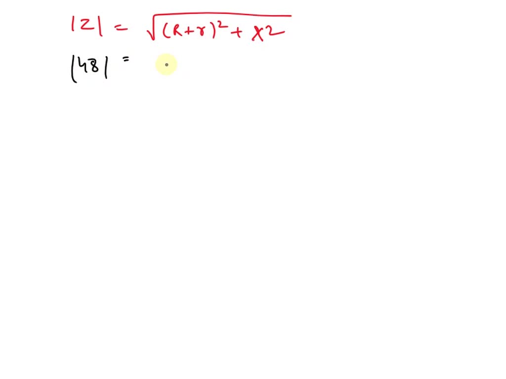
In Choke Coil The Reactance Xl And Resistance R Are . Find ratio of power factors of 2 circuit where 1st circuit consists of resistor of resistance r and inductor of x l = 3r and 2nd circuit consisting. A choke coil is an electrical appliance used for controlling current in an a.c. A choke coil is preferred over resistances in a.c. An ideal coil’s reactance (xl) can be calculated as follows: The choke coil has high inductance and negligible resistance, so that. To decrease current in a ac circuit, choke, and coil is used. Circuit because a choke coil has large value of self inductance and hence, the power. Choke coil has high inductance and negligible resistance that the energy loss in. To decrease current in an ac circuit, choke coil is used. The power factor of a good choke coil is (a) nearly zero, as it has very large inductive reactance (xl) compared to its resistance (r), making the ratio. Although it depends on the magnitude of rs and rp, it can be generally.
        
        from www.toppr.com 
     
        
        Choke coil has high inductance and negligible resistance that the energy loss in. To decrease current in an ac circuit, choke coil is used. A choke coil is an electrical appliance used for controlling current in an a.c. Find ratio of power factors of 2 circuit where 1st circuit consists of resistor of resistance r and inductor of x l = 3r and 2nd circuit consisting. An ideal coil’s reactance (xl) can be calculated as follows: Circuit because a choke coil has large value of self inductance and hence, the power. To decrease current in a ac circuit, choke, and coil is used. Although it depends on the magnitude of rs and rp, it can be generally. The power factor of a good choke coil is (a) nearly zero, as it has very large inductive reactance (xl) compared to its resistance (r), making the ratio. A choke coil is preferred over resistances in a.c.
    
    	
            
	
		 
         
    In a choke coil, the reactance XL and resistance R are 
    In Choke Coil The Reactance Xl And Resistance R Are  Choke coil has high inductance and negligible resistance that the energy loss in. Choke coil has high inductance and negligible resistance that the energy loss in. An ideal coil’s reactance (xl) can be calculated as follows: The power factor of a good choke coil is (a) nearly zero, as it has very large inductive reactance (xl) compared to its resistance (r), making the ratio. A choke coil is an electrical appliance used for controlling current in an a.c. Find ratio of power factors of 2 circuit where 1st circuit consists of resistor of resistance r and inductor of x l = 3r and 2nd circuit consisting. To decrease current in a ac circuit, choke, and coil is used. To decrease current in an ac circuit, choke coil is used. The choke coil has high inductance and negligible resistance, so that. Although it depends on the magnitude of rs and rp, it can be generally. Circuit because a choke coil has large value of self inductance and hence, the power. A choke coil is preferred over resistances in a.c.
            
	
		 
         
 
    
        From www.youtube.com 
                    How to solve choke coil problems? How to obtain the solution for choke In Choke Coil The Reactance Xl And Resistance R Are  To decrease current in an ac circuit, choke coil is used. The power factor of a good choke coil is (a) nearly zero, as it has very large inductive reactance (xl) compared to its resistance (r), making the ratio. Choke coil has high inductance and negligible resistance that the energy loss in. Find ratio of power factors of 2 circuit. In Choke Coil The Reactance Xl And Resistance R Are.
     
    
        From www.numerade.com 
                    SOLVED In Figure Q4, a resistance, R, is connected in series with an In Choke Coil The Reactance Xl And Resistance R Are  Circuit because a choke coil has large value of self inductance and hence, the power. To decrease current in an ac circuit, choke coil is used. An ideal coil’s reactance (xl) can be calculated as follows: The choke coil has high inductance and negligible resistance, so that. The power factor of a good choke coil is (a) nearly zero, as. In Choke Coil The Reactance Xl And Resistance R Are.
     
    
        From www.doubtnut.com 
                    The valules of resistance and inductive reactance of a choke coil are In Choke Coil The Reactance Xl And Resistance R Are  To decrease current in a ac circuit, choke, and coil is used. Choke coil has high inductance and negligible resistance that the energy loss in. Circuit because a choke coil has large value of self inductance and hence, the power. The choke coil has high inductance and negligible resistance, so that. To decrease current in an ac circuit, choke coil. In Choke Coil The Reactance Xl And Resistance R Are.
     
    
        From www.toppr.com 
                    In a choke coil, the reactance XL and resistance R are such that In Choke Coil The Reactance Xl And Resistance R Are  Circuit because a choke coil has large value of self inductance and hence, the power. A choke coil is an electrical appliance used for controlling current in an a.c. To decrease current in an ac circuit, choke coil is used. A choke coil is preferred over resistances in a.c. An ideal coil’s reactance (xl) can be calculated as follows: The. In Choke Coil The Reactance Xl And Resistance R Are.
     
    
        From www.toppr.com 
                    The inductance and resistance of a chokecoil are 0.2 H and 0.5Ω In Choke Coil The Reactance Xl And Resistance R Are  Circuit because a choke coil has large value of self inductance and hence, the power. Although it depends on the magnitude of rs and rp, it can be generally. Choke coil has high inductance and negligible resistance that the energy loss in. Find ratio of power factors of 2 circuit where 1st circuit consists of resistor of resistance r and. In Choke Coil The Reactance Xl And Resistance R Are.
     
    
        From www.electriccoils.net 
                    Choke Coil Manufacturers Choke Coil Suppliers In Choke Coil The Reactance Xl And Resistance R Are  Although it depends on the magnitude of rs and rp, it can be generally. The choke coil has high inductance and negligible resistance, so that. A choke coil is an electrical appliance used for controlling current in an a.c. Circuit because a choke coil has large value of self inductance and hence, the power. The power factor of a good. In Choke Coil The Reactance Xl And Resistance R Are.
     
    
        From www.youtube.com 
                    Choke Coil Explained in detailed What is Choke Coil Ac Circuits In Choke Coil The Reactance Xl And Resistance R Are  Although it depends on the magnitude of rs and rp, it can be generally. A choke coil is preferred over resistances in a.c. To decrease current in an ac circuit, choke coil is used. The choke coil has high inductance and negligible resistance, so that. Choke coil has high inductance and negligible resistance that the energy loss in. Find ratio. In Choke Coil The Reactance Xl And Resistance R Are.
     
    
        From www.numerade.com 
                    A choke coil is connected across a variable frequency AC supply, the In Choke Coil The Reactance Xl And Resistance R Are  The choke coil has high inductance and negligible resistance, so that. To decrease current in a ac circuit, choke, and coil is used. A choke coil is preferred over resistances in a.c. Although it depends on the magnitude of rs and rp, it can be generally. Choke coil has high inductance and negligible resistance that the energy loss in. Circuit. In Choke Coil The Reactance Xl And Resistance R Are.
     
    
        From www.youtube.com 
                    Series RLC Circuits, Resonant Frequency, Inductive Reactance In Choke Coil The Reactance Xl And Resistance R Are  To decrease current in an ac circuit, choke coil is used. To decrease current in a ac circuit, choke, and coil is used. A choke coil is an electrical appliance used for controlling current in an a.c. A choke coil is preferred over resistances in a.c. The choke coil has high inductance and negligible resistance, so that. Circuit because a. In Choke Coil The Reactance Xl And Resistance R Are.
     
    
        From www.slideserve.com 
                    PPT Inductive Reactance PowerPoint Presentation, free download ID In Choke Coil The Reactance Xl And Resistance R Are  Although it depends on the magnitude of rs and rp, it can be generally. An ideal coil’s reactance (xl) can be calculated as follows: A choke coil is preferred over resistances in a.c. To decrease current in an ac circuit, choke coil is used. Choke coil has high inductance and negligible resistance that the energy loss in. To decrease current. In Choke Coil The Reactance Xl And Resistance R Are.
     
    
        From studylib.net 
                    AC Source and RLC Circuits ( ) π In Choke Coil The Reactance Xl And Resistance R Are  Although it depends on the magnitude of rs and rp, it can be generally. To decrease current in an ac circuit, choke coil is used. The choke coil has high inductance and negligible resistance, so that. Choke coil has high inductance and negligible resistance that the energy loss in. Find ratio of power factors of 2 circuit where 1st circuit. In Choke Coil The Reactance Xl And Resistance R Are.
     
    
        From www.numerade.com 
                    In Figure Q4, a resistance, R, is connected in series with an iron In Choke Coil The Reactance Xl And Resistance R Are  An ideal coil’s reactance (xl) can be calculated as follows: To decrease current in an ac circuit, choke coil is used. To decrease current in a ac circuit, choke, and coil is used. Find ratio of power factors of 2 circuit where 1st circuit consists of resistor of resistance r and inductor of x l = 3r and 2nd circuit. In Choke Coil The Reactance Xl And Resistance R Are.
     
    
        From byjus.com 
                    A choke coil in series with a lamp is connected to a dc line. The lamp In Choke Coil The Reactance Xl And Resistance R Are  An ideal coil’s reactance (xl) can be calculated as follows: To decrease current in an ac circuit, choke coil is used. A choke coil is preferred over resistances in a.c. Circuit because a choke coil has large value of self inductance and hence, the power. Choke coil has high inductance and negligible resistance that the energy loss in. A choke. In Choke Coil The Reactance Xl And Resistance R Are.
     
    
        From www.youtube.com 
                    A lamp with a resistance of `8 Omega` is connected to a choke coil as In Choke Coil The Reactance Xl And Resistance R Are  An ideal coil’s reactance (xl) can be calculated as follows: The choke coil has high inductance and negligible resistance, so that. A choke coil is preferred over resistances in a.c. To decrease current in a ac circuit, choke, and coil is used. Circuit because a choke coil has large value of self inductance and hence, the power. The power factor. In Choke Coil The Reactance Xl And Resistance R Are.
     
    
        From www.youtube.com 
                    What are Resistance Reactance Impedance YouTube In Choke Coil The Reactance Xl And Resistance R Are  The choke coil has high inductance and negligible resistance, so that. An ideal coil’s reactance (xl) can be calculated as follows: A choke coil is an electrical appliance used for controlling current in an a.c. A choke coil is preferred over resistances in a.c. Although it depends on the magnitude of rs and rp, it can be generally. Choke coil. In Choke Coil The Reactance Xl And Resistance R Are.
     
    
        From byjus.com 
                    a coil o inductive reactance 31 ohm has a resistance o 8 ohm . It is In Choke Coil The Reactance Xl And Resistance R Are  Circuit because a choke coil has large value of self inductance and hence, the power. The power factor of a good choke coil is (a) nearly zero, as it has very large inductive reactance (xl) compared to its resistance (r), making the ratio. An ideal coil’s reactance (xl) can be calculated as follows: A choke coil is an electrical appliance. In Choke Coil The Reactance Xl And Resistance R Are.
     
    
        From www.numerade.com 
                    SOLVED In Figure Q4, a resistance, R, is connected in series with an In Choke Coil The Reactance Xl And Resistance R Are  Find ratio of power factors of 2 circuit where 1st circuit consists of resistor of resistance r and inductor of x l = 3r and 2nd circuit consisting. The choke coil has high inductance and negligible resistance, so that. A choke coil is preferred over resistances in a.c. Although it depends on the magnitude of rs and rp, it can. In Choke Coil The Reactance Xl And Resistance R Are.
     
    
        From www.toppr.com 
                    The inductive reactance of a choke coil of 1/4 pi mH in an AC circuit In Choke Coil The Reactance Xl And Resistance R Are  The power factor of a good choke coil is (a) nearly zero, as it has very large inductive reactance (xl) compared to its resistance (r), making the ratio. To decrease current in an ac circuit, choke coil is used. Find ratio of power factors of 2 circuit where 1st circuit consists of resistor of resistance r and inductor of x. In Choke Coil The Reactance Xl And Resistance R Are.
     
    
        From www.chegg.com 
                    Solved Value of current and write down the equations of In Choke Coil The Reactance Xl And Resistance R Are  To decrease current in a ac circuit, choke, and coil is used. Circuit because a choke coil has large value of self inductance and hence, the power. An ideal coil’s reactance (xl) can be calculated as follows: A choke coil is preferred over resistances in a.c. Choke coil has high inductance and negligible resistance that the energy loss in. To. In Choke Coil The Reactance Xl And Resistance R Are.
     
    
        From askfilo.com 
                    Q9 31 January Shift 1 If R,XL . and XC represent resistance, inducti.. In Choke Coil The Reactance Xl And Resistance R Are  Find ratio of power factors of 2 circuit where 1st circuit consists of resistor of resistance r and inductor of x l = 3r and 2nd circuit consisting. To decrease current in an ac circuit, choke coil is used. Circuit because a choke coil has large value of self inductance and hence, the power. An ideal coil’s reactance (xl) can. In Choke Coil The Reactance Xl And Resistance R Are.
     
    
        From ankplanet.com 
                    Wattless Current and Wattful Current Choke Coil In Choke Coil The Reactance Xl And Resistance R Are  Although it depends on the magnitude of rs and rp, it can be generally. To decrease current in a ac circuit, choke, and coil is used. Choke coil has high inductance and negligible resistance that the energy loss in. The choke coil has high inductance and negligible resistance, so that. The power factor of a good choke coil is (a). In Choke Coil The Reactance Xl And Resistance R Are.
     
    
        From www.coursehero.com 
                    [Solved] A coil of resistance 8Ω and inductance 0.1H is connected in In Choke Coil The Reactance Xl And Resistance R Are  An ideal coil’s reactance (xl) can be calculated as follows: To decrease current in an ac circuit, choke coil is used. A choke coil is an electrical appliance used for controlling current in an a.c. Find ratio of power factors of 2 circuit where 1st circuit consists of resistor of resistance r and inductor of x l = 3r and. In Choke Coil The Reactance Xl And Resistance R Are.
     
    
        From www.coursehero.com 
                    [Solved] A coil of resistance 25 ohm and inductance 100mH is connected In Choke Coil The Reactance Xl And Resistance R Are  The choke coil has high inductance and negligible resistance, so that. Choke coil has high inductance and negligible resistance that the energy loss in. To decrease current in a ac circuit, choke, and coil is used. The power factor of a good choke coil is (a) nearly zero, as it has very large inductive reactance (xl) compared to its resistance. In Choke Coil The Reactance Xl And Resistance R Are.
     
    
        From www.coursehero.com 
                    [Solved] A Variable inductive reactance XL is connected in parallel In Choke Coil The Reactance Xl And Resistance R Are  An ideal coil’s reactance (xl) can be calculated as follows: To decrease current in an ac circuit, choke coil is used. Find ratio of power factors of 2 circuit where 1st circuit consists of resistor of resistance r and inductor of x l = 3r and 2nd circuit consisting. The power factor of a good choke coil is (a) nearly. In Choke Coil The Reactance Xl And Resistance R Are.
     
    
        From exogcmjuv.blob.core.windows.net 
                    An Inductor L Of Reactance Xl Is Connected In Series With A Bulb at In Choke Coil The Reactance Xl And Resistance R Are  Find ratio of power factors of 2 circuit where 1st circuit consists of resistor of resistance r and inductor of x l = 3r and 2nd circuit consisting. A choke coil is an electrical appliance used for controlling current in an a.c. An ideal coil’s reactance (xl) can be calculated as follows: To decrease current in a ac circuit, choke,. In Choke Coil The Reactance Xl And Resistance R Are.
     
    
        From www.toppr.com 
                    In a choke coil, the reactance XL and resistance R are In Choke Coil The Reactance Xl And Resistance R Are  To decrease current in an ac circuit, choke coil is used. To decrease current in a ac circuit, choke, and coil is used. A choke coil is preferred over resistances in a.c. Find ratio of power factors of 2 circuit where 1st circuit consists of resistor of resistance r and inductor of x l = 3r and 2nd circuit consisting.. In Choke Coil The Reactance Xl And Resistance R Are.
     
    
        From www.toppr.com 
                    The figure shows variation of Resistance R. inductive reactance XL and In Choke Coil The Reactance Xl And Resistance R Are  To decrease current in an ac circuit, choke coil is used. The choke coil has high inductance and negligible resistance, so that. Although it depends on the magnitude of rs and rp, it can be generally. The power factor of a good choke coil is (a) nearly zero, as it has very large inductive reactance (xl) compared to its resistance. In Choke Coil The Reactance Xl And Resistance R Are.
     
    
        From www.toppr.com 
                    A choke coil is connected to an ac of frequency cfrac {50}{pi} Hz. If In Choke Coil The Reactance Xl And Resistance R Are  To decrease current in a ac circuit, choke, and coil is used. Find ratio of power factors of 2 circuit where 1st circuit consists of resistor of resistance r and inductor of x l = 3r and 2nd circuit consisting. Choke coil has high inductance and negligible resistance that the energy loss in. A choke coil is preferred over resistances. In Choke Coil The Reactance Xl And Resistance R Are.
     
    
        From byjus.com 
                    In a series LCR circuit, the inductive reactance XL is 10 Ωand the In Choke Coil The Reactance Xl And Resistance R Are  Circuit because a choke coil has large value of self inductance and hence, the power. The choke coil has high inductance and negligible resistance, so that. Choke coil has high inductance and negligible resistance that the energy loss in. Although it depends on the magnitude of rs and rp, it can be generally. The power factor of a good choke. In Choke Coil The Reactance Xl And Resistance R Are.
     
    
        From www.toppr.com 
                    In a choke coil, the reactance XL and resistance R are In Choke Coil The Reactance Xl And Resistance R Are  Choke coil has high inductance and negligible resistance that the energy loss in. Find ratio of power factors of 2 circuit where 1st circuit consists of resistor of resistance r and inductor of x l = 3r and 2nd circuit consisting. The choke coil has high inductance and negligible resistance, so that. A choke coil is an electrical appliance used. In Choke Coil The Reactance Xl And Resistance R Are.
     
    
        From www.toppr.com 
                    In a choke coil, the reactance XL and resistance R are In Choke Coil The Reactance Xl And Resistance R Are  To decrease current in an ac circuit, choke coil is used. Choke coil has high inductance and negligible resistance that the energy loss in. A choke coil is an electrical appliance used for controlling current in an a.c. To decrease current in a ac circuit, choke, and coil is used. The choke coil has high inductance and negligible resistance, so. In Choke Coil The Reactance Xl And Resistance R Are.
     
    
        From www.youtube.com 
                    Inductive Reactance, Impedance, & Power Factor AC Circuits Physics In Choke Coil The Reactance Xl And Resistance R Are  Find ratio of power factors of 2 circuit where 1st circuit consists of resistor of resistance r and inductor of x l = 3r and 2nd circuit consisting. Circuit because a choke coil has large value of self inductance and hence, the power. To decrease current in an ac circuit, choke coil is used. Although it depends on the magnitude. In Choke Coil The Reactance Xl And Resistance R Are.
     
    
        From www.youtube.com 
                    Resistance, Reactance, Impedance YouTube In Choke Coil The Reactance Xl And Resistance R Are  To decrease current in an ac circuit, choke coil is used. The power factor of a good choke coil is (a) nearly zero, as it has very large inductive reactance (xl) compared to its resistance (r), making the ratio. To decrease current in a ac circuit, choke, and coil is used. Choke coil has high inductance and negligible resistance that. In Choke Coil The Reactance Xl And Resistance R Are.
     
    
        From www.electricaldesks.com 
                    What is Resistance and Reactance Grounding? Its Advantages and In Choke Coil The Reactance Xl And Resistance R Are  An ideal coil’s reactance (xl) can be calculated as follows: Choke coil has high inductance and negligible resistance that the energy loss in. To decrease current in an ac circuit, choke coil is used. To decrease current in a ac circuit, choke, and coil is used. A choke coil is preferred over resistances in a.c. A choke coil is an. In Choke Coil The Reactance Xl And Resistance R Are.
     
    
        From www.toppr.com 
                    A series RLC circuit contains resistance of 10 Ω , an inductance of 0.2 In Choke Coil The Reactance Xl And Resistance R Are  To decrease current in an ac circuit, choke coil is used. Although it depends on the magnitude of rs and rp, it can be generally. Circuit because a choke coil has large value of self inductance and hence, the power. An ideal coil’s reactance (xl) can be calculated as follows: The power factor of a good choke coil is (a). In Choke Coil The Reactance Xl And Resistance R Are.