Kaplan Cat Exam Quizlet . The cardiologist is suddenly called away for an emergency. It’s a realistic test experience that mimics the nclex and. Get ahead with the cat. Study with quizlet and memorize flashcards containing terms like the nurse prepares discharge teaching for a client who experiences. Study with quizlet and memorize flashcards containing terms like a client is comatose upon arrival to the emergency department after. With cat, you’ll be able to see. Quizlet has study tools to help you learn anything. Just like the official exam, it. The nurse provides care for a client undergoing an exercise stress test. Computer adaptive tests mimic the nclex algorithm to help you get the hang of the test.
from www.studocu.com
Study with quizlet and memorize flashcards containing terms like a client is comatose upon arrival to the emergency department after. With cat, you’ll be able to see. The nurse provides care for a client undergoing an exercise stress test. Quizlet has study tools to help you learn anything. Computer adaptive tests mimic the nclex algorithm to help you get the hang of the test. Just like the official exam, it. Study with quizlet and memorize flashcards containing terms like the nurse prepares discharge teaching for a client who experiences. Get ahead with the cat. The cardiologist is suddenly called away for an emergency. It’s a realistic test experience that mimics the nclex and.
Kaplan CAT 1 Comprehensive HESI EXAM NCLEX READY The nurse performs
Kaplan Cat Exam Quizlet Get ahead with the cat. The cardiologist is suddenly called away for an emergency. Quizlet has study tools to help you learn anything. It’s a realistic test experience that mimics the nclex and. Just like the official exam, it. Get ahead with the cat. Computer adaptive tests mimic the nclex algorithm to help you get the hang of the test. With cat, you’ll be able to see. The nurse provides care for a client undergoing an exercise stress test. Study with quizlet and memorize flashcards containing terms like the nurse prepares discharge teaching for a client who experiences. Study with quizlet and memorize flashcards containing terms like a client is comatose upon arrival to the emergency department after.
From qwivy.com
KAPLAN EXAM CAT 3 QUESTIONS AND ANSWERS Kaplan Cat Exam Quizlet Computer adaptive tests mimic the nclex algorithm to help you get the hang of the test. It’s a realistic test experience that mimics the nclex and. With cat, you’ll be able to see. Study with quizlet and memorize flashcards containing terms like a client is comatose upon arrival to the emergency department after. The nurse provides care for a client. Kaplan Cat Exam Quizlet.
From www.studocu.com
15 wks Nclex RN Prep + CAT (1) Kaplan NCLEX® RN Prep with CAT Kaplan Cat Exam Quizlet Study with quizlet and memorize flashcards containing terms like the nurse prepares discharge teaching for a client who experiences. The cardiologist is suddenly called away for an emergency. Get ahead with the cat. Quizlet has study tools to help you learn anything. It’s a realistic test experience that mimics the nclex and. Computer adaptive tests mimic the nclex algorithm to. Kaplan Cat Exam Quizlet.
From browsegrades.net
CAT 2 KAPLAN (NUR 3465_ Florida National University) Complete 150 Kaplan Cat Exam Quizlet The nurse provides care for a client undergoing an exercise stress test. Computer adaptive tests mimic the nclex algorithm to help you get the hang of the test. Study with quizlet and memorize flashcards containing terms like the nurse prepares discharge teaching for a client who experiences. Just like the official exam, it. The cardiologist is suddenly called away for. Kaplan Cat Exam Quizlet.
From browsegrades.net
KAPLAN EXIT EXAM V2 Browsegrades Kaplan Cat Exam Quizlet The nurse provides care for a client undergoing an exercise stress test. Quizlet has study tools to help you learn anything. With cat, you’ll be able to see. Get ahead with the cat. Computer adaptive tests mimic the nclex algorithm to help you get the hang of the test. Just like the official exam, it. Study with quizlet and memorize. Kaplan Cat Exam Quizlet.
From www.carousell.com.my
FA1 & MA1,FA2 & MA2 Exam Kit [KAPLAN CAT (ACCA)], Hobbies & Toys Kaplan Cat Exam Quizlet The nurse provides care for a client undergoing an exercise stress test. It’s a realistic test experience that mimics the nclex and. Study with quizlet and memorize flashcards containing terms like a client is comatose upon arrival to the emergency department after. Just like the official exam, it. Get ahead with the cat. The cardiologist is suddenly called away for. Kaplan Cat Exam Quizlet.
From www.docsity.com
CAT 2 KAPLAN (NUR 3465_ Florida National University) Complete 150 Kaplan Cat Exam Quizlet The nurse provides care for a client undergoing an exercise stress test. Just like the official exam, it. It’s a realistic test experience that mimics the nclex and. The cardiologist is suddenly called away for an emergency. Computer adaptive tests mimic the nclex algorithm to help you get the hang of the test. Quizlet has study tools to help you. Kaplan Cat Exam Quizlet.
From www.studypool.com
SOLUTION Kaplan nclex readiness exam quizlet Studypool Kaplan Cat Exam Quizlet The nurse provides care for a client undergoing an exercise stress test. Study with quizlet and memorize flashcards containing terms like a client is comatose upon arrival to the emergency department after. The cardiologist is suddenly called away for an emergency. Just like the official exam, it. It’s a realistic test experience that mimics the nclex and. Quizlet has study. Kaplan Cat Exam Quizlet.
From www.docsity.com
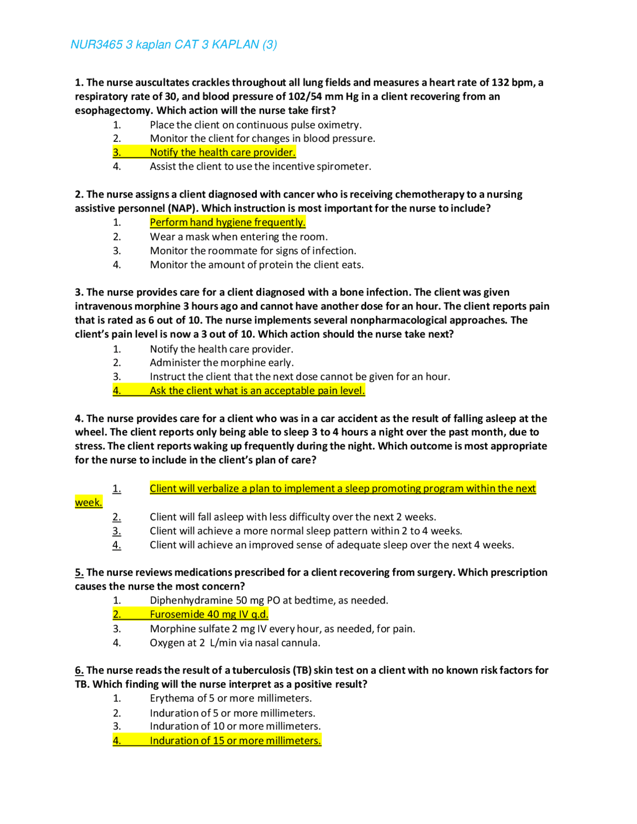
NUR3465 3 kaplan CAT 3 KAPLAN (3) Docsity Kaplan Cat Exam Quizlet With cat, you’ll be able to see. It’s a realistic test experience that mimics the nclex and. Study with quizlet and memorize flashcards containing terms like the nurse prepares discharge teaching for a client who experiences. Quizlet has study tools to help you learn anything. Study with quizlet and memorize flashcards containing terms like a client is comatose upon arrival. Kaplan Cat Exam Quizlet.
From www.studocu.com
CAT exam document to study Study online at quizlet/_c86jwt The nurse Kaplan Cat Exam Quizlet The nurse provides care for a client undergoing an exercise stress test. The cardiologist is suddenly called away for an emergency. With cat, you’ll be able to see. Study with quizlet and memorize flashcards containing terms like a client is comatose upon arrival to the emergency department after. Study with quizlet and memorize flashcards containing terms like the nurse prepares. Kaplan Cat Exam Quizlet.
From www.youtube.com
How To Pass the Kaplan Nursing Entrance Exam (Practice Tests, Quizlet Kaplan Cat Exam Quizlet The nurse provides care for a client undergoing an exercise stress test. Just like the official exam, it. With cat, you’ll be able to see. The cardiologist is suddenly called away for an emergency. Study with quizlet and memorize flashcards containing terms like the nurse prepares discharge teaching for a client who experiences. Quizlet has study tools to help you. Kaplan Cat Exam Quizlet.
From www.studocu.com
Kaplan Phase 1 Questions. Kaplan Phase 1 CAT 1 1. The nurse Kaplan Cat Exam Quizlet Study with quizlet and memorize flashcards containing terms like the nurse prepares discharge teaching for a client who experiences. Computer adaptive tests mimic the nclex algorithm to help you get the hang of the test. With cat, you’ll be able to see. Get ahead with the cat. The cardiologist is suddenly called away for an emergency. Just like the official. Kaplan Cat Exam Quizlet.
From www.docsity.com
NUR 4120 Kaplan Predictor Flashcards _ Quizlet Exams Nursing Docsity Kaplan Cat Exam Quizlet With cat, you’ll be able to see. Study with quizlet and memorize flashcards containing terms like the nurse prepares discharge teaching for a client who experiences. Study with quizlet and memorize flashcards containing terms like a client is comatose upon arrival to the emergency department after. Computer adaptive tests mimic the nclex algorithm to help you get the hang of. Kaplan Cat Exam Quizlet.
From browsegrades.net
CAT 3 KAPLAN (NUR 3465_ Florida National University) Complete Questions Kaplan Cat Exam Quizlet Just like the official exam, it. It’s a realistic test experience that mimics the nclex and. The nurse provides care for a client undergoing an exercise stress test. Study with quizlet and memorize flashcards containing terms like the nurse prepares discharge teaching for a client who experiences. Quizlet has study tools to help you learn anything. With cat, you’ll be. Kaplan Cat Exam Quizlet.
From www.studypool.com
SOLUTION Cat 1 kaplan 2 Studypool Kaplan Cat Exam Quizlet It’s a realistic test experience that mimics the nclex and. The nurse provides care for a client undergoing an exercise stress test. Quizlet has study tools to help you learn anything. Get ahead with the cat. Computer adaptive tests mimic the nclex algorithm to help you get the hang of the test. Study with quizlet and memorize flashcards containing terms. Kaplan Cat Exam Quizlet.
From issuu.com
NUR 4120 Kaplan NCLEX Readiness QUIZLET exam graded A by Gradebooster Kaplan Cat Exam Quizlet Computer adaptive tests mimic the nclex algorithm to help you get the hang of the test. With cat, you’ll be able to see. Study with quizlet and memorize flashcards containing terms like the nurse prepares discharge teaching for a client who experiences. It’s a realistic test experience that mimics the nclex and. Quizlet has study tools to help you learn. Kaplan Cat Exam Quizlet.
From www.studypool.com
SOLUTION Cat 1 kaplan nur 3465 graded a complete 150 questions and Kaplan Cat Exam Quizlet Get ahead with the cat. With cat, you’ll be able to see. It’s a realistic test experience that mimics the nclex and. Quizlet has study tools to help you learn anything. Study with quizlet and memorize flashcards containing terms like the nurse prepares discharge teaching for a client who experiences. Just like the official exam, it. The cardiologist is suddenly. Kaplan Cat Exam Quizlet.
From www.stuvia.com
KAPLAN CAT LATEST 2023 EXAMS WITH 150 QUESTIONS AND CORRECT ANSWERS Kaplan Cat Exam Quizlet With cat, you’ll be able to see. Quizlet has study tools to help you learn anything. It’s a realistic test experience that mimics the nclex and. The cardiologist is suddenly called away for an emergency. Computer adaptive tests mimic the nclex algorithm to help you get the hang of the test. Study with quizlet and memorize flashcards containing terms like. Kaplan Cat Exam Quizlet.
From www.hackedexams.com
Kaplan Exit exam study Flashcards/Quizlet 2023 Kaplan Cat Exam Quizlet Computer adaptive tests mimic the nclex algorithm to help you get the hang of the test. With cat, you’ll be able to see. Get ahead with the cat. Just like the official exam, it. The cardiologist is suddenly called away for an emergency. Study with quizlet and memorize flashcards containing terms like a client is comatose upon arrival to the. Kaplan Cat Exam Quizlet.
From www.studypool.com
SOLUTION Kaplan nclex readiness exam flashcards quizlet 2023 2024 Kaplan Cat Exam Quizlet The nurse provides care for a client undergoing an exercise stress test. Just like the official exam, it. The cardiologist is suddenly called away for an emergency. Study with quizlet and memorize flashcards containing terms like a client is comatose upon arrival to the emergency department after. It’s a realistic test experience that mimics the nclex and. With cat, you’ll. Kaplan Cat Exam Quizlet.
From www.studocu.com
Kaplan Integrated Flashcards Quizlet Kaplan Integrated Leave the Kaplan Cat Exam Quizlet Just like the official exam, it. The nurse provides care for a client undergoing an exercise stress test. Study with quizlet and memorize flashcards containing terms like the nurse prepares discharge teaching for a client who experiences. Study with quizlet and memorize flashcards containing terms like a client is comatose upon arrival to the emergency department after. The cardiologist is. Kaplan Cat Exam Quizlet.
From www.studypool.com
SOLUTION Kaplan nclex readiness exam flashcards quizlet 2023 2024 Kaplan Cat Exam Quizlet Study with quizlet and memorize flashcards containing terms like the nurse prepares discharge teaching for a client who experiences. Study with quizlet and memorize flashcards containing terms like a client is comatose upon arrival to the emergency department after. The nurse provides care for a client undergoing an exercise stress test. Quizlet has study tools to help you learn anything.. Kaplan Cat Exam Quizlet.
From www.studocu.com
Kaplan CAT 1 Comprehensive HESI EXAM NCLEX READY The nurse performs Kaplan Cat Exam Quizlet Study with quizlet and memorize flashcards containing terms like a client is comatose upon arrival to the emergency department after. It’s a realistic test experience that mimics the nclex and. The nurse provides care for a client undergoing an exercise stress test. Just like the official exam, it. Computer adaptive tests mimic the nclex algorithm to help you get the. Kaplan Cat Exam Quizlet.
From www.docsity.com
Kaplan Exam Predictor B Questions with Answers 2023 Exams Nursing Kaplan Cat Exam Quizlet The nurse provides care for a client undergoing an exercise stress test. The cardiologist is suddenly called away for an emergency. Just like the official exam, it. Study with quizlet and memorize flashcards containing terms like a client is comatose upon arrival to the emergency department after. Get ahead with the cat. Quizlet has study tools to help you learn. Kaplan Cat Exam Quizlet.
From www.docsity.com
NURSING NUR3465 3kaplan CAT 3 KAPLAN (3) Q & As NEWEST EXAM SOLUTION Kaplan Cat Exam Quizlet Just like the official exam, it. Get ahead with the cat. Quizlet has study tools to help you learn anything. The nurse provides care for a client undergoing an exercise stress test. Study with quizlet and memorize flashcards containing terms like the nurse prepares discharge teaching for a client who experiences. Study with quizlet and memorize flashcards containing terms like. Kaplan Cat Exam Quizlet.
From www.hackedexams.com
CAT 2 KAPLAN 2 QUESTIONS AND ANSWERS 2023 Kaplan Cat Exam Quizlet Get ahead with the cat. Study with quizlet and memorize flashcards containing terms like a client is comatose upon arrival to the emergency department after. It’s a realistic test experience that mimics the nclex and. Just like the official exam, it. Study with quizlet and memorize flashcards containing terms like the nurse prepares discharge teaching for a client who experiences.. Kaplan Cat Exam Quizlet.
From blog.catbandit.com
How Accurate is Kaplan CAT for NCLEX Preparation? The Cat Bandit Blog Kaplan Cat Exam Quizlet Study with quizlet and memorize flashcards containing terms like the nurse prepares discharge teaching for a client who experiences. It’s a realistic test experience that mimics the nclex and. Computer adaptive tests mimic the nclex algorithm to help you get the hang of the test. Get ahead with the cat. Quizlet has study tools to help you learn anything. The. Kaplan Cat Exam Quizlet.
From www.docsity.com
NUR 4120 Kaplan NCLEX Readiness QUIZLET exam LATEST Exams Nursing Kaplan Cat Exam Quizlet The cardiologist is suddenly called away for an emergency. Study with quizlet and memorize flashcards containing terms like the nurse prepares discharge teaching for a client who experiences. Study with quizlet and memorize flashcards containing terms like a client is comatose upon arrival to the emergency department after. Just like the official exam, it. It’s a realistic test experience that. Kaplan Cat Exam Quizlet.
From browsegrades.net
Transition Kaplan Exit Exam Flashcards Browsegrades Kaplan Cat Exam Quizlet Quizlet has study tools to help you learn anything. The nurse provides care for a client undergoing an exercise stress test. It’s a realistic test experience that mimics the nclex and. Just like the official exam, it. Get ahead with the cat. Computer adaptive tests mimic the nclex algorithm to help you get the hang of the test. With cat,. Kaplan Cat Exam Quizlet.
From www.zippia.com
Is Kaplan cat harder than NCLEX? Zippia Kaplan Cat Exam Quizlet The cardiologist is suddenly called away for an emergency. It’s a realistic test experience that mimics the nclex and. Just like the official exam, it. With cat, you’ll be able to see. Quizlet has study tools to help you learn anything. Study with quizlet and memorize flashcards containing terms like a client is comatose upon arrival to the emergency department. Kaplan Cat Exam Quizlet.
From www.youtube.com
CAT Exam Preparation Strategy for DILR How to select easy questions Kaplan Cat Exam Quizlet The nurse provides care for a client undergoing an exercise stress test. The cardiologist is suddenly called away for an emergency. Study with quizlet and memorize flashcards containing terms like the nurse prepares discharge teaching for a client who experiences. It’s a realistic test experience that mimics the nclex and. With cat, you’ll be able to see. Get ahead with. Kaplan Cat Exam Quizlet.
From www.docsity.com
PEDIATRICS NUR0416 CAT 1 KAPLAN2 Q & As ALL ANSWERS 100 CORRECT Kaplan Cat Exam Quizlet Quizlet has study tools to help you learn anything. The cardiologist is suddenly called away for an emergency. The nurse provides care for a client undergoing an exercise stress test. It’s a realistic test experience that mimics the nclex and. Get ahead with the cat. Study with quizlet and memorize flashcards containing terms like the nurse prepares discharge teaching for. Kaplan Cat Exam Quizlet.
From www.stuvia.com
Kaplan NCLEX Readiness Exam Flashcards Quizlet Latest Updated Version Kaplan Cat Exam Quizlet With cat, you’ll be able to see. Study with quizlet and memorize flashcards containing terms like a client is comatose upon arrival to the emergency department after. The nurse provides care for a client undergoing an exercise stress test. Computer adaptive tests mimic the nclex algorithm to help you get the hang of the test. The cardiologist is suddenly called. Kaplan Cat Exam Quizlet.
From www.docsity.com
NUR 4120 Kaplan NCLEX Readiness QUIZLET exam Docsity Kaplan Cat Exam Quizlet Computer adaptive tests mimic the nclex algorithm to help you get the hang of the test. Just like the official exam, it. With cat, you’ll be able to see. The nurse provides care for a client undergoing an exercise stress test. The cardiologist is suddenly called away for an emergency. Study with quizlet and memorize flashcards containing terms like the. Kaplan Cat Exam Quizlet.
From www.studypool.com
SOLUTION Kaplan nclex readiness exam quizlet Studypool Kaplan Cat Exam Quizlet Get ahead with the cat. The cardiologist is suddenly called away for an emergency. Study with quizlet and memorize flashcards containing terms like a client is comatose upon arrival to the emergency department after. Study with quizlet and memorize flashcards containing terms like the nurse prepares discharge teaching for a client who experiences. With cat, you’ll be able to see.. Kaplan Cat Exam Quizlet.
From theschoolusa.com
Test Your Leadership Skills with Kaplan's Integrated Exam on Quizlet Kaplan Cat Exam Quizlet With cat, you’ll be able to see. Computer adaptive tests mimic the nclex algorithm to help you get the hang of the test. Quizlet has study tools to help you learn anything. Study with quizlet and memorize flashcards containing terms like the nurse prepares discharge teaching for a client who experiences. Just like the official exam, it. Study with quizlet. Kaplan Cat Exam Quizlet.