Ncert Logarithms Chapter Class 11 . Logarithm and its applications class 11 maths ncert solutions. Download the pdf of the revised edition of mathematics textbook for class xi, published by ncert in november 2022. Free pdf download of ncert books class 11 maths in english. Logarithm and its applications class 11 maths book. The ncert class 11 mathematics textbook is systematically divided into 14 chapters, covering key areas such as. Students can also download the ncert textbooks solutions in pdf for class 11 book.
from quizizz.com
Students can also download the ncert textbooks solutions in pdf for class 11 book. Logarithm and its applications class 11 maths ncert solutions. Logarithm and its applications class 11 maths book. Free pdf download of ncert books class 11 maths in english. The ncert class 11 mathematics textbook is systematically divided into 14 chapters, covering key areas such as. Download the pdf of the revised edition of mathematics textbook for class xi, published by ncert in november 2022.
50+ Logarithms worksheets for 11th Class on Quizizz Free & Printable
Ncert Logarithms Chapter Class 11 Logarithm and its applications class 11 maths ncert solutions. The ncert class 11 mathematics textbook is systematically divided into 14 chapters, covering key areas such as. Students can also download the ncert textbooks solutions in pdf for class 11 book. Logarithm and its applications class 11 maths book. Download the pdf of the revised edition of mathematics textbook for class xi, published by ncert in november 2022. Logarithm and its applications class 11 maths ncert solutions. Free pdf download of ncert books class 11 maths in english.
From www.thestudypath.com
NCERT Solutions Class 11 Maths Chapter 11 Exercise 11.4 Study Path Ncert Logarithms Chapter Class 11 Students can also download the ncert textbooks solutions in pdf for class 11 book. Free pdf download of ncert books class 11 maths in english. Logarithm and its applications class 11 maths book. Download the pdf of the revised edition of mathematics textbook for class xi, published by ncert in november 2022. Logarithm and its applications class 11 maths ncert. Ncert Logarithms Chapter Class 11.
From www.youtube.com
[PDF]limits of exponential & logarithms function Exercise 13.4 Ncert Logarithms Chapter Class 11 Download the pdf of the revised edition of mathematics textbook for class xi, published by ncert in november 2022. Free pdf download of ncert books class 11 maths in english. Logarithm and its applications class 11 maths book. The ncert class 11 mathematics textbook is systematically divided into 14 chapters, covering key areas such as. Logarithm and its applications class. Ncert Logarithms Chapter Class 11.
From www.esaral.com
Mind Map for Logarithm Revision Class 11, JEE Ncert Logarithms Chapter Class 11 Students can also download the ncert textbooks solutions in pdf for class 11 book. Logarithm and its applications class 11 maths book. The ncert class 11 mathematics textbook is systematically divided into 14 chapters, covering key areas such as. Free pdf download of ncert books class 11 maths in english. Logarithm and its applications class 11 maths ncert solutions. Download. Ncert Logarithms Chapter Class 11.
From schools.aglasem.com
CBSE Class 11 Maths Notes Logarithm Ncert Logarithms Chapter Class 11 The ncert class 11 mathematics textbook is systematically divided into 14 chapters, covering key areas such as. Logarithm and its applications class 11 maths ncert solutions. Logarithm and its applications class 11 maths book. Students can also download the ncert textbooks solutions in pdf for class 11 book. Download the pdf of the revised edition of mathematics textbook for class. Ncert Logarithms Chapter Class 11.
From www.youtube.com
Logarithms class 11 logarithms iit questions logarithm iit jee Ncert Logarithms Chapter Class 11 Logarithm and its applications class 11 maths ncert solutions. Students can also download the ncert textbooks solutions in pdf for class 11 book. The ncert class 11 mathematics textbook is systematically divided into 14 chapters, covering key areas such as. Free pdf download of ncert books class 11 maths in english. Download the pdf of the revised edition of mathematics. Ncert Logarithms Chapter Class 11.
From www.cuemath.com
NCERT Solutions for Class 11 Maths Chapter 1 Sets Access free PDF Ncert Logarithms Chapter Class 11 Students can also download the ncert textbooks solutions in pdf for class 11 book. Free pdf download of ncert books class 11 maths in english. Logarithm and its applications class 11 maths ncert solutions. Download the pdf of the revised edition of mathematics textbook for class xi, published by ncert in november 2022. The ncert class 11 mathematics textbook is. Ncert Logarithms Chapter Class 11.
From www.youtube.com
Concepts of Logarithms L2 Log Base e Log 10 Class 11 Maths Ncert Logarithms Chapter Class 11 Students can also download the ncert textbooks solutions in pdf for class 11 book. The ncert class 11 mathematics textbook is systematically divided into 14 chapters, covering key areas such as. Logarithm and its applications class 11 maths ncert solutions. Download the pdf of the revised edition of mathematics textbook for class xi, published by ncert in november 2022. Logarithm. Ncert Logarithms Chapter Class 11.
From www.thestudypath.com
NCERT Solutions Class 11 Maths Chapter 11 Conic sections Study Path Ncert Logarithms Chapter Class 11 Students can also download the ncert textbooks solutions in pdf for class 11 book. Logarithm and its applications class 11 maths ncert solutions. Free pdf download of ncert books class 11 maths in english. The ncert class 11 mathematics textbook is systematically divided into 14 chapters, covering key areas such as. Logarithm and its applications class 11 maths book. Download. Ncert Logarithms Chapter Class 11.
From www.youtube.com
Formula of Logarithms (log) Mathematics videos Mathur Sir Classes Ncert Logarithms Chapter Class 11 Students can also download the ncert textbooks solutions in pdf for class 11 book. Download the pdf of the revised edition of mathematics textbook for class xi, published by ncert in november 2022. Logarithm and its applications class 11 maths book. Free pdf download of ncert books class 11 maths in english. The ncert class 11 mathematics textbook is systematically. Ncert Logarithms Chapter Class 11.
From www.youtube.com
Logarithm class 11 Physics I Chemistry I How to use logarithm table Ncert Logarithms Chapter Class 11 Free pdf download of ncert books class 11 maths in english. Logarithm and its applications class 11 maths book. Download the pdf of the revised edition of mathematics textbook for class xi, published by ncert in november 2022. Logarithm and its applications class 11 maths ncert solutions. Students can also download the ncert textbooks solutions in pdf for class 11. Ncert Logarithms Chapter Class 11.
From www.youtube.com
Expansions AP & GP Logarithms Basic Maths Class 11 Physics IIT Ncert Logarithms Chapter Class 11 Logarithm and its applications class 11 maths ncert solutions. Download the pdf of the revised edition of mathematics textbook for class xi, published by ncert in november 2022. The ncert class 11 mathematics textbook is systematically divided into 14 chapters, covering key areas such as. Free pdf download of ncert books class 11 maths in english. Students can also download. Ncert Logarithms Chapter Class 11.
From www.studypool.com
SOLUTION Questions logarithms indices converted Studypool Ncert Logarithms Chapter Class 11 Logarithm and its applications class 11 maths book. Students can also download the ncert textbooks solutions in pdf for class 11 book. Download the pdf of the revised edition of mathematics textbook for class xi, published by ncert in november 2022. Free pdf download of ncert books class 11 maths in english. The ncert class 11 mathematics textbook is systematically. Ncert Logarithms Chapter Class 11.
From quizizz.com
50+ Logarithms worksheets for 11th Class on Quizizz Free & Printable Ncert Logarithms Chapter Class 11 Download the pdf of the revised edition of mathematics textbook for class xi, published by ncert in november 2022. The ncert class 11 mathematics textbook is systematically divided into 14 chapters, covering key areas such as. Students can also download the ncert textbooks solutions in pdf for class 11 book. Logarithm and its applications class 11 maths ncert solutions. Free. Ncert Logarithms Chapter Class 11.
From www.youtube.com
How to Solve Logarithmic Equations Logarithms Class 11 Maths IIT Ncert Logarithms Chapter Class 11 Free pdf download of ncert books class 11 maths in english. Students can also download the ncert textbooks solutions in pdf for class 11 book. The ncert class 11 mathematics textbook is systematically divided into 14 chapters, covering key areas such as. Logarithm and its applications class 11 maths book. Logarithm and its applications class 11 maths ncert solutions. Download. Ncert Logarithms Chapter Class 11.
From www.tiwariacademy.com
NCERT Solutions for Class 11 Maths Chapter 1 Sets (Updated 20222023) Ncert Logarithms Chapter Class 11 The ncert class 11 mathematics textbook is systematically divided into 14 chapters, covering key areas such as. Students can also download the ncert textbooks solutions in pdf for class 11 book. Logarithm and its applications class 11 maths ncert solutions. Download the pdf of the revised edition of mathematics textbook for class xi, published by ncert in november 2022. Logarithm. Ncert Logarithms Chapter Class 11.
From studygorpeishsz3.z21.web.core.windows.net
Rules Of Logarithms With Examples Ncert Logarithms Chapter Class 11 Download the pdf of the revised edition of mathematics textbook for class xi, published by ncert in november 2022. Logarithm and its applications class 11 maths book. Free pdf download of ncert books class 11 maths in english. The ncert class 11 mathematics textbook is systematically divided into 14 chapters, covering key areas such as. Students can also download the. Ncert Logarithms Chapter Class 11.
From www.vedantu.com
JEE Advanced Logarithms Important Questions Ncert Logarithms Chapter Class 11 Logarithm and its applications class 11 maths ncert solutions. The ncert class 11 mathematics textbook is systematically divided into 14 chapters, covering key areas such as. Logarithm and its applications class 11 maths book. Download the pdf of the revised edition of mathematics textbook for class xi, published by ncert in november 2022. Free pdf download of ncert books class. Ncert Logarithms Chapter Class 11.
From www.jagranjosh.com
Latest NCERT Book for Class 11 Maths PDF for 202425 (Revised) Ncert Logarithms Chapter Class 11 Logarithm and its applications class 11 maths ncert solutions. Students can also download the ncert textbooks solutions in pdf for class 11 book. Free pdf download of ncert books class 11 maths in english. Logarithm and its applications class 11 maths book. Download the pdf of the revised edition of mathematics textbook for class xi, published by ncert in november. Ncert Logarithms Chapter Class 11.
From www.adda247.com
Logarithm Formula Explanation, Types, Properties, Examples Ncert Logarithms Chapter Class 11 Free pdf download of ncert books class 11 maths in english. Logarithm and its applications class 11 maths book. Students can also download the ncert textbooks solutions in pdf for class 11 book. Logarithm and its applications class 11 maths ncert solutions. Download the pdf of the revised edition of mathematics textbook for class xi, published by ncert in november. Ncert Logarithms Chapter Class 11.
From www.teachoo.com
Limits Formula Sheet Chapter 13 Class 11 Maths Formulas Teachoo Ncert Logarithms Chapter Class 11 Students can also download the ncert textbooks solutions in pdf for class 11 book. The ncert class 11 mathematics textbook is systematically divided into 14 chapters, covering key areas such as. Free pdf download of ncert books class 11 maths in english. Logarithm and its applications class 11 maths ncert solutions. Download the pdf of the revised edition of mathematics. Ncert Logarithms Chapter Class 11.
From www.vrogue.co
How To Find The Base Of A Logarithm 4 Key Concepts Jd vrogue.co Ncert Logarithms Chapter Class 11 Logarithm and its applications class 11 maths book. Download the pdf of the revised edition of mathematics textbook for class xi, published by ncert in november 2022. The ncert class 11 mathematics textbook is systematically divided into 14 chapters, covering key areas such as. Logarithm and its applications class 11 maths ncert solutions. Free pdf download of ncert books class. Ncert Logarithms Chapter Class 11.
From answerschoolschulz.z19.web.core.windows.net
Logarithm Properties Worksheet With Answers Ncert Logarithms Chapter Class 11 Logarithm and its applications class 11 maths ncert solutions. Free pdf download of ncert books class 11 maths in english. Logarithm and its applications class 11 maths book. The ncert class 11 mathematics textbook is systematically divided into 14 chapters, covering key areas such as. Students can also download the ncert textbooks solutions in pdf for class 11 book. Download. Ncert Logarithms Chapter Class 11.
From quizizz.com
50+ Logarithms worksheets for 11th Class on Quizizz Free & Printable Ncert Logarithms Chapter Class 11 Logarithm and its applications class 11 maths ncert solutions. Free pdf download of ncert books class 11 maths in english. Download the pdf of the revised edition of mathematics textbook for class xi, published by ncert in november 2022. The ncert class 11 mathematics textbook is systematically divided into 14 chapters, covering key areas such as. Logarithm and its applications. Ncert Logarithms Chapter Class 11.
From www.youtube.com
1st PUC What is Logarithm Why Logarithms? Laws of Logarithms Ncert Logarithms Chapter Class 11 Download the pdf of the revised edition of mathematics textbook for class xi, published by ncert in november 2022. Logarithm and its applications class 11 maths book. Free pdf download of ncert books class 11 maths in english. Students can also download the ncert textbooks solutions in pdf for class 11 book. The ncert class 11 mathematics textbook is systematically. Ncert Logarithms Chapter Class 11.
From www.youtube.com
Indices & Logarithms Chapter 2 Part1 Laws of Exponents Applied Ncert Logarithms Chapter Class 11 The ncert class 11 mathematics textbook is systematically divided into 14 chapters, covering key areas such as. Logarithm and its applications class 11 maths book. Students can also download the ncert textbooks solutions in pdf for class 11 book. Free pdf download of ncert books class 11 maths in english. Logarithm and its applications class 11 maths ncert solutions. Download. Ncert Logarithms Chapter Class 11.
From www.slideshare.net
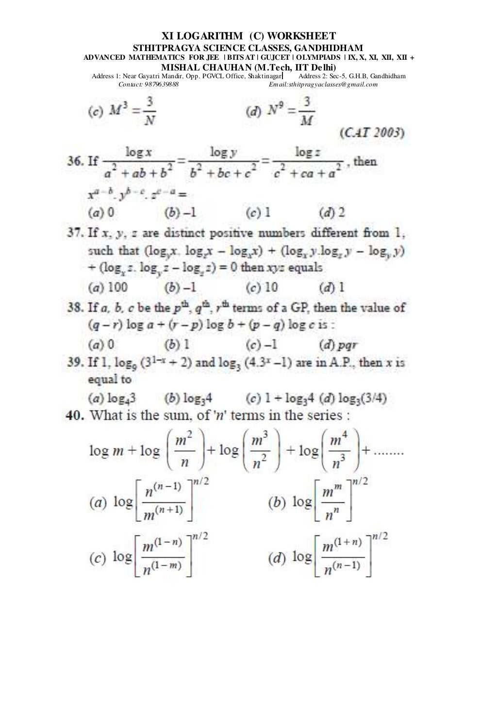
Class xi logarithm (c) worksheet Ncert Logarithms Chapter Class 11 Download the pdf of the revised edition of mathematics textbook for class xi, published by ncert in november 2022. Free pdf download of ncert books class 11 maths in english. The ncert class 11 mathematics textbook is systematically divided into 14 chapters, covering key areas such as. Logarithm and its applications class 11 maths ncert solutions. Students can also download. Ncert Logarithms Chapter Class 11.
From www.studiestoday.com
CBSE Class 11 Maths Evaluation of Exponential and Logarithm Limits Ncert Logarithms Chapter Class 11 Students can also download the ncert textbooks solutions in pdf for class 11 book. Download the pdf of the revised edition of mathematics textbook for class xi, published by ncert in november 2022. The ncert class 11 mathematics textbook is systematically divided into 14 chapters, covering key areas such as. Logarithm and its applications class 11 maths ncert solutions. Free. Ncert Logarithms Chapter Class 11.
From www.youtube.com
LOGARITHMS 01 INTRODUCTION SYSTEM OF LOGARITHMS Class 9 NCERT Ncert Logarithms Chapter Class 11 Students can also download the ncert textbooks solutions in pdf for class 11 book. Logarithm and its applications class 11 maths ncert solutions. Download the pdf of the revised edition of mathematics textbook for class xi, published by ncert in november 2022. Free pdf download of ncert books class 11 maths in english. Logarithm and its applications class 11 maths. Ncert Logarithms Chapter Class 11.
From andymath.com
Logarithms Ncert Logarithms Chapter Class 11 Logarithm and its applications class 11 maths book. Free pdf download of ncert books class 11 maths in english. Logarithm and its applications class 11 maths ncert solutions. The ncert class 11 mathematics textbook is systematically divided into 14 chapters, covering key areas such as. Students can also download the ncert textbooks solutions in pdf for class 11 book. Download. Ncert Logarithms Chapter Class 11.
From helpingwithmath.com
Logarithms What?, Importance, Properties, Expressions Ncert Logarithms Chapter Class 11 Logarithm and its applications class 11 maths book. Free pdf download of ncert books class 11 maths in english. Download the pdf of the revised edition of mathematics textbook for class xi, published by ncert in november 2022. Logarithm and its applications class 11 maths ncert solutions. Students can also download the ncert textbooks solutions in pdf for class 11. Ncert Logarithms Chapter Class 11.
From quizizz.com
50+ Logarithms worksheets for 11th Class on Quizizz Free & Printable Ncert Logarithms Chapter Class 11 Logarithm and its applications class 11 maths ncert solutions. Download the pdf of the revised edition of mathematics textbook for class xi, published by ncert in november 2022. Students can also download the ncert textbooks solutions in pdf for class 11 book. Free pdf download of ncert books class 11 maths in english. Logarithm and its applications class 11 maths. Ncert Logarithms Chapter Class 11.
From doylemaths.weebly.com
Exercise 3BLogarithms and Laws of Logarithms Mathematics Tutorial Ncert Logarithms Chapter Class 11 Logarithm and its applications class 11 maths ncert solutions. Download the pdf of the revised edition of mathematics textbook for class xi, published by ncert in november 2022. Logarithm and its applications class 11 maths book. Free pdf download of ncert books class 11 maths in english. The ncert class 11 mathematics textbook is systematically divided into 14 chapters, covering. Ncert Logarithms Chapter Class 11.
From www.pinterest.com
Logarithm Worksheet with Answers 6 2 Properties Of Logarithms Pdf Free Ncert Logarithms Chapter Class 11 Students can also download the ncert textbooks solutions in pdf for class 11 book. Download the pdf of the revised edition of mathematics textbook for class xi, published by ncert in november 2022. Logarithm and its applications class 11 maths ncert solutions. Free pdf download of ncert books class 11 maths in english. The ncert class 11 mathematics textbook is. Ncert Logarithms Chapter Class 11.
From www.youtube.com
Problems on Laws of Logarithms PART4 Logarithms Class11 CBSE/JEE Ncert Logarithms Chapter Class 11 The ncert class 11 mathematics textbook is systematically divided into 14 chapters, covering key areas such as. Logarithm and its applications class 11 maths book. Download the pdf of the revised edition of mathematics textbook for class xi, published by ncert in november 2022. Students can also download the ncert textbooks solutions in pdf for class 11 book. Free pdf. Ncert Logarithms Chapter Class 11.
From medium.com
Logarithm Rules study pivot 2 Medium Ncert Logarithms Chapter Class 11 Logarithm and its applications class 11 maths book. Free pdf download of ncert books class 11 maths in english. The ncert class 11 mathematics textbook is systematically divided into 14 chapters, covering key areas such as. Students can also download the ncert textbooks solutions in pdf for class 11 book. Logarithm and its applications class 11 maths ncert solutions. Download. Ncert Logarithms Chapter Class 11.