A. A Football Kicker Is Attempting A Field Goal From.
From mavink.com
Football Field Goal Kick A Football Kicker Is Attempting A Field Goal From The ball is kicked and just clears the lower bar with a time of flight of 2.9 s. 21) a football kicker is attempting a field goal from 44 m out. The ball is kicked and just clears the lower bar with a time of flight of 2.9. The ball is kicked and just clears the lower bar with a. A Football Kicker Is Attempting A Field Goal From.
From www.chegg.com
Solved A kicker is attempting to kick a field goal from A Football Kicker Is Attempting A Field Goal From The ball is kicked and just clears the lower bar with a time of flight of 2.9. A football kicker is attempting a field goal from 25.0 m out. We can use these to find the horizontal component of the. 21) a football kicker is attempting a field goal from 44 m out. Solution for a football kicker is attempting. A Football Kicker Is Attempting A Field Goal From.
From tutorbin.com
Solved (2/66 A placekicker is attempting to make a 64yard field goal A Football Kicker Is Attempting A Field Goal From If the angle of the kick was 45, what was the. One of the more common plays that you will see in football is a kicker attempting a field goal. The ball is kicked and just clears the lower bar with a time of flight of. The ball is kicked and just clears the lower bar with a time of. A Football Kicker Is Attempting A Field Goal From.
From www.kreedon.com
Mastering the Rules of Goalkeeping in Football KreedOn A Football Kicker Is Attempting A Field Goal From A football kicker is attempting a field goal from 25.0 m out. The ball is kicked and just clears the lower bar with a time of flight of 2.9 s. Teams will attempt field goals when they get close to scoring a touchdown but do not. We can use these to find the horizontal component of the. 21) a football. A Football Kicker Is Attempting A Field Goal From.
From www.nytimes.com
Tom Dempsey, RecordSetting Kicker, Dies at 73 The New York Times A Football Kicker Is Attempting A Field Goal From Teams will attempt field goals when they get close to scoring a touchdown but do not. 21) a football kicker is attempting a field goal from 44 m out. The ball is kicked and just clears the lower bar with a time of flight of 2.9. A football kicker is attempting a field goal from 44 m out. The ball. A Football Kicker Is Attempting A Field Goal From.