What Is Sop In Legal Terms . Standard operating procedure (sop) means a written document that details the method of an operation, analysis or action whose techniques. Definition of standard operating procedures. In a government law office, a standard operating procedure can encompass any type of process or procedure that normally. Sops should be followed the same. Standard operating procedures (sops) tell you how to do. Standard operating procedures (sops) are formal, written instructions that. Standard operating procedures (sop) or “sop” means the procedures as specified in the annexes or attachments to the relevant schedules;. An sop, which stands for standard operating procedure, is a document that outlines the required steps to complete. What is a standard operating procedure (sop)? What are standard operating procedures (sops)?
from www.resco.net
Standard operating procedures (sops) are formal, written instructions that. In a government law office, a standard operating procedure can encompass any type of process or procedure that normally. Standard operating procedures (sop) or “sop” means the procedures as specified in the annexes or attachments to the relevant schedules;. Sops should be followed the same. An sop, which stands for standard operating procedure, is a document that outlines the required steps to complete. Standard operating procedures (sops) tell you how to do. What are standard operating procedures (sops)? Standard operating procedure (sop) means a written document that details the method of an operation, analysis or action whose techniques. Definition of standard operating procedures. What is a standard operating procedure (sop)?
What Is Standard Operating Procedure SOP? Resco
What Is Sop In Legal Terms Definition of standard operating procedures. Standard operating procedures (sop) or “sop” means the procedures as specified in the annexes or attachments to the relevant schedules;. Standard operating procedures (sops) tell you how to do. An sop, which stands for standard operating procedure, is a document that outlines the required steps to complete. Standard operating procedure (sop) means a written document that details the method of an operation, analysis or action whose techniques. Definition of standard operating procedures. Sops should be followed the same. Standard operating procedures (sops) are formal, written instructions that. What is a standard operating procedure (sop)? What are standard operating procedures (sops)? In a government law office, a standard operating procedure can encompass any type of process or procedure that normally.
From www.scribd.com
Sample SOP For Law PDF Mathematics Experience What Is Sop In Legal Terms What are standard operating procedures (sops)? Standard operating procedures (sops) are formal, written instructions that. Standard operating procedures (sops) tell you how to do. An sop, which stands for standard operating procedure, is a document that outlines the required steps to complete. Standard operating procedure (sop) means a written document that details the method of an operation, analysis or action. What Is Sop In Legal Terms.
From www.studypool.com
SOLUTION Sop s and its types Studypool What Is Sop In Legal Terms In a government law office, a standard operating procedure can encompass any type of process or procedure that normally. Definition of standard operating procedures. Sops should be followed the same. Standard operating procedures (sops) are formal, written instructions that. Standard operating procedures (sops) tell you how to do. What are standard operating procedures (sops)? An sop, which stands for standard. What Is Sop In Legal Terms.
From dev.youngvic.org
Iso 9001 Standard Operating Procedure Template, All Applicable Pol, Sop, Psi, Diagrams, And What Is Sop In Legal Terms Standard operating procedure (sop) means a written document that details the method of an operation, analysis or action whose techniques. In a government law office, a standard operating procedure can encompass any type of process or procedure that normally. Standard operating procedures (sops) tell you how to do. Definition of standard operating procedures. What is a standard operating procedure (sop)?. What Is Sop In Legal Terms.
From westernmotodrags.com
Sop Example Business Mentor What Is Sop In Legal Terms What are standard operating procedures (sops)? What is a standard operating procedure (sop)? Sops should be followed the same. In a government law office, a standard operating procedure can encompass any type of process or procedure that normally. An sop, which stands for standard operating procedure, is a document that outlines the required steps to complete. Standard operating procedures (sop). What Is Sop In Legal Terms.
From www.resco.net
What Is Standard Operating Procedure SOP? Resco What Is Sop In Legal Terms Standard operating procedure (sop) means a written document that details the method of an operation, analysis or action whose techniques. Sops should be followed the same. What are standard operating procedures (sops)? An sop, which stands for standard operating procedure, is a document that outlines the required steps to complete. What is a standard operating procedure (sop)? Standard operating procedures. What Is Sop In Legal Terms.
From resourcesnaw.weebly.com
What is the meaning of sop resourcesnaw What Is Sop In Legal Terms Sops should be followed the same. What is a standard operating procedure (sop)? Standard operating procedures (sops) are formal, written instructions that. Standard operating procedures (sops) tell you how to do. Standard operating procedures (sop) or “sop” means the procedures as specified in the annexes or attachments to the relevant schedules;. Definition of standard operating procedures. In a government law. What Is Sop In Legal Terms.
From www.getwordtemplates.com
9+ Standard Operating Procedure (SOP) Templates Word Excel PDF Formats What Is Sop In Legal Terms Definition of standard operating procedures. Standard operating procedures (sop) or “sop” means the procedures as specified in the annexes or attachments to the relevant schedules;. Standard operating procedures (sops) tell you how to do. An sop, which stands for standard operating procedure, is a document that outlines the required steps to complete. Standard operating procedures (sops) are formal, written instructions. What Is Sop In Legal Terms.
From contentholic.com
SOP Samples for Courses with different Formats, Guidelines & Examples What Is Sop In Legal Terms Standard operating procedures (sops) are formal, written instructions that. Standard operating procedure (sop) means a written document that details the method of an operation, analysis or action whose techniques. Standard operating procedures (sop) or “sop” means the procedures as specified in the annexes or attachments to the relevant schedules;. Sops should be followed the same. Standard operating procedures (sops) tell. What Is Sop In Legal Terms.
From www.scribd.com
Sample SOP For Legal and Other Requirements PDF PDF Regulatory Compliance Regulation What Is Sop In Legal Terms In a government law office, a standard operating procedure can encompass any type of process or procedure that normally. Standard operating procedure (sop) means a written document that details the method of an operation, analysis or action whose techniques. Sops should be followed the same. Standard operating procedures (sop) or “sop” means the procedures as specified in the annexes or. What Is Sop In Legal Terms.
From soplorwriters.com
frequently asked questions faq on statement of purpose sop What Is Sop In Legal Terms Standard operating procedure (sop) means a written document that details the method of an operation, analysis or action whose techniques. Definition of standard operating procedures. Standard operating procedures (sop) or “sop” means the procedures as specified in the annexes or attachments to the relevant schedules;. Sops should be followed the same. In a government law office, a standard operating procedure. What Is Sop In Legal Terms.
From templatelab.com
37 Best Standard Operating Procedure (SOP) Templates What Is Sop In Legal Terms Standard operating procedure (sop) means a written document that details the method of an operation, analysis or action whose techniques. Definition of standard operating procedures. What is a standard operating procedure (sop)? Standard operating procedures (sops) tell you how to do. In a government law office, a standard operating procedure can encompass any type of process or procedure that normally.. What Is Sop In Legal Terms.
From anjitvs.in
How to write a Statement of Purpose for Law SOP for LLM What Is Sop In Legal Terms Sops should be followed the same. Standard operating procedure (sop) means a written document that details the method of an operation, analysis or action whose techniques. Standard operating procedures (sops) tell you how to do. What is a standard operating procedure (sop)? Definition of standard operating procedures. In a government law office, a standard operating procedure can encompass any type. What Is Sop In Legal Terms.
From solatatech.com
How to Write Effective Standard Operating Procedures (SOP) (2022) What Is Sop In Legal Terms In a government law office, a standard operating procedure can encompass any type of process or procedure that normally. Sops should be followed the same. An sop, which stands for standard operating procedure, is a document that outlines the required steps to complete. Definition of standard operating procedures. Standard operating procedure (sop) means a written document that details the method. What Is Sop In Legal Terms.
From 7esl.com
SOP Meaning What Does SOP Stand For? • 7ESL What Is Sop In Legal Terms Standard operating procedure (sop) means a written document that details the method of an operation, analysis or action whose techniques. Definition of standard operating procedures. Sops should be followed the same. Standard operating procedures (sops) tell you how to do. What is a standard operating procedure (sop)? In a government law office, a standard operating procedure can encompass any type. What Is Sop In Legal Terms.
From www.getwordtemplates.com
9+ Standard Operating Procedure (SOP) Templates Word Excel PDF Formats What Is Sop In Legal Terms What is a standard operating procedure (sop)? In a government law office, a standard operating procedure can encompass any type of process or procedure that normally. Standard operating procedure (sop) means a written document that details the method of an operation, analysis or action whose techniques. Definition of standard operating procedures. An sop, which stands for standard operating procedure, is. What Is Sop In Legal Terms.
From www.slideshare.net
Law School SOP What Is Sop In Legal Terms In a government law office, a standard operating procedure can encompass any type of process or procedure that normally. Definition of standard operating procedures. Standard operating procedures (sops) are formal, written instructions that. An sop, which stands for standard operating procedure, is a document that outlines the required steps to complete. Standard operating procedures (sop) or “sop” means the procedures. What Is Sop In Legal Terms.
From studylib.net
SOP Formatting Guide What Is Sop In Legal Terms Standard operating procedure (sop) means a written document that details the method of an operation, analysis or action whose techniques. Definition of standard operating procedures. What are standard operating procedures (sops)? What is a standard operating procedure (sop)? An sop, which stands for standard operating procedure, is a document that outlines the required steps to complete. Standard operating procedures (sop). What Is Sop In Legal Terms.
From turkceonlineanimeizle.com
Ultimate Guide to Creating Effective Standard Operating Procedures (SOPs) with Free Template What Is Sop In Legal Terms An sop, which stands for standard operating procedure, is a document that outlines the required steps to complete. Standard operating procedures (sops) tell you how to do. In a government law office, a standard operating procedure can encompass any type of process or procedure that normally. Standard operating procedure (sop) means a written document that details the method of an. What Is Sop In Legal Terms.
From templatelab.com
37 Best Standard Operating Procedure (SOP) Templates What Is Sop In Legal Terms Definition of standard operating procedures. What is a standard operating procedure (sop)? In a government law office, a standard operating procedure can encompass any type of process or procedure that normally. Standard operating procedures (sop) or “sop” means the procedures as specified in the annexes or attachments to the relevant schedules;. Standard operating procedures (sops) are formal, written instructions that.. What Is Sop In Legal Terms.
From templatelab.com
37 Best Standard Operating Procedure (SOP) Templates What Is Sop In Legal Terms In a government law office, a standard operating procedure can encompass any type of process or procedure that normally. Sops should be followed the same. Standard operating procedure (sop) means a written document that details the method of an operation, analysis or action whose techniques. Standard operating procedures (sop) or “sop” means the procedures as specified in the annexes or. What Is Sop In Legal Terms.
From templatelab.com
37 Best Standard Operating Procedure (SOP) Templates What Is Sop In Legal Terms Standard operating procedures (sops) tell you how to do. Standard operating procedures (sops) are formal, written instructions that. Sops should be followed the same. Standard operating procedures (sop) or “sop” means the procedures as specified in the annexes or attachments to the relevant schedules;. What are standard operating procedures (sops)? Standard operating procedure (sop) means a written document that details. What Is Sop In Legal Terms.
From www.studocu.com
SOP for Legal Secretarial and Compliance STANDARD OPERATING PROCEDURES (“SOP”) FOR LEGAL What Is Sop In Legal Terms Standard operating procedures (sop) or “sop” means the procedures as specified in the annexes or attachments to the relevant schedules;. An sop, which stands for standard operating procedure, is a document that outlines the required steps to complete. Sops should be followed the same. Standard operating procedures (sops) are formal, written instructions that. Standard operating procedure (sop) means a written. What Is Sop In Legal Terms.
From geekflare.com
9 Best SOP (Standard Operating Procedure) Templates for Businesses Geekflare What Is Sop In Legal Terms Standard operating procedures (sops) tell you how to do. What are standard operating procedures (sops)? An sop, which stands for standard operating procedure, is a document that outlines the required steps to complete. Standard operating procedures (sops) are formal, written instructions that. Standard operating procedure (sop) means a written document that details the method of an operation, analysis or action. What Is Sop In Legal Terms.
From www.template.net
Legal Corporate Standard Operating Procedure (SOP) Template Edit Online & Download Example What Is Sop In Legal Terms Standard operating procedures (sops) tell you how to do. What are standard operating procedures (sops)? Standard operating procedure (sop) means a written document that details the method of an operation, analysis or action whose techniques. An sop, which stands for standard operating procedure, is a document that outlines the required steps to complete. Standard operating procedures (sop) or “sop” means. What Is Sop In Legal Terms.
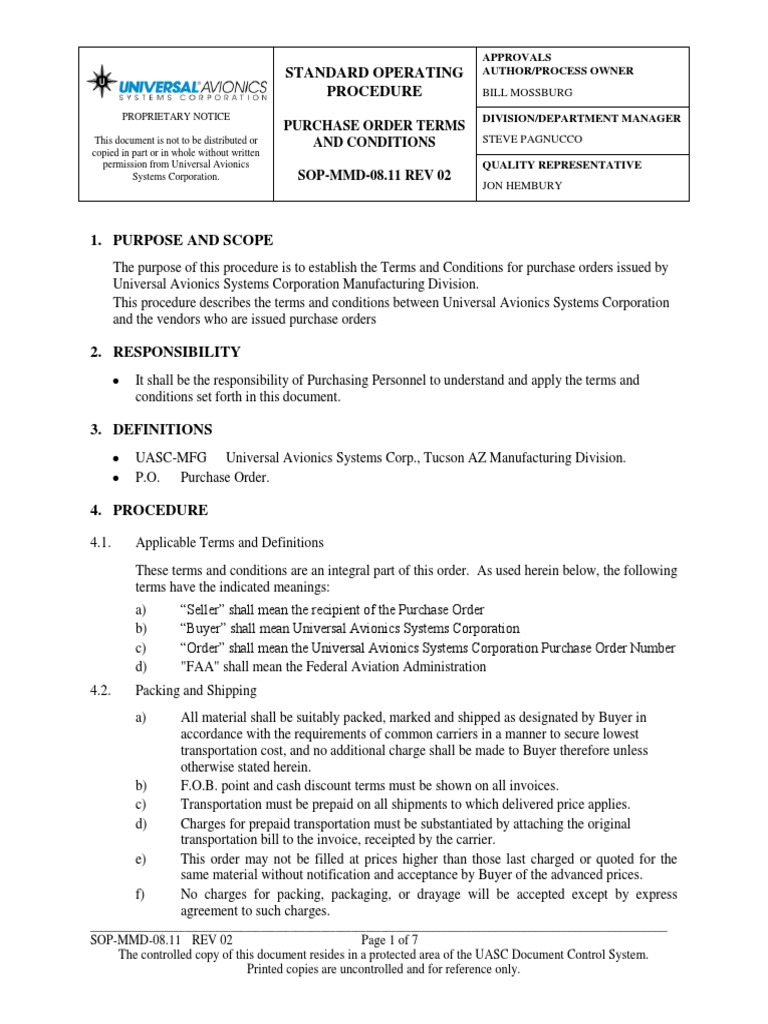
From www.scribd.com
Sop MMD 08 11 Purchase Order Terms and Conditions PDF PDF Indemnity Private Law What Is Sop In Legal Terms An sop, which stands for standard operating procedure, is a document that outlines the required steps to complete. Sops should be followed the same. In a government law office, a standard operating procedure can encompass any type of process or procedure that normally. Definition of standard operating procedures. Standard operating procedures (sops) tell you how to do. What are standard. What Is Sop In Legal Terms.
From www.getwordtemplates.com
9+ Standard Operating Procedure (SOP) Templates Word Excel PDF Formats What Is Sop In Legal Terms Definition of standard operating procedures. Standard operating procedure (sop) means a written document that details the method of an operation, analysis or action whose techniques. What is a standard operating procedure (sop)? What are standard operating procedures (sops)? Sops should be followed the same. Standard operating procedures (sop) or “sop” means the procedures as specified in the annexes or attachments. What Is Sop In Legal Terms.
From www.slideshare.net
SOP Legal Expenses What Is Sop In Legal Terms Standard operating procedures (sops) are formal, written instructions that. What is a standard operating procedure (sop)? Standard operating procedures (sop) or “sop” means the procedures as specified in the annexes or attachments to the relevant schedules;. Definition of standard operating procedures. What are standard operating procedures (sops)? In a government law office, a standard operating procedure can encompass any type. What Is Sop In Legal Terms.
From www.template.net
Legal Corporate Standard Operating Procedure (SOP) Template Edit Online & Download Example What Is Sop In Legal Terms Standard operating procedures (sop) or “sop” means the procedures as specified in the annexes or attachments to the relevant schedules;. In a government law office, a standard operating procedure can encompass any type of process or procedure that normally. Standard operating procedures (sops) are formal, written instructions that. Standard operating procedure (sop) means a written document that details the method. What Is Sop In Legal Terms.
From greatlakesadvisory.com
What Are the Different Types of SOP and Their Benefits? Great Lakes Advisory, a Key Performance What Is Sop In Legal Terms In a government law office, a standard operating procedure can encompass any type of process or procedure that normally. What are standard operating procedures (sops)? Sops should be followed the same. An sop, which stands for standard operating procedure, is a document that outlines the required steps to complete. Standard operating procedures (sop) or “sop” means the procedures as specified. What Is Sop In Legal Terms.
From bestcontentwriter.in
Statement of Purpose for Law Student Sample Format SOP What Is Sop In Legal Terms In a government law office, a standard operating procedure can encompass any type of process or procedure that normally. What are standard operating procedures (sops)? An sop, which stands for standard operating procedure, is a document that outlines the required steps to complete. Standard operating procedures (sops) are formal, written instructions that. What is a standard operating procedure (sop)? Sops. What Is Sop In Legal Terms.
From mavink.com
Sop Parts What Is Sop In Legal Terms Definition of standard operating procedures. Standard operating procedures (sops) are formal, written instructions that. Standard operating procedure (sop) means a written document that details the method of an operation, analysis or action whose techniques. Standard operating procedures (sop) or “sop” means the procedures as specified in the annexes or attachments to the relevant schedules;. What is a standard operating procedure. What Is Sop In Legal Terms.
From www.process.st
What is an SOP? 16 Essential Steps to Writing Standard Operating Procedures (+20 Free Templates) What Is Sop In Legal Terms In a government law office, a standard operating procedure can encompass any type of process or procedure that normally. Standard operating procedures (sops) tell you how to do. What is a standard operating procedure (sop)? Standard operating procedures (sops) are formal, written instructions that. Sops should be followed the same. Standard operating procedures (sop) or “sop” means the procedures as. What Is Sop In Legal Terms.
From clickup.com
10 Free SOP Templates and How to Write Your Own ClickUp What Is Sop In Legal Terms What is a standard operating procedure (sop)? What are standard operating procedures (sops)? In a government law office, a standard operating procedure can encompass any type of process or procedure that normally. Standard operating procedure (sop) means a written document that details the method of an operation, analysis or action whose techniques. Standard operating procedures (sop) or “sop” means the. What Is Sop In Legal Terms.
From www.scribd.com
SOP Legal and Clinical Check site Prescription Drugs Pharmacy What Is Sop In Legal Terms What is a standard operating procedure (sop)? Sops should be followed the same. An sop, which stands for standard operating procedure, is a document that outlines the required steps to complete. What are standard operating procedures (sops)? Standard operating procedures (sops) tell you how to do. Definition of standard operating procedures. Standard operating procedures (sops) are formal, written instructions that.. What Is Sop In Legal Terms.
From clickup.com
10 Free SOP Templates and How to Write Your Own ClickUp What Is Sop In Legal Terms Standard operating procedure (sop) means a written document that details the method of an operation, analysis or action whose techniques. Standard operating procedures (sops) tell you how to do. Standard operating procedures (sops) are formal, written instructions that. What are standard operating procedures (sops)? Standard operating procedures (sop) or “sop” means the procedures as specified in the annexes or attachments. What Is Sop In Legal Terms.