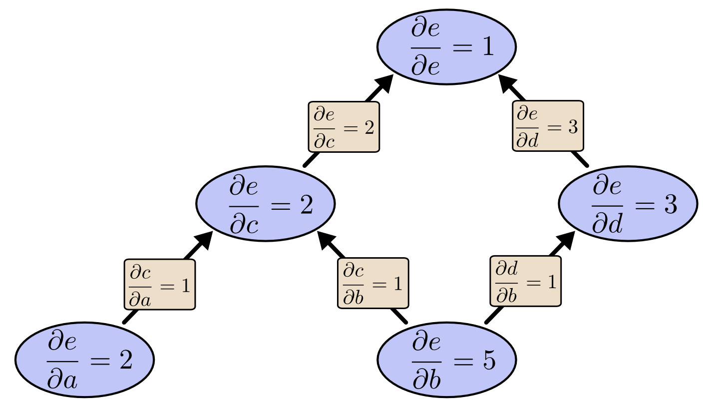
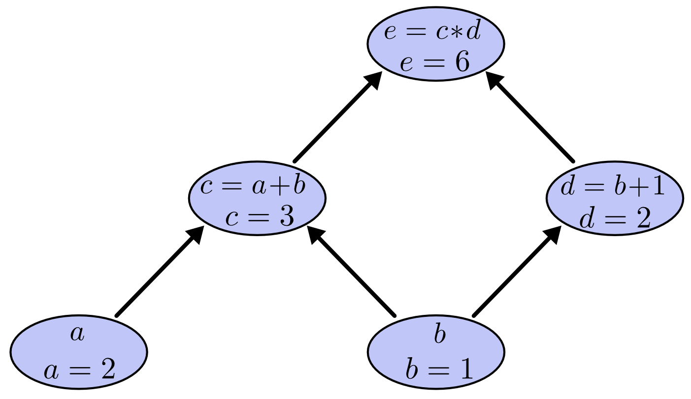
Chain Rule Backpropagation Example . let’s break down how the chain rule is applied during the backpropagation process with a simple example. (9) dt dt here, we use dx=dt to mean we. Dx dy = x + y : we can rewrite the multivariable chain rule (eqn. in this article we used backpropagation to solve a specific mathematical problem — to calculate. the chain rule allows us to find the derivative of composite functions. the goal of backpropagation is to optimize the weights so that the neural network can learn how to correctly map. backpropagation in artificial intelligence deep neural networks from scratch with math and python code. It is computed extensively by the.
from pyliaorachel.gitbooks.io
the goal of backpropagation is to optimize the weights so that the neural network can learn how to correctly map. in this article we used backpropagation to solve a specific mathematical problem — to calculate. (9) dt dt here, we use dx=dt to mean we. let’s break down how the chain rule is applied during the backpropagation process with a simple example. we can rewrite the multivariable chain rule (eqn. the chain rule allows us to find the derivative of composite functions. Dx dy = x + y : backpropagation in artificial intelligence deep neural networks from scratch with math and python code. It is computed extensively by the.
Backpropagation · Course Notes
Chain Rule Backpropagation Example the chain rule allows us to find the derivative of composite functions. the chain rule allows us to find the derivative of composite functions. let’s break down how the chain rule is applied during the backpropagation process with a simple example. we can rewrite the multivariable chain rule (eqn. backpropagation in artificial intelligence deep neural networks from scratch with math and python code. in this article we used backpropagation to solve a specific mathematical problem — to calculate. It is computed extensively by the. (9) dt dt here, we use dx=dt to mean we. the goal of backpropagation is to optimize the weights so that the neural network can learn how to correctly map. Dx dy = x + y :
From datasciocean.tech
Backpropagation 介紹 —— 看懂如何透過 Backpropagation 計算 Gradient Chain Rule Backpropagation Example let’s break down how the chain rule is applied during the backpropagation process with a simple example. the chain rule allows us to find the derivative of composite functions. backpropagation in artificial intelligence deep neural networks from scratch with math and python code. It is computed extensively by the. we can rewrite the multivariable chain rule. Chain Rule Backpropagation Example.
From kevintham.github.io
The Backpropagation Algorithm Kevin Tham Chain Rule Backpropagation Example in this article we used backpropagation to solve a specific mathematical problem — to calculate. we can rewrite the multivariable chain rule (eqn. It is computed extensively by the. the chain rule allows us to find the derivative of composite functions. backpropagation in artificial intelligence deep neural networks from scratch with math and python code. (9). Chain Rule Backpropagation Example.
From machinelearningmastery.com
The Chain Rule of Calculus for Univariate and Multivariate Functions Chain Rule Backpropagation Example It is computed extensively by the. the chain rule allows us to find the derivative of composite functions. Dx dy = x + y : backpropagation in artificial intelligence deep neural networks from scratch with math and python code. the goal of backpropagation is to optimize the weights so that the neural network can learn how to. Chain Rule Backpropagation Example.
From www.youtube.com
2 BACKPROPAGATION algorithm. How a neural network learn ? A step by Chain Rule Backpropagation Example (9) dt dt here, we use dx=dt to mean we. It is computed extensively by the. the goal of backpropagation is to optimize the weights so that the neural network can learn how to correctly map. we can rewrite the multivariable chain rule (eqn. Dx dy = x + y : in this article we used backpropagation. Chain Rule Backpropagation Example.
From www.qwertee.io
An introduction to backpropagation Chain Rule Backpropagation Example the chain rule allows us to find the derivative of composite functions. Dx dy = x + y : It is computed extensively by the. backpropagation in artificial intelligence deep neural networks from scratch with math and python code. (9) dt dt here, we use dx=dt to mean we. we can rewrite the multivariable chain rule (eqn.. Chain Rule Backpropagation Example.
From towardsdatascience.com
Understanding Backpropagation Algorithm by Simeon Kostadinov Chain Rule Backpropagation Example backpropagation in artificial intelligence deep neural networks from scratch with math and python code. the chain rule allows us to find the derivative of composite functions. It is computed extensively by the. in this article we used backpropagation to solve a specific mathematical problem — to calculate. the goal of backpropagation is to optimize the weights. Chain Rule Backpropagation Example.
From medium.com
Understanding Backpropagation(Gradient Descent) in Neural Networks for Chain Rule Backpropagation Example we can rewrite the multivariable chain rule (eqn. Dx dy = x + y : in this article we used backpropagation to solve a specific mathematical problem — to calculate. backpropagation in artificial intelligence deep neural networks from scratch with math and python code. let’s break down how the chain rule is applied during the backpropagation. Chain Rule Backpropagation Example.
From hmkcode.com
Backpropagation Step by Step Chain Rule Backpropagation Example we can rewrite the multivariable chain rule (eqn. the chain rule allows us to find the derivative of composite functions. (9) dt dt here, we use dx=dt to mean we. the goal of backpropagation is to optimize the weights so that the neural network can learn how to correctly map. Dx dy = x + y :. Chain Rule Backpropagation Example.
From stackoverflow.com
backpropagation CS231N Lecture 4 Back Prop Chain Rule Stack Overflow Chain Rule Backpropagation Example let’s break down how the chain rule is applied during the backpropagation process with a simple example. backpropagation in artificial intelligence deep neural networks from scratch with math and python code. (9) dt dt here, we use dx=dt to mean we. in this article we used backpropagation to solve a specific mathematical problem — to calculate. . Chain Rule Backpropagation Example.
From slidetodoc.com
Neural Network Backpropagation Example 2016 11 07 Chain Chain Rule Backpropagation Example the chain rule allows us to find the derivative of composite functions. backpropagation in artificial intelligence deep neural networks from scratch with math and python code. let’s break down how the chain rule is applied during the backpropagation process with a simple example. we can rewrite the multivariable chain rule (eqn. in this article we. Chain Rule Backpropagation Example.
From www.youtube.com
Lecture 6 Backpropagation YouTube Chain Rule Backpropagation Example Dx dy = x + y : in this article we used backpropagation to solve a specific mathematical problem — to calculate. the chain rule allows us to find the derivative of composite functions. backpropagation in artificial intelligence deep neural networks from scratch with math and python code. (9) dt dt here, we use dx=dt to mean. Chain Rule Backpropagation Example.
From www.youtube.com
Chain rule of differential with backpropagation Deep Learning Chain Rule Backpropagation Example Dx dy = x + y : It is computed extensively by the. the goal of backpropagation is to optimize the weights so that the neural network can learn how to correctly map. in this article we used backpropagation to solve a specific mathematical problem — to calculate. let’s break down how the chain rule is applied. Chain Rule Backpropagation Example.
From pyliaorachel.gitbooks.io
Backpropagation · Course Notes Chain Rule Backpropagation Example the goal of backpropagation is to optimize the weights so that the neural network can learn how to correctly map. let’s break down how the chain rule is applied during the backpropagation process with a simple example. Dx dy = x + y : backpropagation in artificial intelligence deep neural networks from scratch with math and python. Chain Rule Backpropagation Example.
From www.tpsearchtool.com
Figure 1 From Derivation Of Backpropagation In Convolutional Neural Images Chain Rule Backpropagation Example (9) dt dt here, we use dx=dt to mean we. Dx dy = x + y : the chain rule allows us to find the derivative of composite functions. in this article we used backpropagation to solve a specific mathematical problem — to calculate. the goal of backpropagation is to optimize the weights so that the neural. Chain Rule Backpropagation Example.
From www.cuemath.com
Chain Rule Theorem, Proof, Examples Chain Rule Derivative Chain Rule Backpropagation Example the chain rule allows us to find the derivative of composite functions. Dx dy = x + y : we can rewrite the multivariable chain rule (eqn. backpropagation in artificial intelligence deep neural networks from scratch with math and python code. in this article we used backpropagation to solve a specific mathematical problem — to calculate.. Chain Rule Backpropagation Example.
From medium.com
Backpropagation Explained Jonathan Mitchell Medium Chain Rule Backpropagation Example It is computed extensively by the. in this article we used backpropagation to solve a specific mathematical problem — to calculate. the goal of backpropagation is to optimize the weights so that the neural network can learn how to correctly map. we can rewrite the multivariable chain rule (eqn. (9) dt dt here, we use dx=dt to. Chain Rule Backpropagation Example.
From slidetodoc.com
Neural Network Backpropagation Example 2016 11 07 Chain Chain Rule Backpropagation Example let’s break down how the chain rule is applied during the backpropagation process with a simple example. the goal of backpropagation is to optimize the weights so that the neural network can learn how to correctly map. in this article we used backpropagation to solve a specific mathematical problem — to calculate. (9) dt dt here, we. Chain Rule Backpropagation Example.
From www.vrogue.co
Understanding Backpropagation In Neural Network A Step By Step Vrogue Chain Rule Backpropagation Example let’s break down how the chain rule is applied during the backpropagation process with a simple example. we can rewrite the multivariable chain rule (eqn. the chain rule allows us to find the derivative of composite functions. It is computed extensively by the. (9) dt dt here, we use dx=dt to mean we. Dx dy = x. Chain Rule Backpropagation Example.
From medium.com
[DL] 3. Backpropagation. 1. Error Backpropagation by Jun jun Chain Rule Backpropagation Example in this article we used backpropagation to solve a specific mathematical problem — to calculate. backpropagation in artificial intelligence deep neural networks from scratch with math and python code. Dx dy = x + y : It is computed extensively by the. the chain rule allows us to find the derivative of composite functions. we can. Chain Rule Backpropagation Example.
From medium.com
Backpropagation — Algorithm that tells “How A Neural Network Learns Chain Rule Backpropagation Example backpropagation in artificial intelligence deep neural networks from scratch with math and python code. Dx dy = x + y : the goal of backpropagation is to optimize the weights so that the neural network can learn how to correctly map. in this article we used backpropagation to solve a specific mathematical problem — to calculate. It. Chain Rule Backpropagation Example.
From www.youtube.com
29. Backpropagation and the Chain Rule YouTube Chain Rule Backpropagation Example (9) dt dt here, we use dx=dt to mean we. in this article we used backpropagation to solve a specific mathematical problem — to calculate. Dx dy = x + y : we can rewrite the multivariable chain rule (eqn. the chain rule allows us to find the derivative of composite functions. backpropagation in artificial intelligence. Chain Rule Backpropagation Example.
From deeplearningbook.com.br
Capítulo 14 Algoritmo Backpropagation Parte 1 Grafos Computacionais Chain Rule Backpropagation Example Dx dy = x + y : in this article we used backpropagation to solve a specific mathematical problem — to calculate. (9) dt dt here, we use dx=dt to mean we. the chain rule allows us to find the derivative of composite functions. we can rewrite the multivariable chain rule (eqn. backpropagation in artificial intelligence. Chain Rule Backpropagation Example.
From www.youtube.com
Backpropagation (Part 3a) The Chain Rule YouTube Chain Rule Backpropagation Example let’s break down how the chain rule is applied during the backpropagation process with a simple example. (9) dt dt here, we use dx=dt to mean we. the goal of backpropagation is to optimize the weights so that the neural network can learn how to correctly map. Dx dy = x + y : the chain rule. Chain Rule Backpropagation Example.
From www.slidestalk.com
Backpropagation Chain Rule Backpropagation Example we can rewrite the multivariable chain rule (eqn. the chain rule allows us to find the derivative of composite functions. in this article we used backpropagation to solve a specific mathematical problem — to calculate. (9) dt dt here, we use dx=dt to mean we. It is computed extensively by the. let’s break down how the. Chain Rule Backpropagation Example.
From medium.com
BackPropagation is very simple. Who made it Complicated ? by Prakash Chain Rule Backpropagation Example we can rewrite the multivariable chain rule (eqn. (9) dt dt here, we use dx=dt to mean we. Dx dy = x + y : It is computed extensively by the. the chain rule allows us to find the derivative of composite functions. let’s break down how the chain rule is applied during the backpropagation process with. Chain Rule Backpropagation Example.
From towardsdatascience.com
The Maths behind Back Propagation Towards Data Science Chain Rule Backpropagation Example backpropagation in artificial intelligence deep neural networks from scratch with math and python code. the goal of backpropagation is to optimize the weights so that the neural network can learn how to correctly map. Dx dy = x + y : the chain rule allows us to find the derivative of composite functions. It is computed extensively. Chain Rule Backpropagation Example.
From www.datasciencecentral.com
Neural Networks The Backpropagation algorithm in a picture Chain Rule Backpropagation Example the chain rule allows us to find the derivative of composite functions. (9) dt dt here, we use dx=dt to mean we. backpropagation in artificial intelligence deep neural networks from scratch with math and python code. It is computed extensively by the. let’s break down how the chain rule is applied during the backpropagation process with a. Chain Rule Backpropagation Example.
From towardsdatascience.com
[ Back to Basics ] Deriving Back Propagation on simple RNN/LSTM (feat Chain Rule Backpropagation Example the goal of backpropagation is to optimize the weights so that the neural network can learn how to correctly map. (9) dt dt here, we use dx=dt to mean we. in this article we used backpropagation to solve a specific mathematical problem — to calculate. backpropagation in artificial intelligence deep neural networks from scratch with math and. Chain Rule Backpropagation Example.
From www.youtube.com
Chain Rule To find Derivative In Back Propagation YouTube Chain Rule Backpropagation Example the goal of backpropagation is to optimize the weights so that the neural network can learn how to correctly map. let’s break down how the chain rule is applied during the backpropagation process with a simple example. (9) dt dt here, we use dx=dt to mean we. backpropagation in artificial intelligence deep neural networks from scratch with. Chain Rule Backpropagation Example.
From deeplearningbook.com.br
Capítulo 14 Algoritmo Backpropagation Parte 1 Grafos Computacionais Chain Rule Backpropagation Example we can rewrite the multivariable chain rule (eqn. the chain rule allows us to find the derivative of composite functions. the goal of backpropagation is to optimize the weights so that the neural network can learn how to correctly map. backpropagation in artificial intelligence deep neural networks from scratch with math and python code. let’s. Chain Rule Backpropagation Example.
From towardsdatascience.com
Understanding Backpropagation Algorithm by Simeon Kostadinov Chain Rule Backpropagation Example the goal of backpropagation is to optimize the weights so that the neural network can learn how to correctly map. Dx dy = x + y : let’s break down how the chain rule is applied during the backpropagation process with a simple example. It is computed extensively by the. we can rewrite the multivariable chain rule. Chain Rule Backpropagation Example.
From www.hashpi.com
Backpropagation equations applying the chain rule to a neural network Chain Rule Backpropagation Example the goal of backpropagation is to optimize the weights so that the neural network can learn how to correctly map. (9) dt dt here, we use dx=dt to mean we. the chain rule allows us to find the derivative of composite functions. backpropagation in artificial intelligence deep neural networks from scratch with math and python code. . Chain Rule Backpropagation Example.
From www.youtube.com
Backpropagation Details Pt. 2 Going bonkers with The Chain Rule YouTube Chain Rule Backpropagation Example in this article we used backpropagation to solve a specific mathematical problem — to calculate. let’s break down how the chain rule is applied during the backpropagation process with a simple example. we can rewrite the multivariable chain rule (eqn. the chain rule allows us to find the derivative of composite functions. Dx dy = x. Chain Rule Backpropagation Example.
From www.vrogue.co
5 The Architecture And Process Of Backpropagation Dow vrogue.co Chain Rule Backpropagation Example the goal of backpropagation is to optimize the weights so that the neural network can learn how to correctly map. backpropagation in artificial intelligence deep neural networks from scratch with math and python code. It is computed extensively by the. we can rewrite the multivariable chain rule (eqn. (9) dt dt here, we use dx=dt to mean. Chain Rule Backpropagation Example.
From towardsdatascience.com
Understanding Backpropagation Algorithm by Simeon Kostadinov Chain Rule Backpropagation Example the chain rule allows us to find the derivative of composite functions. (9) dt dt here, we use dx=dt to mean we. we can rewrite the multivariable chain rule (eqn. backpropagation in artificial intelligence deep neural networks from scratch with math and python code. It is computed extensively by the. in this article we used backpropagation. Chain Rule Backpropagation Example.